• US Legal Forms

Florida Limited Power of Attorney where you Specify Powers with Sample Powers Included

State:
Florida
Control #:
FL-P099D
Format:
Word; 
Rich Text
Instant download

What this document covers

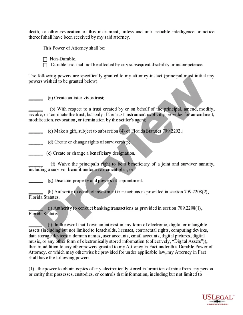
This Limited Power of Attorney allows you to specify particular powers granted to an agent in Florida. Unlike a general power of attorney, which grants broad authority, this form enables you to tailor the powers your agent can exercise on your behalf. It includes sample powers as examples, which you can customize and finalize according to your needs.


Form components explained

  • Principal's details: Includes personal identification information and the agent's name.
  • Defined powers: Sections to specify the exact powers you wish to grant your agent.
  • Non-durable or durable specification: Indicates whether the authority survives the principal's incapacity.
  • Witnesses requirement: Specifies the need for witnesses to validate the signing.
  • Notary acknowledgment: Provides a space for notarization to enhance legal validity.
Free preview
  • Preview Limited Power of Attorney where you Specify Powers with Sample Powers Included
  • Preview Limited Power of Attorney where you Specify Powers with Sample Powers Included
  • Preview Limited Power of Attorney where you Specify Powers with Sample Powers Included
  • Preview Limited Power of Attorney where you Specify Powers with Sample Powers Included
  • Preview Limited Power of Attorney where you Specify Powers with Sample Powers Included
  • Preview Limited Power of Attorney where you Specify Powers with Sample Powers Included
  • Preview Limited Power of Attorney where you Specify Powers with Sample Powers Included

State-specific requirements

This Limited Power of Attorney is specifically designed for use in Florida. It follows the state's legal requirements, which stipulate that the document must be signed by the principal in the presence of witnesses and may require notarization for certain transactions.

Situations where this form applies

This form is ideal when you need someone to act on your behalf for specific tasks or decisions in situations where you may be unable to do so yourself. Common scenarios include managing financial transactions, handling real estate matters, or making healthcare decisions. By defining the powers, you ensure that your chosen agent has the authority needed without overstepping your wishes.

Who needs this form

  • Individuals who want to delegate specific powers to a trusted agent.
  • Those who need a legal guardian for limited circumstances.
  • People preparing for potential future incapacity but wish to maintain control over which powers are granted.

Steps to complete this form

  • Identify the principal and agent by filling in their personal information.
  • Specify the exact powers you wish to grant by choosing from the list provided and adding any necessary details.
  • Indicate whether the power of attorney is durable or non-durable.
  • Obtain the signatures of two witnesses who are not related to you or your agent.
  • If required, have the form notarized to ensure legal validity.

Is notarization required?

This document requires notarization to meet legal standards. US Legal Forms provides secure online notarization powered by Notarize, allowing you to complete the process through a verified video call, available 24/7.

Avoid these common issues

  • Failing to clearly specify the powers granted to the agent.
  • Neglecting to sign in the presence of witnesses, if required.
  • Overlooking the necessity of notarization for specific transactions.
  • Using outdated forms or templates that do not comply with current laws.

Benefits of using this form online

  • Convenient access: Download your form anytime and anywhere.
  • Editable template: Easily customize the form to fit your specific needs.
  • Legally compliant: Forms are reviewed by licensed attorneys to ensure adherence to legal standards.

Form popularity

FAQ

In Florida, a limited power of attorney can be notarized by a licensed notary public. Many professionals, including attorneys and bank representatives, can provide notarization services. It's important to select a notary who is trustworthy and understands the document you are signing. When preparing your Florida Limited Power of Attorney where you Specify Powers with Sample Powers Included, ensure you have a reliable notary available.

To obtain a special power of attorney in Florida, start by drafting the document that outlines the specific authority you wish to grant. Be sure it includes precise powers, an expiration date if applicable, and all required signatures. After drafting, you must have it notarized for legal validation. USLegalForms can provide templates and guidance for creating a Florida Limited Power of Attorney where you Specify Powers with Sample Powers Included.

A limited power of attorney in Florida is a legal document that allows a person to delegate specific powers to someone else for a defined purpose and time frame. This could range from handling financial transactions to signing documents during your absence. It is crucial to outline the specified powers clearly, ensuring that your needs are met. A Florida Limited Power of Attorney where you Specify Powers with Sample Powers Included can be easily created using platforms like USLegalForms.

A limited power of attorney provides authority for specific situations or tasks as defined in the document. Meanwhile, a specific power of attorney is often understood to mean the same, granting powers tailored to particular actions or decisions. Regardless, when setting up a Florida Limited Power of Attorney where you Specify Powers with Sample Powers Included, clearly outlining these roles will help avoid confusion.

Yes, a limited power of attorney in Florida must be notarized to be legally valid. Notarization acts as a safeguard, confirming the identity of the person granting the power and ensuring that the document is executed willingly. If you're considering a Florida Limited Power of Attorney where you Specify Powers with Sample Powers Included, make sure to arrange for notarization.

A limited power of attorney (POA) allows you to define specific powers for another person to act on your behalf, usually for a set time or particular tasks. In contrast, a durable POA remains effective even if you become incapacitated, allowing your agent to manage your affairs regardless of your health status. Understanding these distinctions is vital when creating a Florida Limited Power of Attorney where you Specify Powers with Sample Powers Included.

In Florida, a power of attorney (POA) must be signed in front of a notary public. This requirement helps ensure the document's authenticity and protects against potential fraud. Using a notary also allows the document to be easily accepted during legal or business transactions. Therefore, if you need a Florida Limited Power of Attorney where you Specify Powers with Sample Powers Included, don’t forget the notarization step.

A Florida Limited Power of Attorney where you Specify Powers with Sample Powers Included grants significant authority to the appointed agent. This document allows the agent to manage specific tasks such as handling financial transactions, making healthcare decisions, or selling property. Additionally, the principal can customize the powers assigned, ensuring they align with individual needs. By using US Legal Forms, you can easily create a tailored Florida Limited Power of Attorney to effectively protect your interests.

Filling out a limited power of attorney form involves several steps, starting with identifying yourself and your agent. Clearly specify the powers you intend to grant, including any limitations or duration of authority. Platforms like uslegalforms can provide you with useful templates and guidance so you can correctly complete a Florida Limited Power of Attorney where you Specify Powers with Sample Powers Included. Finally, ensure you have your document notarized and witnessed to make it legally binding.

The three basic types of powers of attorney include general, durable, and limited. A general power of attorney grants broad authorities to your agent, while a durable power of attorney remains effective even if you become incapacitated. A limited power of attorney focuses on specific actions, making it ideal for tasks like real estate transactions or financial management. You can create a Florida Limited Power of Attorney where you Specify Powers with Sample Powers Included to cater to your specific needs.

Trusted and secure by over 3 million people of the world’s leading companies

Florida Limited Power of Attorney where you Specify Powers with Sample Powers Included