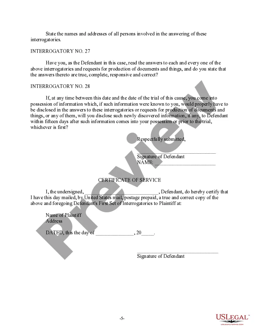
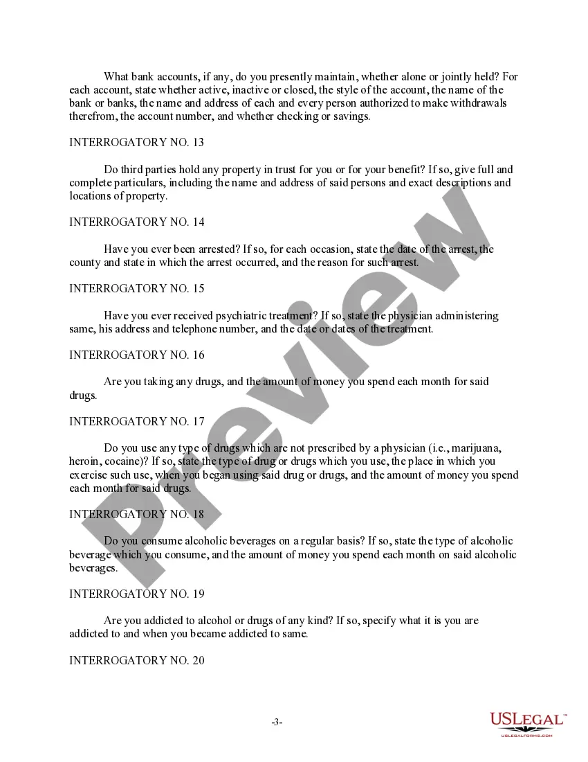
This Discovery Interrogatories from Defendant to Plaintiff with Production Requests form is a legal document used by defendants in divorce actions to request information and documents from the plaintiff. Unlike other interrogatories, this form specifically combines queries with requests for the production of relevant documents, providing a comprehensive approach for defendants seeking detailed information from the opposing party during the discovery phase of a divorce case. This form helps ensure that all necessary information is obtained to prepare for court proceedings effectively.
Plaintiff's First Request for Production of Documents in Case Involving Technology System
Letter to Client - Interrogatories to Answer
Plaintiff's Request For Document Production
Plaintiff's First Set of Interrogatories and Requests for Production of Documents to Defendant
First Interrogatories and Requests for Production to the Plaintiff by the Defendant - Personal Injury
This form is applicable during the discovery phase of a divorce case when the defendant needs to gather essential information from the plaintiff. It is particularly useful when the defendant believes the plaintiff possesses important documents or answers that may affect the case's outcome, such as financial records or evidence regarding grounds for divorce.
This form is intended for:
This form usually doesn’t need to be notarized. However, local laws or specific transactions may require it. Our online notarization service, powered by Notarize, lets you complete it remotely through a secure video session, available 24/7.
Our built-in tools help you complete, sign, share, and store your documents in one place.
Make edits, fill in missing information, and update formatting in US Legal Forms—just like you would in MS Word.
Download a copy, print it, send it by email, or mail it via USPS—whatever works best for your next step.
Sign and collect signatures with our SignNow integration. Send to multiple recipients, set reminders, and more. Go Premium to unlock E-Sign.
If this form requires notarization, complete it online through a secure video call—no need to meet a notary in person or wait for an appointment.
We protect your documents and personal data by following strict security and privacy standards.

Make edits, fill in missing information, and update formatting in US Legal Forms—just like you would in MS Word.

Download a copy, print it, send it by email, or mail it via USPS—whatever works best for your next step.

Sign and collect signatures with our SignNow integration. Send to multiple recipients, set reminders, and more. Go Premium to unlock E-Sign.

If this form requires notarization, complete it online through a secure video call—no need to meet a notary in person or wait for an appointment.

We protect your documents and personal data by following strict security and privacy standards.
This form is a legally recognized method of obtaining information in Florida divorce proceedings. Properly completed and filed, these interrogatories can be a powerful tool in defining the issues to be addressed in court and assessing the available evidence.
Request for Quote
Sample Letter for Withheld Delivery
Condominium Master Deed - Residential Condo Development
Verified Complaint for Replevin or Repossession
Flextime Time Request
Management Agreement and Option to Purchase and Own
Subordination Provision
Complaint For False Arrest and Imprisonment - 4th and 14th Amendment, US Constitution - Jury Trial Demand
Sample Letter for Tax Exemption - Review of Applications
Exit Interview Review
If you don't know the answer to an interrogatory, it's vital to state that honestly. You can indicate that you lack the information and potentially describe your efforts to obtain it. This approach is important in maintaining credibility while navigating Florida Discovery Interrogatories from Defendant to Plaintiff with Production Requests.
Examples of production of documents include emails, contracts, medical records, and invoices. These documents play a key role in substantiating claims or defenses in the context of Florida Discovery Interrogatories from Defendant to Plaintiff with Production Requests. Gathering relevant documents early can streamline the discovery process.
To respond to an interrogatories request, read each question carefully and answer fully and honestly. Make sure your answers align with the information you possess. Utilizing resources like US Legal Forms can assist you in aligning your responses with Florida Discovery Interrogatories from Defendant to Plaintiff with Production Requests, ensuring compliance.
When answering interrogatories and requests for production, focus on being clear and concise. Provide truthful and thorough responses while adhering to the specified deadlines. It’s important to approach Florida Discovery Interrogatories from Defendant to Plaintiff with Production Requests carefully, as these responses can significantly impact the case.
To write a request for production of documents, start by clearly identifying the specific documents you seek. Use precise language to describe the documents needed, and include a time frame for when they should be produced. This clarity is crucial in the context of Florida Discovery Interrogatories from Defendant to Plaintiff with Production Requests, as it facilitates the discovery process.
Interrogatories and requests for production are both essential components of Florida Discovery Interrogatories from Defendant to Plaintiff with Production Requests. Interrogatories are written questions that one party must answer in writing, while requests for production ask for specific documents or evidence related to the case. Understanding this distinction helps parties efficiently gather relevant information during the discovery process.
Requests for admission are distinct from interrogatories and serve a different legal function. While both are instruments of discovery, requests for admission aim to establish specific facts by requiring the other party to admit or deny them. In the realm of Florida Discovery Interrogatories from Defendant to Plaintiff with Production Requests, mastering these tools can significantly enhance a party's strategy in preparing for trial.
A request for production is not classified as an interrogatory, though they are both part of the discovery process. While interrogatories involve asking questions, requests for production require the other party to provide documents, records, or physical evidence relevant to the case. In the context of Florida Discovery Interrogatories from Defendant to Plaintiff with Production Requests, both elements work together to ensure a thorough examination of the facts.
Interrogatories typically fall into two categories: standard and special. Standard interrogatories consist of general inquiries that are allowed under the rules of procedure. Special interrogatories are tailored to the specific needs of a case, allowing the requesting party to seek more customized information. Both types play a vital role in the Florida Discovery Interrogatories from Defendant to Plaintiff with Production Requests by uncovering the facts that propel a case forward.
Interrogatories and Requests for Admission (RFA) serve different purposes in the legal context. Interrogatories are written questions that one party sends to another, seeking detailed information to clarify issues in the case. On the other hand, an RFA asks the other party to admit or deny specific statements or facts. Understanding these distinctions is crucial when navigating the Florida Discovery Interrogatories from Defendant to Plaintiff with Production Requests.
Parental Notification Forms
Statement of Inability to Afford Payment of Court Costs
Parental Notification Forms -Spanish
Application For Refund of Cash Bond
Petition for Order of Non-Disclosure
Definitions
Discovery: A procedure designed to allow disclosure of information between Plaintiffs and Defendants. Written questions, oral questioning, document production and admissions requests are generally allowed. Discovery was designed to to prevent trial by ambush.
Interrogatories: Written questions from Plaintiff to Defendant, or from Defendant to Plaintiff. The questions are mailed to the Plaintiff, Defendant or the attorney for response in writing. The answers or responses are usually due between 20-30 days.
Deposition: A procedure where verbal questions are asked a Plaintiff or Defendant for immediate response. Depositions are usually recorded by a court reporter, who swears the person to tell the truth before questioning begins.
Production of Documents: The method of obtaining documents from the other party relevant to the case such as all documents a party intends to introduce at trial.
Requests for Admissions: Written questions where you request the other party to admit or deny some relevant fact.
Objections: Objections may be made to all discovery questions if the questions are not relevant, or likely to lead to the discovery of relevant evidence.
Civil Procedure Rules: Virtually all states have adopted a version of civil procedure rules which include rules dealing with discovery.
Florida Family Law Rules of Procedure
Florida has adopted the Florida Family Law Rules of Procedure which contain rules governing discovery.
General Provisions Regarding Discovery: Florida Rule of Civil Procedure 1.280 shall govern general provisions concerning discovery in family law matters with the following exceptions:
(a) Supplementing of Responses. A party is under a duty to amend a prior response or disclosure if the party: (1) obtains information or otherwise determines that the prior response or disclosure was incorrect when made; (2) obtains information or otherwise determines that the prior response or disclosure, although correct when made, is no longer materially true or complete.
(b) Time for Serving Supplemental Responses. Any supplemental response served pursuant to this rule shall be served as soon as possible after discovery of the incorrect information or change, but in no case shall the supplemental response be served later than 24 hours before any applicable hearing absent a showing of good cause.
(c) Documents Considered Confidential. A determination as to the confidentiality of a court record shall be made in accordance with Florida Rule of Judicial Administration 2.051.
(d) Sealing of Records. Records found to be con-fidential under Florida Rule of Judicial Administration 2.051 shall be sealed on request of a party. (Rule 12.280)
Florida Rule of Civil Procedure 1.280 provides:
(a) Discovery Methods. Parties may obtain discovery by one or more of the following methods:
depositions upon oral examination or written questions; written interrogatories; production of documents or things or permission to enter upon land or other property for inspection and other purposes; physical and mental examinations; and requests for admission. Unless the court orders otherwise and under subdivision (c) of this rule, the frequency of use of these methods is not limited, except as provided in rule 1.200 and rule 1.340.
(b) Scope of Discovery. Unless otherwise limited by order of the court in accordance with these rules, the scope of discovery is as follows:
(1) In General. Parties may obtain discovery regarding any matter, not privileged, that is relevant to the subject matter of the pending action, whether it relates to the claim or defense of the party seeking discovery or the claim or defense of any other party, including the existence, description, nature, custody, condition, and location of any books, documents, or other tangible things and the identity and location of persons having knowledge of any discoverable matter. It is not ground for objection that the information sought will be inadmissible at the trial if the information sought appears reasonably calculated to lead to the discovery of admissible evidence.
(2) Indemnity Agreements. A party may obtain discovery of the existence and contents of any agreement under which any person may be liable tosatisfy part or all of a judgment that may be entered in the action or to indemnify or to reimburse a party for payments made to satisfy the judgment. Information concerning the agreement is not admissible in evidence at trial by reason of disclosure.
(3) Trial Preparation: Materials. Subject to the provisions of subdivision (b)(4) of this rule, a party may obtain discovery of documents and tangible things otherwise discoverable under subdivision(b)(1) of this rule and prepared in anticipation of litigation or for trial by or for another party or by or for that party's representative, including that party's attorney, consultant, surety, indemnitor, insurer, or agent, only upon a showing that the party seeking discovery has need of the materials in the preparation of the case and is unable without undue hardship to obtain the substantial equivalent of the materials by other means. In ordering discovery of the materials when the required showing has been made, the court shall protect against disclosure of the mental impressions, conclusions, opinions, or legal theories of an attorney or other representative of a party concerning the litigation. Without the required showing a party may obtain a copy of a statement concerning the action or its subject matter previously made by that party. Upon request without the required showing a person not a party may obtain a copy of a statement concerning the action or its subject matter previously made by that person. If the request is refused, the person may move for an order to obtain a copy. The provisions of rule 1.380(a)(4) apply to the award of expenses incurred as a result of making the motion. For purposes of this paragraph, a statement previously made is a written statement signed or otherwise adopted or approved by the person making it, or a stenographic, mechanical, lectrical, or other recording or transcription of it that is a ubstantially verbatim recital of an oral statement by the person making it and contemporaneously recorded.
(4) Trial Preparation: Experts. Discovery of facts known and opinions held by experts, otherwise discoverable under the provisions of subdivision
(A)(i) as follows:
By interrogatories a party may require any other party to identify each person whom the other party expects to call as an expert witness at trial and to state the subject matter on which the expert is expected to testify, and to state the substance of the facts and opinions to which the expert is expected to testify and a summary of the grounds for each opinion.
(ii) Any person disclosed by interrogatories or otherwise as a person expected to be called as an expert witness at trial may be deposed in accordance with rule 1.390 without motion or order of court.
(iii) A party may obtain the following discovery regarding any person disclosed by inter-rogatories or otherwise as a person expected to be called as an expert witness at trial:
1. The scope of employment in the pending case and the compensation for such service.
2. The expert's general litigation experience, including the percentage of work performed for plaintiffs and defendants.
3. The identity of other cases, within a reasonable time period, in which the expert has testified by deposition or at trial.
4. An approximation of the portion of the expert's involvement as an expert witness, which may be based on the number of hours, percentage of hours, or percentage of earned income derived from serving as an expert witness; however, the expert shall not be required to disclose his or her earnings as an expert witness or income derived from other An expert may be required to produce financial and business records only under the most unusual or compelling circumstances and may not be compelled to compile or produce nonexistent documents. Upon motion, the court may order further discovery by other means, subject to such restrictions as to scope and other provisions pursuant to subdivision (b)(4)(C) of this rule concerning fees and expenses as the court may deem appropriate and to state the subject matter on which the expert is expected to testify, and to state the substance of the facts and opinions to which the expert is expected to testify and a summary of the grounds for each opinion.
(B) A party may discover facts known or opinions held by an expert who has been retained or specially employed by another party in anticipation of litigation or preparation for trial and who is not expected to be called as a witness at trial, only as provided in rule 1.360(b) or upon a showing of exceptional circumstances under which it is impracticable for the party seeking discovery to obtain facts or opinions on the same subject by other means.
(C) Unless manifest injustice would result, the court shall require that the party seeking discovery pay the expert a reasonable fee for time spent in responding to discovery under subdivisions (b)(4)(A) and (b)(4)(B) of this rule; and concerning discovery from an expert obtained under subdivision (b)(4)(A) of this rule the court may require, and concerning discovery obtained under subdivision (b)(4)(B) of this rule shall require, the party seeking discovery to pay the other party a fair part of the fees and expenses reasonably incurred by the latter party in obtaining facts and opinions from the expert.
(D) As used in these rules an expert shall be an expert witness as defined in rule 1.390(a).
(5) Claims of Privilege or Protection of Trial Preparation Materials. When a party withholds information otherwise discoverable under these rules by claiming that it is privileged or subject to protection as trial preparation material, the party shall make the claim expressly and shall describe the nature of the documents, communications, or things not produced or disclosed in a manner that, without revealing information itself privileged or protected, will enable other parties to assess the applicability of the privilege or protection.
(c) Protective Orders. Upon motion by a party or by the person from whom discovery is sought, and for good cause shown, the court in which the action is pending may make any order to protect a party or person from annoyance, embarrassment, oppression, or undue burden or expense that justice requires, including one or more of the following:
(1) that the discovery not be had; (2) that the discovery may be had only on specified terms and conditions, including a designation of the time or place; (3) that the discovery may be had only by a method of discovery other than that selected by the party seeking discovery; (4) that certain matters not be inquired into, or that the scope of the discovery be limited to certain matters; (5) that discovery be conducted with no one present except persons designated by the court; (6) that a deposition after being sealed be opened only by order of the court; (7) that a trade secret or other confidential research, development, or commercial information not be disclosed or be disclosed only in a designated way; and(8) that the parties simultaneously file specified documents or information enclosed in sealed enve-lopes to be opened as directed by the court. If the motion for a protective order is denied in whole or in part, the court may, on such terms and conditions as are just, order that any party or person provide or permit discovery. The provisions of rule 1.380(a)(4) apply to the award of expenses incurred in relation to the motion.
(d) Sequence and Timing of Discovery. Except as provided in subdivision (b)(4) or unless the court upon motion for the convenience of parties and witnesses and in the interest of justice orders otherwise, methods of discovery may be used in any sequence, and the fact that a party is conducting discovery, whether by deposition or otherwise, shall not delay any other party's discovery.
(e) Supplementing of Responses. A party who has responded to a request for discovery with a response that was complete when made is under no duty to supplement the response to include information thereafter acquired.
MANDATORY DISCLOSURE
(a) Application: (1) Scope. Rule 12.285 shall apply to all proceedings within the scope of these rules except proceedings involving adoption, simplified dissolution, enforcement, contempt, injunctions for domestic or repeat violence, and uncontested dissolutions when the respondent is served by publication and does not file an answer. Additionally, no financial affidavit or other documents shall be required under this rule from a party seeking attorneys' fees, suit money, or costs, if the basis for the request is solely under section 57.105, Florida Statutes, or any successor statute. Except for the provisions as to financial affidavits and child support guidelines worksheets, any portion of this rule may be modified by order of the court or agreement of the parties.
(2) Original and Duplicate Copies. Unless otherwise agreed by the parties or ordered by the court, copies of documents required under this rule may be produced in lieu of originals. Originals, when available, shall be produced for inspection upon request. Parties shall not be required to serve duplicates of documents previously served.
(b) Time for Production of Documents. (1) Temporary Financial Hearings. Any document required under this rule in any temporary financial relief proceeding shall be served on the other party for inspection and copying as follows.
(A) The party seeking relief shall serve the required documents on the other party with the notice of temporary financial hearing, unless the documents have been served under ubdivision (b)(2) of this rule.
(B) The responding party shall serve the required documents on the party seeking relief on or before 5:00 p.m., 2 business days before the day of the temporary financial hearing if served by delivery or 7 days before the day of the temporary financial hearing if served by mail, unless the documents have been received previously by the party seeking relief under subdivision (b)(2) of this rule. A responding party shall be given no less than 12 days to serve the documents required under this rule, unless otherwise ordered by the court. If the 45-day period for exchange of documents provided for in subdivision (b)(2) of this rule will occur before the expiration of the 12 days, the provisions of subdivision(b)(2) control.
(2) Initial and Supplemental Proceedings. Any document required under this rule for any initial or supplemental proceeding shall be served on the other party for inspection and copying within 45 days of service of the initial pleading on the respondent.
(c) Disclosure Requirements for Temporary Financial Relief. In any proceeding for temporary financial relief heard within 45 days of the service of the initial pleading or within any extension of the time for complying with mandatory disclosure granted by the court or agreed to by the parties, the following documents shall be served on the other party:
(1) A financial affidavit in substantial conformity with Florida Family Law Rules of Procedure Form 12.902(b) if the party's gross annual income is less than $50,000, or Florida Family Law Rules of Procedure Form 12.902(c) if the party's gross annual income is equal to or more than $50,000. This requirement cannot be waived by the parties. The affidavit also must be filed with the court.
(2) All federal and state income tax returns, gift tax returns, and intangible personal property tax returns filed by the party or on the party's behalf for the past year. A party may file a transcript of the tax return as provided by Internal Revenue Service Form 4506 in lieu of his or her individual federal income tax return for purposes of a temporary hearing.
(3) IRS forms W-2, 1099, and K-1 for the past year, if the income tax return for that year has not been prepared.
(4) Pay stubs or other evidence of earned income for the 3 months prior to service of the financial affidavit.
(d) Parties' Disclosure Requirements for Initial or Supplement Proceedings. A party shall serve the following documents in any proceeding for an initial or supplemental request for permanent financial relief, including, but not limited to, a request for child support, alimony, equitable distribution of assets or debts, or attorneys' fees, suit money, or costs:
(1) A financial affidavit in substantial conformity with Florida Family Law Rules of Procedure Form 12.902(b) if the party's gross annual income is less than $50,000, or Florida Family Law Rules of Procedure Form 12.902(c) if the party's gross annual income is equal to or more than $50,000, which requirement cannot be waived by the parties. The financial affidavits also must be filed with the court. A party may request, by using the Standard Family Law Interrogatories, or the court on its own motion may order, a party whose gross annual income is less than $50,000 to complete Florida Family Law Rules of Procedure Form 12.902(c).
(2) All federal and state income tax returns, gift tax returns, and intangible personal property tax returns filed by the party or on the party's behalf for the past 3 years.
(3) IRS forms W-2, 1099, and K-1 for the past year, if the income tax return for that year has not been prepared.
(4) Pay stubs or other evidence of earned income for the 3 months prior to service of the financial affidavit.
(5) A statement by the producing party identifying the amount and source of all income received from any source during the 3 months preceding the service of the financial affidavit required by this rule if not reflected on the pay stubs produced.
(6) All loan applications and financial statements prepared or used within the 12 months preceding service of that party's financial affidavit required by this rule, whether for the purpose of obtaining or attempting to obtain credit or for any other purpose.
(7) All deeds within the last 3 years, all promissory notes within the last 12 months, and all present leases, in which the party owns or owned an interest, whether held in the party's name individually, in the party's name jointly with any other person or entity, in the party's name as trustee or guardian for any other person, or in someone else's name on the party's behalf.
(8) All periodic statements from the last 3 months for all checking accounts, and from the last 12 months for all other accounts (for example, savings accounts, money market funds, certificates of deposit, etc.), regardless of whether or not the account has been closed, including those held in the party's name individually, in the party's name jointly with any other person or entity, in the party's name as trustee or guardian for any other person, or in someone else's name on the party's behalf.
(9) All brokerage account statements in whichperson or entity, in the party's name as trustee or guardian for any other person, or in someone else's name on the party's behalf.
(10) The most recent statement for any profit sharing, retirement, deferred compensation, or pension plan (for example, IRA, 401(k), 403(b), SEP, KEOGH, or other similar account) in which the party is a participant or alternate payee and the summary plan description for any retirement, profit sharing, or pension plan in which the party is a participant or an alternate payee. (The summary plan description must be furnished to the party on request by the plan administrator as required by 29 U.S.C. § 1024(b)(4).)
(11) The declarations page, the last periodic statement, and the certificate for all life insurance policies insuring the party's life or the life of the party's spouse, whether group insurance or otherwise, and all current health and dental insurance cards covering either of the parties and/or their dependent children.
(12) Corporate, partnership, and trust tax returns for the last 3 tax years if the party has an ownership or interest in a corporation, partnership, or trust greater than or equal to 30%.
(13) All promissory notes for the last 12 months, all credit card and charge account statements and other records showing the party's indebtedness as of the date of the filing of this action and for the last 3 months, and all present lease agreements, whether owed in the party's name individually, in the party's name jointly with any other person or entity, in the party's name as trustee or guardian for any other person, or in someone else's name on the party's behalf.
(14) All written premarital or marital agreements entered into at any time between the parties to this marriage, whether before or during the marriage. Additionally, in any modification proceeding, each party shall serve on the opposing party all written agreements entered into between them at any time since the order to be modified was entered.
(15) All documents and tangible evidence supporting the producing party's claim of special equity or nonmarital status of an asset or debt for the time period from the date of acquisition of the asset or debt to the date of production or from the date of marriage, if based on premarital acquisition.
(16) Any court orders directing a party to pay or receive spousal or child support.
(e) Duty to Supplement Disclosure; Amended Financial Affidavit.
(1) Parties have a continuing duty to supplement documents described in this rule, including financial affidavits, whenever a material change in their financial status occurs.
(2) If an amended financial affidavit or an amendment to a financial affidavit is filed, the amending party also shall serve any subsequently discovered or acquired documents supporting the amendments to the financial affidavit.
(f) Sanctions. Any document to be produced under this rule that is served on the opposing party fewer than 24 hours before a nonfinal hearing or in violation of the court's pretrial order shall not be admissible in evidence at that hearing unless the court finds good cause for the delay. In addition, the court may impose other sanctions authorized by rule 12.380 as may be equitable under the circumstances. The court may also impose sanctions upon the offending lawyer in lieu of imposing sanctions on a party.
(g) Extensions of Time for Complying with Mandatory Disclosure. By agreement of the parties, the time for complying with mandatory disclosure may be extended. Either party also may file, at least 5 days before the due date, a motion to enlarge the time for complying with mandatory disclosure. The court shall grant the request for good cause shown.
(h) Objections to Mandatory Automatic Disclosure. Objections to the mandatory automatic disclosure required by this rule shall be served in writing at least 5 days prior to the due date for the disclosure or the objections shall be deemed waived. The filing of a timely objection, with a notice of hearing on the objection, automatically stays mandatory disclosure for those matters within the scope of the objection. For good cause shown, the court may extend the time for the filing of an objection or permit the filing of an otherwise untimely objection. The court shall impose sanctions for the filing of meritless or frivolous objections.
(i) Certificate of Compliance. All parties subject to automatic mandatory disclosure shall file with the court a certificate of compliance, Florida Family Law Rules of Procedure Form 12.932, identifying with particularity the documents which have been delivered and certifying the date of service of the financial affidavit and documents by that party.
(j) Child Support Guidelines Worksheet. If the case involves child support, the parties shall file with the court at or prior to a hearing to establish or modify child support a Child Support Guidelines Worksheet in substantial conformity with Florida Family Law Rules of Procedure Form 12.902(e). This requirement cannot be waived by the parties.
(k) Place of Production.(1) Unless otherwise agreed by the parties or ordered by the court, all production required by this rule shall take place in the county where the action is pending and in the office of the attorney for the party receiving production. Unless otherwise agreed by the parties or ordered by the court, if a party does not have an attorney or if the attorney does not have an office in the county where the action is pending, production shall take place in the county where the action is pending at a place designated in writing by the party receiving production, served at least 5 days before the due date for production.
(2) If venue is contested, on motion by a party the court shall designate the place where production will occur pending determination of the venue issue.
(l) Failure of Defaulted Party to Comply. Nothing in this rule shall be deemed to preclude the entry of a final judgment when a party in default has failed to comply with this rule.( Rule 12.285)
FINANCIAL AFFIDAVITS IN ENFORCEMENT AND CONTEMPT
PROCEEDINGS
Any party in an enforcement or contempt proceeding may serve upon any other party a written request to file and serve a financial affidavit if the other party's financial circumstances are relevant in the proceeding. The party to whom the request is made shall file and serve the requested financial affidavit within 10 days after the service of the written request. The court may allow a shorter or longer time. The financial affidavit shall be in substantial conformity with Florida Family Law Rules of Procedure Form 12.902(b) (Short Form), all sections of which shall be completed.
(Rule 12.287)
DEPOSITIONS BEFORE ACTION OR PENDING APPEAL
Depositions before an action or pending an appeal shall be governed by Florida Rule of Civil Procedure 1.290. (Rule 12.290)
Florida Rule of Civil Procedure 1.290 provides:
(a) Before Action.(1) Petition. A person who desires to perpetuate that person's own testimony or that of another person regarding any matter that may be cognizable in any court of this state may file a verified petition in the circuit court in the county of the residence of any expected adverse party. The petition shall be entitled in the name of the petitioner and shall show:
(1) that the petitioner expects to be a party to an action cognizable in a court of Florida, but is presently unable to bring it or cause it to be brought, (2) the subject matter of the expected action and the petitioner's interest therein, (3) the facts which the petitioner desires to establish by the proposed testimony and the petitioner's reasons for desiring to perpetuate it, (4) the names or a description of the persons the petitioner expects will be adverse parties and their addresses so far as known, and (5) the names and addresses of the persons to be examined and the substance of the testimony which the petitioner expects to elicit from each; and shall ask for an order authorizing the petitioner to take the deposition of the persons to be examined named in the petition for the purpose of perpetuating their testimony.
(2) Notice and Service. The petitioner shall thereafter serve a notice upon each person named in the petition as an expected adverse party, together with a copy of the petition, stating that the petitioner will apply to the court at a time and place named therein for an order described in the petition. At least 20 days before the date of hearing the notice shall be served either within or without the county in the manner provided by law for service of summons, but if such service cannot with due diligence be made upon any expected adverse party named in the petition, the court may make an order for service by publication or otherwise, and shall appoint an attorney for persons not served in the manner provided by law for service of summons who shall represent them, and if they are not otherwise represented, shall cross-examine the deponent.
(3) Order and Examination. If the court is satisfied that the perpetuation of the testimony may prevent a failure or delay of justice, it shall make an order designating or describing the persons whose depositions may be taken and specifying the subject matter of the examination and whether the deposition shall be taken upon oral examination or written nterrogatories. The deposition may then be taken in accordance with these rules and the court may make orders in accordance with the equirements of these rules. For the purpose of applying these rules to depositions for perpetuating testimony, each reference therein to the court in which the action is pending shall be deemed to refer to the court in which the petition for such deposition was filed.
(4) Use of Deposition. A deposition taken under this rule may be used in any action involving the same subject matter subsequently brought in any court in accordance with rule 1.330.
(b) Pending Appeal. If an appeal has been taken from a judgment of any court or before the taking of an appeal if the time therefor has not expired, the court in which the judgment was rendered may allow the taking of the depositions of witnesses to perpetuate their testimony for use in the event of further proceedings in the court. In such case the party who desires to perpetuate the testimony may make a motion for leave to take the deposition upon the same notice and service as if the action was pending in the court. The motion shall show (1) the names and addresses of persons to be examined and the substance of the testimony which the movant expects to elicit from each, and (2) the reason for perpetuating their testimony. If the court finds that the perpetuation of the testimony is proper to avoid a failure or delay in justice, it may make an order allowing the deposition to be taken and may make orders of the character provided for by these rules, and thereupon the deposition may be taken and used in the same manner and under the same conditions as are prescribed in these rules for depositions taken in actions pending in the court.
(c) Perpetuation by Action. This rule does not limit the power of a court to entertain an action to perpetuate testimony.
PERSONS BEFORE WHOM DEPOSITIONS MAY BE TAKEN
Provisions regarding who may take depositions shall be governed by Florida Rule of Civil Procedure 1.300. (Rule 12.300)
Florida Rule of Civil Procedure 1.300 provides:
(a) Persons Authorized. Depositions may be taken before any notary public or judicial officer or before any officer authorized by the statutes of Florida to take acknowledgments or proof of executions of deeds or by any person appointed by the court in which the action is pending.
(b) In Foreign Countries. In a foreign country depositions may be taken (1) on notice before a person authorized to administer oaths in the place in which the examination is held, either by the law thereof or by the law of Florida or of the United States, (2) before a person commissioned by the court, and a person so commissioned shall have the power by virtue of the commission to administer any necessary oath and take testimony, or (3) pursuant to a letter rogatory. A commission or a letter rogatory shall be issued on application and notice and on terms that are just and appropriate. It is not requisite to the issuance of a commission or a letter rogatory that the taking of the deposition in any other manner is impracticable or inconvenient, and both a commission and a letter rogatory may be issued in proper cases. A notice or commission may designate the person before whom the deposition is to be taken either by name or descriptive title. A letter rogatory may be addressed "To the Appropriate Authority in .....(name of country)......" Evidence obtained in response to a letter rogatory need not be excluded merely for the reason that it is not a verbatim transcript or that the testimony was not taken under oath or any similar departure from the requirements for depositions taken within Florida under these rules.
(c) Selection by Stipulation. If the parties so stipulate in writing, depositions may be taken before any person at any time or place upon any notice and in any manner and when so taken may be used like other depositions.
(d) Persons Disqualified. Unless so stipulated by the parties, no deposition shall be taken before a person who is a relative, employee, attorney, or counsel of any of the parties, is a relative or employee of any of the parties' attorney or counsel, or is financially interested in the action.
DEPOSITIONS UPON ORAL EXAMINATION
Depositions upon oral examination shall be governed by Florida Rule of Civil Procedure 1.310. (Rule 12.310)
Florida Rule of Civil Procedure 1.310 provides:
(a) Serving Questions; Notice. After commencement of the action any party may take the testimony of any person, including a party, by deposition upon written questions. The attendance of witnesses may be compelled by the use of subpoena as provided in rule 1.410. The deposition of a person confined in prison may be taken only by leave of court on such terms as the court prescribes. A party desiring to take a deposition upon written questions shall serve them with a notice stating (1) the name and address of the person who is to answer them, if known, and, if the name is not known, a general description sufficient to identify the person or the particular class or group to which that person belongs, and (2) the name or descriptive title and address of the officer before whom the deposition is to be taken.
(a) When Depositions May Be Taken. After commencement of the action any party may take the testimony of any person, including a party, by deposition upon oral examination. Leave of court, granted with or without notice, must be obtained only if the plaintiff seeks to take a deposition within 30 days after service of the process and initial pleading upon any defendant, except that leave is not required (1) if a defendant has served a notice of taking deposition or otherwise sought discovery, or (2) if special notice is given as provided in subdivision (b)(2) of this rule. The attendance of witnesses may be compelled by subpoena as provided in rule 1.410. The deposition of a person confined in prison may be taken only by leave of court on such terms as the court prescribes. (b) Notice; Method of Taking; Production at Deposition. (1) A party desiring to take the deposition of any person upon oral examination shall give reasonable notice in writing to every other party to the action. The notice shall state the time and place for taking the deposition and the name and address of each person to be examined, if known, and, if the name is not known, a general description sufficient to identify the person or the particular class or group to which the person belongs. If a subpoena duces tecum is to be served on the person to be examined, the designation of the materials to be produced under the subpoena shall be attached to or included in the notice.
(2) Leave of court is not required for the taking of a deposition by plaintiff if the notice states that the person to be examined is about to go out of the state and will be unavailable for examination unless a deposition is taken before expiration of the 30-day period under subdivision (a). If a party shows that when served with notice under this subdivision that party was unable through the exercise of diligence to obtain counsel to represent the party at the taking of the deposition, the deposition may not be used against that party.
(3) For cause shown the court may enlarge or shorten the time for taking the deposition.
(4) Any deposition may be recorded by videotape without leave of the court or stipulation of the parties, provided the eposition is taken in accordance with this subdivision.
(A) Notice. A party intending to videotape a deposition shall state in the notice that the deposition is to be videotaped and shall give the name and address of the operator.
(B) Stenographer. Videotaped depositions shall also be recorded stenographically, unless all parties agree otherwise.
(C) Procedure. At the beginning of the deposition, the officer before whom it is taken shall, on camera: (i) identify the style of the action, (ii) state the date, and (iii) swear the witness.
authorized in these rules.
(D) Custody of Tape and Copies. The attorney for the party requesting the videotaping of the deposition shall take custody of and be responsible for the safeguarding of the videotape, shall permit the viewing of it by the opposing party, and, if requested, shall provide a copy of the videotape at the expense of the party requesting the copy.
(E) Cost of Videotaped Depositions. The party requesting the videotaping shall bear the initial cost of videotaping.
(5) The notice to a party deponent may be accompanied by a request made in compliance with rule 1.350 for the production of documents and tangible things at the taking of the eposition. The procedure of rule 1.350 shall apply to the request.
(6) In the notice a party may name as the deponent a public or private corporation, a partnership or association, or a governmental agency, and designate with reasonable particularity the matters on which examination is requested. The organization so named shall designate one or more officers, directors, or managing agents, or other persons who consent to do so, to testify on its behalf and may state the matters on which each person designated will testify. The persons so designated shall testify about matters known or reasonably available to the organization. This subdivision does not preclude taking a deposition by any other procedure authorized in these rules.
(7) On motion the court may order that the testimony at a deposition be taken by telephone. The order may prescribe the manner in which the deposi-tion will be taken. A party may also arrange for a stenographic transcription at that party's own initial expense.
(c) Examination and Cross-Examination; Record of Examination; Oath; Objections. Examination and cross-examination of witnesses may proceed as permitted at the trial. The officer before whom the deposition is to be taken shall put the witness on oath and shall personally, or by someone acting under the officer's direction and in the officer's presence, record the testimony of the witness, except that when a deposition is being taken by telephone, the witness shall be sworn by a person present with the witness who is qualified to administer an oath in that location. The testimony shall be taken tenographically or recorded by any other means ordered in accordance with subdivision (b)(4) of this rule. If requested by one of the parties, the testimony shall be transcribed at the initial cost of the requesting party and prompt notice of the request shall be given to all other parties. All objections made at time of the examination to the qualifications of the officer taking the deposition, the manner of taking it, the evidence presented, or the conduct of any party, and any other objection to the proceedings shall be noted by the officer upon the deposition. Any objection during a deposition shall be stated concisely and in a nonargumentative and nonsuggestive manner. A party may instruct a deponent not to answer only when necessary to preserve a privilege, to enforce a limitation on evidence directed by the court, or to present a motion under subdivision (d). Otherwise, evidence objected to shall be taken subject to the objections. Instead of participating in the oral examination, parties may serve written questions in a sealed envelope on the party taking the deposition and that party shall transmit them to the officer, who shall propound them to the witness and record the answers verbatim.
(d) Motion to Terminate or Limit Examination. At any time during the taking of the deposition, on motion of a party or of the deponent and upon a showing that the examination is being conducted in bad faith or in such manner as unreasonably to annoy, embarrass, or oppress the deponent or party, or that objection and instruction to a deponent not to answer are being made in violation of rule 1.310(c), the court in which the action is pending or the circuit court where the deposition is being taken may order the officer conducting the examination to cease forthwith from taking the deposition or may limit the scope and manner of the taking of the deposition under rule 1.280(c). If the order terminates the examination, it shall be resumed thereafter only upon the order of the court in which the action is pending. Upon demand of any party or the deponent, the taking of the deposition shall be suspended for the time necessary to make a motion for an order. The provisions of rule 1.380(a) apply to the award of expenses incurred in relation to the motion.
(e) Witness Review. If the testimony is transcribed, the transcript shall be furnished to the witness for examination and shall be read to or by the witness unless the examination and reading are waived by the witness and by the parties. Any changes in form or substance that the witness wants to make shall be listed in writing by the officer with a statement of the reasons given by the witness for making the changes. The changes shall be attached to the transcript. It shall then be signed by the witness unless the parties waived the signing or the witness is ill, cannot be found, or refuses to sign. If the transcript is not signed by the witness within a reasonable time after it is furnished to the witness, the officer shall sign the transcript and state on the transcript the waiver, illness, absence of the witness, or refusal to sign with any reasons given therefor. The deposition may then be used as fully as though signed unless the court holds that the reasons given for the refusal to sign require rejection of the deposition wholly or partly, on motion under rule 1.330(d)(4).
(f) Filing; Exhibits. (1) If the deposition is transcribed, the officer shall certify on each copy of the deposition that the witness was duly sworn by the officer and that the deposition is a true record of the testimony given by the witness. Documents and things produced for inspection during the examination of the witness shall be marked for identification and annexed to and returned with the deposition upon the request of a party, and may be inspected and copied by any party, except that the person producing the materials may substitute copies to be marked for identification if that person affords to all parties fair opportunity to verify the copies by comparison with the originals. If the person producing the materials requests their return, the officer shall mark them, give each party an opportunity to inspect and copy them, and return them to the person producing them and the materials may then be used in the same manner as if annexed to and returned with the deposition.
(2) Upon payment of reasonable charges therefor the officer shall furnish a copy of the deposition to any party or to the deponent.
(3) A copy of a deposition may be filed only under the following circumstances:
(A) It may be filed by a party or the witness when the contents of the deposition must be con-sidered by the court on any matter pending before the court. Prompt notice of the filing of the deposition shall be given to all parties unless notice is waived. A party filing the deposition shall furnish a copy of the deposition or the part being filed to other parties unless the party already has a copy.
(B) If the court determines that a deposition previously taken is necessary for the decision of a matter pending before the court, the court may order that a copy be filed by any party at the initial cost of the party.
(g) Obtaining Copies. A party or witness who does not have a copy of the deposition may obtain it from the officer taking the deposition unless the court orders otherwise. If the deposition is obtained from a person other than the officer, the reasonable cost of reproducing the copies shall be paid to the person by the requesting party or witness.
(h) Failure to Attend or to Serve Subpoena; Expenses.
(1) If the party giving the notice of the taking of a deposition fails to attend and proceed therewith and another party attends in person or by attorney pursuant to the notice, the court may order the party giving the notice to pay to the other party the reasonable expenses incurred by the other party and the other party's attorney in attending, including reasonable attorneys' fees.
(2) If the party giving the notice of the taking of a deposition of a witness fails to serve a subpoena upon the witness and the witness because of the failure does not attend and if another party attends in person or by attorney because that other party expects the deposition of that witness to be taken, the court may order the party giving the notice to pay to the other party the reasonable expenses incurred by that other party and that other party's attorney in attending, including reasonable attorneys' fees.
DEPOSITIONS UPON WRITTEN QUESTIONS
Depositions upon written questions shall be governed by Florida Rule of Civil Procedure 1.320. (Rule 12.320)
Florida Rule of Civil Procedure 1.320 provides:
(a) Serving Questions; Notice. After commencement of the action any party may take the testimony of any person, including a party, by deposition upon written questions. The attendance of witnesses may be compelled by the use of subpoena as provided in rule 1.410. The deposition of a person confined in prison may be taken only by leave of court on such terms as the court prescribes. A party desiring to take a deposition upon written questions shall serve them with a notice stating (1) the name and address of the person who is to answer them, if known, and, if the name is not known, a general description sufficient to identify the person or the particular class or group to which that person belongs, and (2) the name or descriptive title and address of the officer before whom the deposition is to be taken.
USE OF DEPOSITIONS IN COURT PROCEEDINGS
Use of depositions in court proceedings shall be governed by Florida Rule of Civil Procedure 1.330. (Rule 12.330)
Florida Rule of Civil Procedure 1.330 provides:
a) Use of Depositions. At the trial or upon thehearing of a motion or an interlocutory proceeding,any part or all of a deposition may be used againstany party who was present or represented at the taking of the deposition or who had reasonablenotice of it so far as admissible under the rules of evidence applied as though the witness were then present and testifying in accordance with any of the following provisions:
(1) Any deposition may be used by any partyfor the purpose of contradicting or impeaching thetestimony of the deponent as a witness or for anypurpose permitted by the Florida Evidence Code.
(2) The deposition of a party or of anyone who at the time of taking the deposition was an officer,director, or managing agent or a person designated under rule 1.310(b)(6) or 1.320(a) to testify on behalfof a public or private corporation, a partnership or association, or a governmental agency that is a party may be used by an adverse party for any purpose.
(3) The deposition of a witness, whether or not a party, may be used by any party for any purpose if the court finds: (A) that the witness is dead; (B) that the witness is at a greater distance than 100 miles from the place of trial or hearing, or is out of the state, unless it appears that the absence of the witness was procured by the party offering the deposition; (C)that the witness is unable to attend or testify because of age, illness, infirmity, or imprisonment; (D) that the party offering the deposition has been unable to procure the attendance of the witness by subpoena; (E) upon application and notice, that such exceptional circumstances exist as to make it desirable, in the interest of justice and with due regard to the importance of presenting the testimony of witnesses orally in open court, to allow the deposition to be used; or (F) the witness is an expert or skilled witness.
(4) If only part of a deposition is offered in evidence by a party, an adverse party may require the party to introduce any other part that in fairness ought to be considered with the part introduced, and any party may introduce any other parts.
(5) Substitution of parties pursuant to rule 1.260 does not affect the right to use depositions previously taken and, when an action in any court of the United States or of any state has been dismissed and another action involving the same subject matter is afterward brought between the same parties or their representatives or successors in interest, all depositions lawfully taken and duly filed in the former action may be used in the latter as if originally taken for it.
(6) If a civil action is afterward brought, all depositions lawfully taken in a medical liability mediation proceeding may be used in the civil action as if originally taken for it.
(b) Objections to Admissibility. Subject to the provisions of rule 1.300(b) and subdivision (d)(3) of this rule, objection may be made at the trial or hearing to receiving in evidence any deposition or part of it for any reason that would require the exclusion of the evidence if the witness were then present and testifying.
(c) Effect of Taking or Using Depositions. A party does not make a person the party's own witness for any purpose by taking the person's deposition. The introduction in evidence of the deposition or any part of it for any purpose other than that of contradicting or impeaching the deponent makes the deponent the witness of the party introducing the deposition, but this shall not apply to the use by an adverse party of a deposition under subdivision (a)(2) of this rule. At the trial or hearing any party may rebut any relevant evidence contained in a deposition whether introduced by that party or by any other party.
(d) Effect of Errors and Irregularities.
(1) As to Notice. All errors and irregularities in the notice for taking a deposition are waived unless written objection is promptly served upon the party giving the notice.
(2) As to Disqualification of Officer. Objection to taking a deposition because of disqualification of the officer before whom it is to be taken is waived unless made before the taking of the deposition begins or as soon thereafter as the isqualification becomes known or could be discovered with reasonable diligence.
(3) As to Taking of Deposition.
(A) Objections to the competency of a witness or to the competency, relevancy, or materiality of testimony are not waived by failure to make them before or during the taking of the deposition unless the ground of the objection is one that might have been obviated or removed if presented at that time.
(B) Errors and irregularities occurring at the oral examination in the manner of taking the deposi-tion, in the form of the questions or answers, in the oath or affirmation, or in the conduct of parties and errors of any kind that might be bviated, removed, or cured if promptly presented are waived unless timely objection to them is made at the taking of the deposition.
(C) Objections to the form of written questions submitted under rule 1.320 are waived unless served in writing upon the party propounding them within the time allowed for serving the succeeding cross or other questions and within 10 days after service of the last questions authorized.
(4) As to Completion and Return. Errors and irregularities in the manner in which the testimony is transcribed or the deposition is prepared, signed, certified, or otherwise dealt with by the officer under rules 1.310 and 1.320 are waived unless a motion to suppress the deposition or some part of it is made with reasonable promptness after the defect is, or with due diligence might have been discovered.
INTERROGATORIES TO PARTIES
Interrogatories to parties shall be governed generally by Florida Rule of Civil Procedure 1.340, with the following exceptions.
(a) Service of Interrogatories.
(1) Initial Interrogatories. Initial interrogatories to parties in original and enforcement actions shall be those set forth in Florida Family Law Rules of Procedure Form 12.930(b). Parties governed by the mandatory disclosure requirements of rule 12.285 may serve the interrogatories set forth in Florida Family Law Rules of Procedure Form 12.930(b) as set forth in rule 1.340.
(2) Modification Interrogatories. Interrogatories to parties in cases involving modification of a final Rules of Procedure Form 12.930(c). Parties governed by the mandatory disclosure equirements of rule 12.285 may serve the interrogatories set forth in Florida Family Law Rules of Procedure Form 12.930(c) as set forth in rule 1.340.
(b) Additional Interrogatories. Ten interrogatories, including subparts, may be sent to a party, in addition to the standard interrogatories contained in Florida Family Law Rules of Procedure Form 12.930(b) or Florida Family Law Rules of Procedure Form 12.930(c). A party must obtain permission of the court to send more than ten additional interrogatories. (Rule 12.340)
Florida Rule of Civil Procedure 1.340 provides:
(a) Procedure for Use. Without leave of court, any party may serve upon any other party written inter-rogatories to be answered (1) by the party to whom the interrogatories are directed, or (2) if that party is a public or private orporation or partnership or association or governmental agency, by any officer or agent, who shall furnish the nformation available to that party. Interrogatories may be served on the plaintiff after commencement of the action and on any other party with or after service of the process and initial pleading upon that party. The interrogatories shall not exceed 30, including all subparts, unless the court permits a larger number on motion and notice and for good cause. If the supreme court has approved a form of interrogatories for the type of action, the initial interrogatories shall be in the form approved by the court. Other interrogatories may be added to the approved forms without leave of court, so long as the total of approved and additional interrogatories does not exceed 30. Each interrogatory shall be answered separately and fully in writing under oath unless it is objected to, in which event the grounds for objection shall be stated and signed by the attorney making it.
PRODUCTION OF DOCUMENT AND THINGS AND ENTRY UPON LAND FOR INSPECTION AND OTHER PURPOSES
Production of documents and things and entry upon land for inspection and other purposes shall be governed by Florida Rule of Civil Procedure 1.350. (Rule 12.350)
Florida Rule of Civil Procedure 1.350 provides:
a) Request; Scope. Any party may request any other party (1) to produce and permit the party making the request, or someone acting in the requesting party's behalf, to inspect and copy any designated documents, including writings, drawings, graphs, charts, photographs, phono-records, and other data compilations from which information can be obtained, ranslated, if necessary, by the party to whom the request is directed through detection devices into reasonably usable form, that constitute or contain matters within the scope of rule 1.280(b) and that are in the possession, custody, or control of the party to whom the request is directed; (2) to inspect and copy, test, or sample any tangible things that constitute or contain matters within the scope of rule 1.280(b) and that are in the ossession, custody,or control of the party to whom the request is approved by the supreme court must be used; and those so used, with their subparts, are included in the total number permitted.
PRODUCTION OF DOCUMENTS AND THINGS WITHOUT DEPOSITION
Production of documents and things without deposition shall be governed by Florida Rule of Civil Procedure 1.351.
(Rule 12.351)
Florida Rule of Civil Procedure 1.351 provides:
a) Request; Scope. A party may seek inspection and copying of any documents or things within the scope of rule 1.350(a) from a person who is not a party by issuance of a subpoena directing the production of the documents or things when the requesting party does not seek to depose the custodian or other person in possession of the documents or things.
EXAMINATION OF PERSONS
Florida Rule of Civil Procedure 1.360 shall govern general provisions concerning the examination of persons in family law matters, except that examinations permitted under rule 1.360(a)(1) may include, but are not limited to, examinations involving physical or mental condition, employability or vocational testing, genetic testing, or any other type of examination related to a matter in controversy. (Rule 12.360)
Florida Rule of Civil Procedure 1.360 provides:
(a) Request; Scope. (1) A party may request any other party to submit to, or to produce a person in that other party's custody or legal control for, examination by a qualified expert when the condition that is the subject the examination or the party or person to be examined, the court may establish protective rules governing such examination.
EVALUATION OF MINOR CHILD
(a) Appointment of Mental Health Professional or Other Expert.
(1) When the issue of visitation, parental responsibility, or residential placement of a child is in controversy, the court, on motion of any party or the court's own motion, may appoint a licensed mental health professional or other expert for an examination, evaluation, testing, or interview of any minor child or to conduct a social or home study investigation. The parties may agree on the particular expert to be appointed, subject to approval by the court. If the parties have agreed, they shall submit an order including the name, address, telephone number, area of expertise, and professional qualifications of the expert. If the parties have agreed on the need for an expert and cannot agree on the selection,the court shall appoint an expert.
(2) After the examination, evaluation, or investi-gation, any party may file a motion for an additional expert examination, evaluation, interview, testing, or investigation by a licensed mental health professional or other expert. The court upon hearing may permit the additional examination, evaluation, testing, or interview based on good cause shown that further examinations, testing, interviews, or evaluations would be in the best interests of the minor child.
(3) Any order entered under this rule shall specify the issues to be addressed by the expert.
(4) Any order entered under this rule may require that all interviews of the child be recorded and the tapes be maintained as part of the expert's file.
(5) The order appointing the expert shall include an initial allocation of responsibility for payment.
(6) A copy of the order of appointment shall be provided immediately to the expert by the court unless otherwise directed by the court. The order shall direct the parties to contact the expert or investigator appointed by the court to establish an appointment schedule to facilitate timely completion of the evaluation.
(b) Providing of Reports. (1) Unless otherwise ordered, the expert shall prepare and provide a written report to the attorney for each party or the party, if unrepresented, and the guardian ad litem, if appointed, a reasonable time before any evidentiary hearing on the matter at issue. The expert also shall send written notice to the court that the report has been completed and that a copy of the written report has been provided to the attorney for each party or the party, if unrepresented, and the guardian ad litem, if appointed. In any event, the written report shall be prepared and provided no later than 30 days before trial or 75 days from the order of appointment, unless the time is extended by order of the court.
(2) On motion of any party, the court may order the expert to produce the expert's complete file to another qualified licensed mental health professional, at the initial cost of the requesting party, for review by such qualified licensed mental health expert, who may testify.
(c) Testimony of Other Professionals. Any other expert who has treated, tested, interviewed, examined, or evaluated a child may testify only if the court determines that good cause exists to permit the testimony. The fact that no notice of such treatment, testing, interview, examination, or evaluation of a child was given to both parents shall be considered by the court as a basis for preventing such testimony.
(d) Communications with Court by Expert. No expert may communicate with the court without prior notice to the parties and their attorneys, who shall be afforded the opportunity to be present and heard during any such communication between the expert and the court. A request for communication with the court may be informally conveyed by letter or telephone. Further communication with the court, which may be conducted informally, shall be done only with notice to the parties.
(e) Use of Evidence. An expert appointed by the court shall be subject to the same examination as a privately retained expert and the court shall not entertain any presumption in favor of the appointed expert's findings. Any finding or report by an expert appointed by the court may be entered into evidence on the court's own motion or the motion of any party in a manner consistent with the rules of evidence.
Definitions
Discovery: A procedure designed to allow disclosure of information between Plaintiffs and Defendants. Written questions, oral questioning, document production and admissions requests are generally allowed. Discovery was designed to to prevent trial by ambush.
Interrogatories: Written questions from Plaintiff to Defendant, or from Defendant to Plaintiff. The questions are mailed to the Plaintiff, Defendant or the attorney for response in writing. The answers or responses are usually due between 20-30 days.
Deposition: A procedure where verbal questions are asked a Plaintiff or Defendant for immediate response. Depositions are usually recorded by a court reporter, who swears the person to tell the truth before questioning begins.
Production of Documents: The method of obtaining documents from the other party relevant to the case such as all documents a party intends to introduce at trial.
Requests for Admissions: Written questions where you request the other party to admit or deny some relevant fact.
Objections: Objections may be made to all discovery questions if the questions are not relevant, or likely to lead to the discovery of relevant evidence.
Civil Procedure Rules: Virtually all states have adopted a version of civil procedure rules which include rules dealing with discovery.
Florida Family Law Rules of Procedure
Florida has adopted the Florida Family Law Rules of Procedure which contain rules governing discovery.
General Provisions Regarding Discovery: Florida Rule of Civil Procedure 1.280 shall govern general provisions concerning discovery in family law matters with the following exceptions:
(a) Supplementing of Responses. A party is under a duty to amend a prior response or disclosure if the party: (1) obtains information or otherwise determines that the prior response or disclosure was incorrect when made; (2) obtains information or otherwise determines that the prior response or disclosure, although correct when made, is no longer materially true or complete.
(b) Time for Serving Supplemental Responses. Any supplemental response served pursuant to this rule shall be served as soon as possible after discovery of the incorrect information or change, but in no case shall the supplemental response be served later than 24 hours before any applicable hearing absent a showing of good cause.
(c) Documents Considered Confidential. A determination as to the confidentiality of a court record shall be made in accordance with Florida Rule of Judicial Administration 2.051.
(d) Sealing of Records. Records found to be con-fidential under Florida Rule of Judicial Administration 2.051 shall be sealed on request of a party. (Rule 12.280)
Florida Rule of Civil Procedure 1.280 provides:
(a) Discovery Methods. Parties may obtain discovery by one or more of the following methods:
depositions upon oral examination or written questions; written interrogatories; production of documents or things or permission to enter upon land or other property for inspection and other purposes; physical and mental examinations; and requests for admission. Unless the court orders otherwise and under subdivision (c) of this rule, the frequency of use of these methods is not limited, except as provided in rule 1.200 and rule 1.340.
(b) Scope of Discovery. Unless otherwise limited by order of the court in accordance with these rules, the scope of discovery is as follows:
(1) In General. Parties may obtain discovery regarding any matter, not privileged, that is relevant to the subject matter of the pending action, whether it relates to the claim or defense of the party seeking discovery or the claim or defense of any other party, including the existence, description, nature, custody, condition, and location of any books, documents, or other tangible things and the identity and location of persons having knowledge of any discoverable matter. It is not ground for objection that the information sought will be inadmissible at the trial if the information sought appears reasonably calculated to lead to the discovery of admissible evidence.
(2) Indemnity Agreements. A party may obtain discovery of the existence and contents of any agreement under which any person may be liable tosatisfy part or all of a judgment that may be entered in the action or to indemnify or to reimburse a party for payments made to satisfy the judgment. Information concerning the agreement is not admissible in evidence at trial by reason of disclosure.
(3) Trial Preparation: Materials. Subject to the provisions of subdivision (b)(4) of this rule, a party may obtain discovery of documents and tangible things otherwise discoverable under subdivision(b)(1) of this rule and prepared in anticipation of litigation or for trial by or for another party or by or for that party's representative, including that party's attorney, consultant, surety, indemnitor, insurer, or agent, only upon a showing that the party seeking discovery has need of the materials in the preparation of the case and is unable without undue hardship to obtain the substantial equivalent of the materials by other means. In ordering discovery of the materials when the required showing has been made, the court shall protect against disclosure of the mental impressions, conclusions, opinions, or legal theories of an attorney or other representative of a party concerning the litigation. Without the required showing a party may obtain a copy of a statement concerning the action or its subject matter previously made by that party. Upon request without the required showing a person not a party may obtain a copy of a statement concerning the action or its subject matter previously made by that person. If the request is refused, the person may move for an order to obtain a copy. The provisions of rule 1.380(a)(4) apply to the award of expenses incurred as a result of making the motion. For purposes of this paragraph, a statement previously made is a written statement signed or otherwise adopted or approved by the person making it, or a stenographic, mechanical, lectrical, or other recording or transcription of it that is a ubstantially verbatim recital of an oral statement by the person making it and contemporaneously recorded.
(4) Trial Preparation: Experts. Discovery of facts known and opinions held by experts, otherwise discoverable under the provisions of subdivision
(A)(i) as follows:
By interrogatories a party may require any other party to identify each person whom the other party expects to call as an expert witness at trial and to state the subject matter on which the expert is expected to testify, and to state the substance of the facts and opinions to which the expert is expected to testify and a summary of the grounds for each opinion.
(ii) Any person disclosed by interrogatories or otherwise as a person expected to be called as an expert witness at trial may be deposed in accordance with rule 1.390 without motion or order of court.
(iii) A party may obtain the following discovery regarding any person disclosed by inter-rogatories or otherwise as a person expected to be called as an expert witness at trial:
1. The scope of employment in the pending case and the compensation for such service.
2. The expert's general litigation experience, including the percentage of work performed for plaintiffs and defendants.
3. The identity of other cases, within a reasonable time period, in which the expert has testified by deposition or at trial.
4. An approximation of the portion of the expert's involvement as an expert witness, which may be based on the number of hours, percentage of hours, or percentage of earned income derived from serving as an expert witness; however, the expert shall not be required to disclose his or her earnings as an expert witness or income derived from other An expert may be required to produce financial and business records only under the most unusual or compelling circumstances and may not be compelled to compile or produce nonexistent documents. Upon motion, the court may order further discovery by other means, subject to such restrictions as to scope and other provisions pursuant to subdivision (b)(4)(C) of this rule concerning fees and expenses as the court may deem appropriate and to state the subject matter on which the expert is expected to testify, and to state the substance of the facts and opinions to which the expert is expected to testify and a summary of the grounds for each opinion.
(B) A party may discover facts known or opinions held by an expert who has been retained or specially employed by another party in anticipation of litigation or preparation for trial and who is not expected to be called as a witness at trial, only as provided in rule 1.360(b) or upon a showing of exceptional circumstances under which it is impracticable for the party seeking discovery to obtain facts or opinions on the same subject by other means.
(C) Unless manifest injustice would result, the court shall require that the party seeking discovery pay the expert a reasonable fee for time spent in responding to discovery under subdivisions (b)(4)(A) and (b)(4)(B) of this rule; and concerning discovery from an expert obtained under subdivision (b)(4)(A) of this rule the court may require, and concerning discovery obtained under subdivision (b)(4)(B) of this rule shall require, the party seeking discovery to pay the other party a fair part of the fees and expenses reasonably incurred by the latter party in obtaining facts and opinions from the expert.
(D) As used in these rules an expert shall be an expert witness as defined in rule 1.390(a).
(5) Claims of Privilege or Protection of Trial Preparation Materials. When a party withholds information otherwise discoverable under these rules by claiming that it is privileged or subject to protection as trial preparation material, the party shall make the claim expressly and shall describe the nature of the documents, communications, or things not produced or disclosed in a manner that, without revealing information itself privileged or protected, will enable other parties to assess the applicability of the privilege or protection.
(c) Protective Orders. Upon motion by a party or by the person from whom discovery is sought, and for good cause shown, the court in which the action is pending may make any order to protect a party or person from annoyance, embarrassment, oppression, or undue burden or expense that justice requires, including one or more of the following:
(1) that the discovery not be had; (2) that the discovery may be had only on specified terms and conditions, including a designation of the time or place; (3) that the discovery may be had only by a method of discovery other than that selected by the party seeking discovery; (4) that certain matters not be inquired into, or that the scope of the discovery be limited to certain matters; (5) that discovery be conducted with no one present except persons designated by the court; (6) that a deposition after being sealed be opened only by order of the court; (7) that a trade secret or other confidential research, development, or commercial information not be disclosed or be disclosed only in a designated way; and(8) that the parties simultaneously file specified documents or information enclosed in sealed enve-lopes to be opened as directed by the court. If the motion for a protective order is denied in whole or in part, the court may, on such terms and conditions as are just, order that any party or person provide or permit discovery. The provisions of rule 1.380(a)(4) apply to the award of expenses incurred in relation to the motion.
(d) Sequence and Timing of Discovery. Except as provided in subdivision (b)(4) or unless the court upon motion for the convenience of parties and witnesses and in the interest of justice orders otherwise, methods of discovery may be used in any sequence, and the fact that a party is conducting discovery, whether by deposition or otherwise, shall not delay any other party's discovery.
(e) Supplementing of Responses. A party who has responded to a request for discovery with a response that was complete when made is under no duty to supplement the response to include information thereafter acquired.
MANDATORY DISCLOSURE
(a) Application: (1) Scope. Rule 12.285 shall apply to all proceedings within the scope of these rules except proceedings involving adoption, simplified dissolution, enforcement, contempt, injunctions for domestic or repeat violence, and uncontested dissolutions when the respondent is served by publication and does not file an answer. Additionally, no financial affidavit or other documents shall be required under this rule from a party seeking attorneys' fees, suit money, or costs, if the basis for the request is solely under section 57.105, Florida Statutes, or any successor statute. Except for the provisions as to financial affidavits and child support guidelines worksheets, any portion of this rule may be modified by order of the court or agreement of the parties.
(2) Original and Duplicate Copies. Unless otherwise agreed by the parties or ordered by the court, copies of documents required under this rule may be produced in lieu of originals. Originals, when available, shall be produced for inspection upon request. Parties shall not be required to serve duplicates of documents previously served.
(b) Time for Production of Documents. (1) Temporary Financial Hearings. Any document required under this rule in any temporary financial relief proceeding shall be served on the other party for inspection and copying as follows.
(A) The party seeking relief shall serve the required documents on the other party with the notice of temporary financial hearing, unless the documents have been served under ubdivision (b)(2) of this rule.
(B) The responding party shall serve the required documents on the party seeking relief on or before 5:00 p.m., 2 business days before the day of the temporary financial hearing if served by delivery or 7 days before the day of the temporary financial hearing if served by mail, unless the documents have been received previously by the party seeking relief under subdivision (b)(2) of this rule. A responding party shall be given no less than 12 days to serve the documents required under this rule, unless otherwise ordered by the court. If the 45-day period for exchange of documents provided for in subdivision (b)(2) of this rule will occur before the expiration of the 12 days, the provisions of subdivision(b)(2) control.
(2) Initial and Supplemental Proceedings. Any document required under this rule for any initial or supplemental proceeding shall be served on the other party for inspection and copying within 45 days of service of the initial pleading on the respondent.
(c) Disclosure Requirements for Temporary Financial Relief. In any proceeding for temporary financial relief heard within 45 days of the service of the initial pleading or within any extension of the time for complying with mandatory disclosure granted by the court or agreed to by the parties, the following documents shall be served on the other party:
(1) A financial affidavit in substantial conformity with Florida Family Law Rules of Procedure Form 12.902(b) if the party's gross annual income is less than $50,000, or Florida Family Law Rules of Procedure Form 12.902(c) if the party's gross annual income is equal to or more than $50,000. This requirement cannot be waived by the parties. The affidavit also must be filed with the court.
(2) All federal and state income tax returns, gift tax returns, and intangible personal property tax returns filed by the party or on the party's behalf for the past year. A party may file a transcript of the tax return as provided by Internal Revenue Service Form 4506 in lieu of his or her individual federal income tax return for purposes of a temporary hearing.
(3) IRS forms W-2, 1099, and K-1 for the past year, if the income tax return for that year has not been prepared.
(4) Pay stubs or other evidence of earned income for the 3 months prior to service of the financial affidavit.
(d) Parties' Disclosure Requirements for Initial or Supplement Proceedings. A party shall serve the following documents in any proceeding for an initial or supplemental request for permanent financial relief, including, but not limited to, a request for child support, alimony, equitable distribution of assets or debts, or attorneys' fees, suit money, or costs:
(1) A financial affidavit in substantial conformity with Florida Family Law Rules of Procedure Form 12.902(b) if the party's gross annual income is less than $50,000, or Florida Family Law Rules of Procedure Form 12.902(c) if the party's gross annual income is equal to or more than $50,000, which requirement cannot be waived by the parties. The financial affidavits also must be filed with the court. A party may request, by using the Standard Family Law Interrogatories, or the court on its own motion may order, a party whose gross annual income is less than $50,000 to complete Florida Family Law Rules of Procedure Form 12.902(c).
(2) All federal and state income tax returns, gift tax returns, and intangible personal property tax returns filed by the party or on the party's behalf for the past 3 years.
(3) IRS forms W-2, 1099, and K-1 for the past year, if the income tax return for that year has not been prepared.
(4) Pay stubs or other evidence of earned income for the 3 months prior to service of the financial affidavit.
(5) A statement by the producing party identifying the amount and source of all income received from any source during the 3 months preceding the service of the financial affidavit required by this rule if not reflected on the pay stubs produced.
(6) All loan applications and financial statements prepared or used within the 12 months preceding service of that party's financial affidavit required by this rule, whether for the purpose of obtaining or attempting to obtain credit or for any other purpose.
(7) All deeds within the last 3 years, all promissory notes within the last 12 months, and all present leases, in which the party owns or owned an interest, whether held in the party's name individually, in the party's name jointly with any other person or entity, in the party's name as trustee or guardian for any other person, or in someone else's name on the party's behalf.
(8) All periodic statements from the last 3 months for all checking accounts, and from the last 12 months for all other accounts (for example, savings accounts, money market funds, certificates of deposit, etc.), regardless of whether or not the account has been closed, including those held in the party's name individually, in the party's name jointly with any other person or entity, in the party's name as trustee or guardian for any other person, or in someone else's name on the party's behalf.
(9) All brokerage account statements in whichperson or entity, in the party's name as trustee or guardian for any other person, or in someone else's name on the party's behalf.
(10) The most recent statement for any profit sharing, retirement, deferred compensation, or pension plan (for example, IRA, 401(k), 403(b), SEP, KEOGH, or other similar account) in which the party is a participant or alternate payee and the summary plan description for any retirement, profit sharing, or pension plan in which the party is a participant or an alternate payee. (The summary plan description must be furnished to the party on request by the plan administrator as required by 29 U.S.C. § 1024(b)(4).)
(11) The declarations page, the last periodic statement, and the certificate for all life insurance policies insuring the party's life or the life of the party's spouse, whether group insurance or otherwise, and all current health and dental insurance cards covering either of the parties and/or their dependent children.
(12) Corporate, partnership, and trust tax returns for the last 3 tax years if the party has an ownership or interest in a corporation, partnership, or trust greater than or equal to 30%.
(13) All promissory notes for the last 12 months, all credit card and charge account statements and other records showing the party's indebtedness as of the date of the filing of this action and for the last 3 months, and all present lease agreements, whether owed in the party's name individually, in the party's name jointly with any other person or entity, in the party's name as trustee or guardian for any other person, or in someone else's name on the party's behalf.
(14) All written premarital or marital agreements entered into at any time between the parties to this marriage, whether before or during the marriage. Additionally, in any modification proceeding, each party shall serve on the opposing party all written agreements entered into between them at any time since the order to be modified was entered.
(15) All documents and tangible evidence supporting the producing party's claim of special equity or nonmarital status of an asset or debt for the time period from the date of acquisition of the asset or debt to the date of production or from the date of marriage, if based on premarital acquisition.
(16) Any court orders directing a party to pay or receive spousal or child support.
(e) Duty to Supplement Disclosure; Amended Financial Affidavit.
(1) Parties have a continuing duty to supplement documents described in this rule, including financial affidavits, whenever a material change in their financial status occurs.
(2) If an amended financial affidavit or an amendment to a financial affidavit is filed, the amending party also shall serve any subsequently discovered or acquired documents supporting the amendments to the financial affidavit.
(f) Sanctions. Any document to be produced under this rule that is served on the opposing party fewer than 24 hours before a nonfinal hearing or in violation of the court's pretrial order shall not be admissible in evidence at that hearing unless the court finds good cause for the delay. In addition, the court may impose other sanctions authorized by rule 12.380 as may be equitable under the circumstances. The court may also impose sanctions upon the offending lawyer in lieu of imposing sanctions on a party.
(g) Extensions of Time for Complying with Mandatory Disclosure. By agreement of the parties, the time for complying with mandatory disclosure may be extended. Either party also may file, at least 5 days before the due date, a motion to enlarge the time for complying with mandatory disclosure. The court shall grant the request for good cause shown.
(h) Objections to Mandatory Automatic Disclosure. Objections to the mandatory automatic disclosure required by this rule shall be served in writing at least 5 days prior to the due date for the disclosure or the objections shall be deemed waived. The filing of a timely objection, with a notice of hearing on the objection, automatically stays mandatory disclosure for those matters within the scope of the objection. For good cause shown, the court may extend the time for the filing of an objection or permit the filing of an otherwise untimely objection. The court shall impose sanctions for the filing of meritless or frivolous objections.
(i) Certificate of Compliance. All parties subject to automatic mandatory disclosure shall file with the court a certificate of compliance, Florida Family Law Rules of Procedure Form 12.932, identifying with particularity the documents which have been delivered and certifying the date of service of the financial affidavit and documents by that party.
(j) Child Support Guidelines Worksheet. If the case involves child support, the parties shall file with the court at or prior to a hearing to establish or modify child support a Child Support Guidelines Worksheet in substantial conformity with Florida Family Law Rules of Procedure Form 12.902(e). This requirement cannot be waived by the parties.
(k) Place of Production.(1) Unless otherwise agreed by the parties or ordered by the court, all production required by this rule shall take place in the county where the action is pending and in the office of the attorney for the party receiving production. Unless otherwise agreed by the parties or ordered by the court, if a party does not have an attorney or if the attorney does not have an office in the county where the action is pending, production shall take place in the county where the action is pending at a place designated in writing by the party receiving production, served at least 5 days before the due date for production.
(2) If venue is contested, on motion by a party the court shall designate the place where production will occur pending determination of the venue issue.
(l) Failure of Defaulted Party to Comply. Nothing in this rule shall be deemed to preclude the entry of a final judgment when a party in default has failed to comply with this rule.( Rule 12.285)
FINANCIAL AFFIDAVITS IN ENFORCEMENT AND CONTEMPT
PROCEEDINGS
Any party in an enforcement or contempt proceeding may serve upon any other party a written request to file and serve a financial affidavit if the other party's financial circumstances are relevant in the proceeding. The party to whom the request is made shall file and serve the requested financial affidavit within 10 days after the service of the written request. The court may allow a shorter or longer time. The financial affidavit shall be in substantial conformity with Florida Family Law Rules of Procedure Form 12.902(b) (Short Form), all sections of which shall be completed.
(Rule 12.287)
DEPOSITIONS BEFORE ACTION OR PENDING APPEAL
Depositions before an action or pending an appeal shall be governed by Florida Rule of Civil Procedure 1.290. (Rule 12.290)
Florida Rule of Civil Procedure 1.290 provides:
(a) Before Action.(1) Petition. A person who desires to perpetuate that person's own testimony or that of another person regarding any matter that may be cognizable in any court of this state may file a verified petition in the circuit court in the county of the residence of any expected adverse party. The petition shall be entitled in the name of the petitioner and shall show:
(1) that the petitioner expects to be a party to an action cognizable in a court of Florida, but is presently unable to bring it or cause it to be brought, (2) the subject matter of the expected action and the petitioner's interest therein, (3) the facts which the petitioner desires to establish by the proposed testimony and the petitioner's reasons for desiring to perpetuate it, (4) the names or a description of the persons the petitioner expects will be adverse parties and their addresses so far as known, and (5) the names and addresses of the persons to be examined and the substance of the testimony which the petitioner expects to elicit from each; and shall ask for an order authorizing the petitioner to take the deposition of the persons to be examined named in the petition for the purpose of perpetuating their testimony.
(2) Notice and Service. The petitioner shall thereafter serve a notice upon each person named in the petition as an expected adverse party, together with a copy of the petition, stating that the petitioner will apply to the court at a time and place named therein for an order described in the petition. At least 20 days before the date of hearing the notice shall be served either within or without the county in the manner provided by law for service of summons, but if such service cannot with due diligence be made upon any expected adverse party named in the petition, the court may make an order for service by publication or otherwise, and shall appoint an attorney for persons not served in the manner provided by law for service of summons who shall represent them, and if they are not otherwise represented, shall cross-examine the deponent.
(3) Order and Examination. If the court is satisfied that the perpetuation of the testimony may prevent a failure or delay of justice, it shall make an order designating or describing the persons whose depositions may be taken and specifying the subject matter of the examination and whether the deposition shall be taken upon oral examination or written nterrogatories. The deposition may then be taken in accordance with these rules and the court may make orders in accordance with the equirements of these rules. For the purpose of applying these rules to depositions for perpetuating testimony, each reference therein to the court in which the action is pending shall be deemed to refer to the court in which the petition for such deposition was filed.
(4) Use of Deposition. A deposition taken under this rule may be used in any action involving the same subject matter subsequently brought in any court in accordance with rule 1.330.
(b) Pending Appeal. If an appeal has been taken from a judgment of any court or before the taking of an appeal if the time therefor has not expired, the court in which the judgment was rendered may allow the taking of the depositions of witnesses to perpetuate their testimony for use in the event of further proceedings in the court. In such case the party who desires to perpetuate the testimony may make a motion for leave to take the deposition upon the same notice and service as if the action was pending in the court. The motion shall show (1) the names and addresses of persons to be examined and the substance of the testimony which the movant expects to elicit from each, and (2) the reason for perpetuating their testimony. If the court finds that the perpetuation of the testimony is proper to avoid a failure or delay in justice, it may make an order allowing the deposition to be taken and may make orders of the character provided for by these rules, and thereupon the deposition may be taken and used in the same manner and under the same conditions as are prescribed in these rules for depositions taken in actions pending in the court.
(c) Perpetuation by Action. This rule does not limit the power of a court to entertain an action to perpetuate testimony.
PERSONS BEFORE WHOM DEPOSITIONS MAY BE TAKEN
Provisions regarding who may take depositions shall be governed by Florida Rule of Civil Procedure 1.300. (Rule 12.300)
Florida Rule of Civil Procedure 1.300 provides:
(a) Persons Authorized. Depositions may be taken before any notary public or judicial officer or before any officer authorized by the statutes of Florida to take acknowledgments or proof of executions of deeds or by any person appointed by the court in which the action is pending.
(b) In Foreign Countries. In a foreign country depositions may be taken (1) on notice before a person authorized to administer oaths in the place in which the examination is held, either by the law thereof or by the law of Florida or of the United States, (2) before a person commissioned by the court, and a person so commissioned shall have the power by virtue of the commission to administer any necessary oath and take testimony, or (3) pursuant to a letter rogatory. A commission or a letter rogatory shall be issued on application and notice and on terms that are just and appropriate. It is not requisite to the issuance of a commission or a letter rogatory that the taking of the deposition in any other manner is impracticable or inconvenient, and both a commission and a letter rogatory may be issued in proper cases. A notice or commission may designate the person before whom the deposition is to be taken either by name or descriptive title. A letter rogatory may be addressed "To the Appropriate Authority in .....(name of country)......" Evidence obtained in response to a letter rogatory need not be excluded merely for the reason that it is not a verbatim transcript or that the testimony was not taken under oath or any similar departure from the requirements for depositions taken within Florida under these rules.
(c) Selection by Stipulation. If the parties so stipulate in writing, depositions may be taken before any person at any time or place upon any notice and in any manner and when so taken may be used like other depositions.
(d) Persons Disqualified. Unless so stipulated by the parties, no deposition shall be taken before a person who is a relative, employee, attorney, or counsel of any of the parties, is a relative or employee of any of the parties' attorney or counsel, or is financially interested in the action.
DEPOSITIONS UPON ORAL EXAMINATION
Depositions upon oral examination shall be governed by Florida Rule of Civil Procedure 1.310. (Rule 12.310)
Florida Rule of Civil Procedure 1.310 provides:
(a) Serving Questions; Notice. After commencement of the action any party may take the testimony of any person, including a party, by deposition upon written questions. The attendance of witnesses may be compelled by the use of subpoena as provided in rule 1.410. The deposition of a person confined in prison may be taken only by leave of court on such terms as the court prescribes. A party desiring to take a deposition upon written questions shall serve them with a notice stating (1) the name and address of the person who is to answer them, if known, and, if the name is not known, a general description sufficient to identify the person or the particular class or group to which that person belongs, and (2) the name or descriptive title and address of the officer before whom the deposition is to be taken.
(a) When Depositions May Be Taken. After commencement of the action any party may take the testimony of any person, including a party, by deposition upon oral examination. Leave of court, granted with or without notice, must be obtained only if the plaintiff seeks to take a deposition within 30 days after service of the process and initial pleading upon any defendant, except that leave is not required (1) if a defendant has served a notice of taking deposition or otherwise sought discovery, or (2) if special notice is given as provided in subdivision (b)(2) of this rule. The attendance of witnesses may be compelled by subpoena as provided in rule 1.410. The deposition of a person confined in prison may be taken only by leave of court on such terms as the court prescribes. (b) Notice; Method of Taking; Production at Deposition. (1) A party desiring to take the deposition of any person upon oral examination shall give reasonable notice in writing to every other party to the action. The notice shall state the time and place for taking the deposition and the name and address of each person to be examined, if known, and, if the name is not known, a general description sufficient to identify the person or the particular class or group to which the person belongs. If a subpoena duces tecum is to be served on the person to be examined, the designation of the materials to be produced under the subpoena shall be attached to or included in the notice.
(2) Leave of court is not required for the taking of a deposition by plaintiff if the notice states that the person to be examined is about to go out of the state and will be unavailable for examination unless a deposition is taken before expiration of the 30-day period under subdivision (a). If a party shows that when served with notice under this subdivision that party was unable through the exercise of diligence to obtain counsel to represent the party at the taking of the deposition, the deposition may not be used against that party.
(3) For cause shown the court may enlarge or shorten the time for taking the deposition.
(4) Any deposition may be recorded by videotape without leave of the court or stipulation of the parties, provided the eposition is taken in accordance with this subdivision.
(A) Notice. A party intending to videotape a deposition shall state in the notice that the deposition is to be videotaped and shall give the name and address of the operator.
(B) Stenographer. Videotaped depositions shall also be recorded stenographically, unless all parties agree otherwise.
(C) Procedure. At the beginning of the deposition, the officer before whom it is taken shall, on camera: (i) identify the style of the action, (ii) state the date, and (iii) swear the witness.
authorized in these rules.
(D) Custody of Tape and Copies. The attorney for the party requesting the videotaping of the deposition shall take custody of and be responsible for the safeguarding of the videotape, shall permit the viewing of it by the opposing party, and, if requested, shall provide a copy of the videotape at the expense of the party requesting the copy.
(E) Cost of Videotaped Depositions. The party requesting the videotaping shall bear the initial cost of videotaping.
(5) The notice to a party deponent may be accompanied by a request made in compliance with rule 1.350 for the production of documents and tangible things at the taking of the eposition. The procedure of rule 1.350 shall apply to the request.
(6) In the notice a party may name as the deponent a public or private corporation, a partnership or association, or a governmental agency, and designate with reasonable particularity the matters on which examination is requested. The organization so named shall designate one or more officers, directors, or managing agents, or other persons who consent to do so, to testify on its behalf and may state the matters on which each person designated will testify. The persons so designated shall testify about matters known or reasonably available to the organization. This subdivision does not preclude taking a deposition by any other procedure authorized in these rules.
(7) On motion the court may order that the testimony at a deposition be taken by telephone. The order may prescribe the manner in which the deposi-tion will be taken. A party may also arrange for a stenographic transcription at that party's own initial expense.
(c) Examination and Cross-Examination; Record of Examination; Oath; Objections. Examination and cross-examination of witnesses may proceed as permitted at the trial. The officer before whom the deposition is to be taken shall put the witness on oath and shall personally, or by someone acting under the officer's direction and in the officer's presence, record the testimony of the witness, except that when a deposition is being taken by telephone, the witness shall be sworn by a person present with the witness who is qualified to administer an oath in that location. The testimony shall be taken tenographically or recorded by any other means ordered in accordance with subdivision (b)(4) of this rule. If requested by one of the parties, the testimony shall be transcribed at the initial cost of the requesting party and prompt notice of the request shall be given to all other parties. All objections made at time of the examination to the qualifications of the officer taking the deposition, the manner of taking it, the evidence presented, or the conduct of any party, and any other objection to the proceedings shall be noted by the officer upon the deposition. Any objection during a deposition shall be stated concisely and in a nonargumentative and nonsuggestive manner. A party may instruct a deponent not to answer only when necessary to preserve a privilege, to enforce a limitation on evidence directed by the court, or to present a motion under subdivision (d). Otherwise, evidence objected to shall be taken subject to the objections. Instead of participating in the oral examination, parties may serve written questions in a sealed envelope on the party taking the deposition and that party shall transmit them to the officer, who shall propound them to the witness and record the answers verbatim.
(d) Motion to Terminate or Limit Examination. At any time during the taking of the deposition, on motion of a party or of the deponent and upon a showing that the examination is being conducted in bad faith or in such manner as unreasonably to annoy, embarrass, or oppress the deponent or party, or that objection and instruction to a deponent not to answer are being made in violation of rule 1.310(c), the court in which the action is pending or the circuit court where the deposition is being taken may order the officer conducting the examination to cease forthwith from taking the deposition or may limit the scope and manner of the taking of the deposition under rule 1.280(c). If the order terminates the examination, it shall be resumed thereafter only upon the order of the court in which the action is pending. Upon demand of any party or the deponent, the taking of the deposition shall be suspended for the time necessary to make a motion for an order. The provisions of rule 1.380(a) apply to the award of expenses incurred in relation to the motion.
(e) Witness Review. If the testimony is transcribed, the transcript shall be furnished to the witness for examination and shall be read to or by the witness unless the examination and reading are waived by the witness and by the parties. Any changes in form or substance that the witness wants to make shall be listed in writing by the officer with a statement of the reasons given by the witness for making the changes. The changes shall be attached to the transcript. It shall then be signed by the witness unless the parties waived the signing or the witness is ill, cannot be found, or refuses to sign. If the transcript is not signed by the witness within a reasonable time after it is furnished to the witness, the officer shall sign the transcript and state on the transcript the waiver, illness, absence of the witness, or refusal to sign with any reasons given therefor. The deposition may then be used as fully as though signed unless the court holds that the reasons given for the refusal to sign require rejection of the deposition wholly or partly, on motion under rule 1.330(d)(4).
(f) Filing; Exhibits. (1) If the deposition is transcribed, the officer shall certify on each copy of the deposition that the witness was duly sworn by the officer and that the deposition is a true record of the testimony given by the witness. Documents and things produced for inspection during the examination of the witness shall be marked for identification and annexed to and returned with the deposition upon the request of a party, and may be inspected and copied by any party, except that the person producing the materials may substitute copies to be marked for identification if that person affords to all parties fair opportunity to verify the copies by comparison with the originals. If the person producing the materials requests their return, the officer shall mark them, give each party an opportunity to inspect and copy them, and return them to the person producing them and the materials may then be used in the same manner as if annexed to and returned with the deposition.
(2) Upon payment of reasonable charges therefor the officer shall furnish a copy of the deposition to any party or to the deponent.
(3) A copy of a deposition may be filed only under the following circumstances:
(A) It may be filed by a party or the witness when the contents of the deposition must be con-sidered by the court on any matter pending before the court. Prompt notice of the filing of the deposition shall be given to all parties unless notice is waived. A party filing the deposition shall furnish a copy of the deposition or the part being filed to other parties unless the party already has a copy.
(B) If the court determines that a deposition previously taken is necessary for the decision of a matter pending before the court, the court may order that a copy be filed by any party at the initial cost of the party.
(g) Obtaining Copies. A party or witness who does not have a copy of the deposition may obtain it from the officer taking the deposition unless the court orders otherwise. If the deposition is obtained from a person other than the officer, the reasonable cost of reproducing the copies shall be paid to the person by the requesting party or witness.
(h) Failure to Attend or to Serve Subpoena; Expenses.
(1) If the party giving the notice of the taking of a deposition fails to attend and proceed therewith and another party attends in person or by attorney pursuant to the notice, the court may order the party giving the notice to pay to the other party the reasonable expenses incurred by the other party and the other party's attorney in attending, including reasonable attorneys' fees.
(2) If the party giving the notice of the taking of a deposition of a witness fails to serve a subpoena upon the witness and the witness because of the failure does not attend and if another party attends in person or by attorney because that other party expects the deposition of that witness to be taken, the court may order the party giving the notice to pay to the other party the reasonable expenses incurred by that other party and that other party's attorney in attending, including reasonable attorneys' fees.
DEPOSITIONS UPON WRITTEN QUESTIONS
Depositions upon written questions shall be governed by Florida Rule of Civil Procedure 1.320. (Rule 12.320)
Florida Rule of Civil Procedure 1.320 provides:
(a) Serving Questions; Notice. After commencement of the action any party may take the testimony of any person, including a party, by deposition upon written questions. The attendance of witnesses may be compelled by the use of subpoena as provided in rule 1.410. The deposition of a person confined in prison may be taken only by leave of court on such terms as the court prescribes. A party desiring to take a deposition upon written questions shall serve them with a notice stating (1) the name and address of the person who is to answer them, if known, and, if the name is not known, a general description sufficient to identify the person or the particular class or group to which that person belongs, and (2) the name or descriptive title and address of the officer before whom the deposition is to be taken.
USE OF DEPOSITIONS IN COURT PROCEEDINGS
Use of depositions in court proceedings shall be governed by Florida Rule of Civil Procedure 1.330. (Rule 12.330)
Florida Rule of Civil Procedure 1.330 provides:
a) Use of Depositions. At the trial or upon thehearing of a motion or an interlocutory proceeding,any part or all of a deposition may be used againstany party who was present or represented at the taking of the deposition or who had reasonablenotice of it so far as admissible under the rules of evidence applied as though the witness were then present and testifying in accordance with any of the following provisions:
(1) Any deposition may be used by any partyfor the purpose of contradicting or impeaching thetestimony of the deponent as a witness or for anypurpose permitted by the Florida Evidence Code.
(2) The deposition of a party or of anyone who at the time of taking the deposition was an officer,director, or managing agent or a person designated under rule 1.310(b)(6) or 1.320(a) to testify on behalfof a public or private corporation, a partnership or association, or a governmental agency that is a party may be used by an adverse party for any purpose.
(3) The deposition of a witness, whether or not a party, may be used by any party for any purpose if the court finds: (A) that the witness is dead; (B) that the witness is at a greater distance than 100 miles from the place of trial or hearing, or is out of the state, unless it appears that the absence of the witness was procured by the party offering the deposition; (C)that the witness is unable to attend or testify because of age, illness, infirmity, or imprisonment; (D) that the party offering the deposition has been unable to procure the attendance of the witness by subpoena; (E) upon application and notice, that such exceptional circumstances exist as to make it desirable, in the interest of justice and with due regard to the importance of presenting the testimony of witnesses orally in open court, to allow the deposition to be used; or (F) the witness is an expert or skilled witness.
(4) If only part of a deposition is offered in evidence by a party, an adverse party may require the party to introduce any other part that in fairness ought to be considered with the part introduced, and any party may introduce any other parts.
(5) Substitution of parties pursuant to rule 1.260 does not affect the right to use depositions previously taken and, when an action in any court of the United States or of any state has been dismissed and another action involving the same subject matter is afterward brought between the same parties or their representatives or successors in interest, all depositions lawfully taken and duly filed in the former action may be used in the latter as if originally taken for it.
(6) If a civil action is afterward brought, all depositions lawfully taken in a medical liability mediation proceeding may be used in the civil action as if originally taken for it.
(b) Objections to Admissibility. Subject to the provisions of rule 1.300(b) and subdivision (d)(3) of this rule, objection may be made at the trial or hearing to receiving in evidence any deposition or part of it for any reason that would require the exclusion of the evidence if the witness were then present and testifying.
(c) Effect of Taking or Using Depositions. A party does not make a person the party's own witness for any purpose by taking the person's deposition. The introduction in evidence of the deposition or any part of it for any purpose other than that of contradicting or impeaching the deponent makes the deponent the witness of the party introducing the deposition, but this shall not apply to the use by an adverse party of a deposition under subdivision (a)(2) of this rule. At the trial or hearing any party may rebut any relevant evidence contained in a deposition whether introduced by that party or by any other party.
(d) Effect of Errors and Irregularities.
(1) As to Notice. All errors and irregularities in the notice for taking a deposition are waived unless written objection is promptly served upon the party giving the notice.
(2) As to Disqualification of Officer. Objection to taking a deposition because of disqualification of the officer before whom it is to be taken is waived unless made before the taking of the deposition begins or as soon thereafter as the isqualification becomes known or could be discovered with reasonable diligence.
(3) As to Taking of Deposition.
(A) Objections to the competency of a witness or to the competency, relevancy, or materiality of testimony are not waived by failure to make them before or during the taking of the deposition unless the ground of the objection is one that might have been obviated or removed if presented at that time.
(B) Errors and irregularities occurring at the oral examination in the manner of taking the deposi-tion, in the form of the questions or answers, in the oath or affirmation, or in the conduct of parties and errors of any kind that might be bviated, removed, or cured if promptly presented are waived unless timely objection to them is made at the taking of the deposition.
(C) Objections to the form of written questions submitted under rule 1.320 are waived unless served in writing upon the party propounding them within the time allowed for serving the succeeding cross or other questions and within 10 days after service of the last questions authorized.
(4) As to Completion and Return. Errors and irregularities in the manner in which the testimony is transcribed or the deposition is prepared, signed, certified, or otherwise dealt with by the officer under rules 1.310 and 1.320 are waived unless a motion to suppress the deposition or some part of it is made with reasonable promptness after the defect is, or with due diligence might have been discovered.
INTERROGATORIES TO PARTIES
Interrogatories to parties shall be governed generally by Florida Rule of Civil Procedure 1.340, with the following exceptions.
(a) Service of Interrogatories.
(1) Initial Interrogatories. Initial interrogatories to parties in original and enforcement actions shall be those set forth in Florida Family Law Rules of Procedure Form 12.930(b). Parties governed by the mandatory disclosure requirements of rule 12.285 may serve the interrogatories set forth in Florida Family Law Rules of Procedure Form 12.930(b) as set forth in rule 1.340.
(2) Modification Interrogatories. Interrogatories to parties in cases involving modification of a final Rules of Procedure Form 12.930(c). Parties governed by the mandatory disclosure equirements of rule 12.285 may serve the interrogatories set forth in Florida Family Law Rules of Procedure Form 12.930(c) as set forth in rule 1.340.
(b) Additional Interrogatories. Ten interrogatories, including subparts, may be sent to a party, in addition to the standard interrogatories contained in Florida Family Law Rules of Procedure Form 12.930(b) or Florida Family Law Rules of Procedure Form 12.930(c). A party must obtain permission of the court to send more than ten additional interrogatories. (Rule 12.340)
Florida Rule of Civil Procedure 1.340 provides:
(a) Procedure for Use. Without leave of court, any party may serve upon any other party written inter-rogatories to be answered (1) by the party to whom the interrogatories are directed, or (2) if that party is a public or private orporation or partnership or association or governmental agency, by any officer or agent, who shall furnish the nformation available to that party. Interrogatories may be served on the plaintiff after commencement of the action and on any other party with or after service of the process and initial pleading upon that party. The interrogatories shall not exceed 30, including all subparts, unless the court permits a larger number on motion and notice and for good cause. If the supreme court has approved a form of interrogatories for the type of action, the initial interrogatories shall be in the form approved by the court. Other interrogatories may be added to the approved forms without leave of court, so long as the total of approved and additional interrogatories does not exceed 30. Each interrogatory shall be answered separately and fully in writing under oath unless it is objected to, in which event the grounds for objection shall be stated and signed by the attorney making it.
PRODUCTION OF DOCUMENT AND THINGS AND ENTRY UPON LAND FOR INSPECTION AND OTHER PURPOSES
Production of documents and things and entry upon land for inspection and other purposes shall be governed by Florida Rule of Civil Procedure 1.350. (Rule 12.350)
Florida Rule of Civil Procedure 1.350 provides:
a) Request; Scope. Any party may request any other party (1) to produce and permit the party making the request, or someone acting in the requesting party's behalf, to inspect and copy any designated documents, including writings, drawings, graphs, charts, photographs, phono-records, and other data compilations from which information can be obtained, ranslated, if necessary, by the party to whom the request is directed through detection devices into reasonably usable form, that constitute or contain matters within the scope of rule 1.280(b) and that are in the possession, custody, or control of the party to whom the request is directed; (2) to inspect and copy, test, or sample any tangible things that constitute or contain matters within the scope of rule 1.280(b) and that are in the ossession, custody,or control of the party to whom the request is approved by the supreme court must be used; and those so used, with their subparts, are included in the total number permitted.
PRODUCTION OF DOCUMENTS AND THINGS WITHOUT DEPOSITION
Production of documents and things without deposition shall be governed by Florida Rule of Civil Procedure 1.351.
(Rule 12.351)
Florida Rule of Civil Procedure 1.351 provides:
a) Request; Scope. A party may seek inspection and copying of any documents or things within the scope of rule 1.350(a) from a person who is not a party by issuance of a subpoena directing the production of the documents or things when the requesting party does not seek to depose the custodian or other person in possession of the documents or things.
EXAMINATION OF PERSONS
Florida Rule of Civil Procedure 1.360 shall govern general provisions concerning the examination of persons in family law matters, except that examinations permitted under rule 1.360(a)(1) may include, but are not limited to, examinations involving physical or mental condition, employability or vocational testing, genetic testing, or any other type of examination related to a matter in controversy. (Rule 12.360)
Florida Rule of Civil Procedure 1.360 provides:
(a) Request; Scope. (1) A party may request any other party to submit to, or to produce a person in that other party's custody or legal control for, examination by a qualified expert when the condition that is the subject the examination or the party or person to be examined, the court may establish protective rules governing such examination.
EVALUATION OF MINOR CHILD
(a) Appointment of Mental Health Professional or Other Expert.
(1) When the issue of visitation, parental responsibility, or residential placement of a child is in controversy, the court, on motion of any party or the court's own motion, may appoint a licensed mental health professional or other expert for an examination, evaluation, testing, or interview of any minor child or to conduct a social or home study investigation. The parties may agree on the particular expert to be appointed, subject to approval by the court. If the parties have agreed, they shall submit an order including the name, address, telephone number, area of expertise, and professional qualifications of the expert. If the parties have agreed on the need for an expert and cannot agree on the selection,the court shall appoint an expert.
(2) After the examination, evaluation, or investi-gation, any party may file a motion for an additional expert examination, evaluation, interview, testing, or investigation by a licensed mental health professional or other expert. The court upon hearing may permit the additional examination, evaluation, testing, or interview based on good cause shown that further examinations, testing, interviews, or evaluations would be in the best interests of the minor child.
(3) Any order entered under this rule shall specify the issues to be addressed by the expert.
(4) Any order entered under this rule may require that all interviews of the child be recorded and the tapes be maintained as part of the expert's file.
(5) The order appointing the expert shall include an initial allocation of responsibility for payment.
(6) A copy of the order of appointment shall be provided immediately to the expert by the court unless otherwise directed by the court. The order shall direct the parties to contact the expert or investigator appointed by the court to establish an appointment schedule to facilitate timely completion of the evaluation.
(b) Providing of Reports. (1) Unless otherwise ordered, the expert shall prepare and provide a written report to the attorney for each party or the party, if unrepresented, and the guardian ad litem, if appointed, a reasonable time before any evidentiary hearing on the matter at issue. The expert also shall send written notice to the court that the report has been completed and that a copy of the written report has been provided to the attorney for each party or the party, if unrepresented, and the guardian ad litem, if appointed. In any event, the written report shall be prepared and provided no later than 30 days before trial or 75 days from the order of appointment, unless the time is extended by order of the court.
(2) On motion of any party, the court may order the expert to produce the expert's complete file to another qualified licensed mental health professional, at the initial cost of the requesting party, for review by such qualified licensed mental health expert, who may testify.
(c) Testimony of Other Professionals. Any other expert who has treated, tested, interviewed, examined, or evaluated a child may testify only if the court determines that good cause exists to permit the testimony. The fact that no notice of such treatment, testing, interview, examination, or evaluation of a child was given to both parents shall be considered by the court as a basis for preventing such testimony.
(d) Communications with Court by Expert. No expert may communicate with the court without prior notice to the parties and their attorneys, who shall be afforded the opportunity to be present and heard during any such communication between the expert and the court. A request for communication with the court may be informally conveyed by letter or telephone. Further communication with the court, which may be conducted informally, shall be done only with notice to the parties.
(e) Use of Evidence. An expert appointed by the court shall be subject to the same examination as a privately retained expert and the court shall not entertain any presumption in favor of the appointed expert's findings. Any finding or report by an expert appointed by the court may be entered into evidence on the court's own motion or the motion of any party in a manner consistent with the rules of evidence.