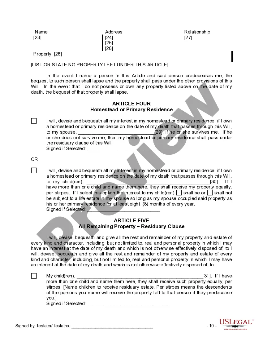
Last Will and Testament for Married person with Minor Children from Prior Marriage
Note: This summary is not intended to be an
all-inclusive summary of the law of wills in Delaware but does provide
basic and other information. Handwritten wills or wills where the testator
cannot sign are not included in this discussion.
Who may make a will: Any person of the
age of 18 years, or upwards, of sound and disposing mind and memory, may
make a will of real and personal estate. No person under the age of 18
years shall be capable of making a will either of real or personal estate.
12 Del. C. § 201.
Requisites and execution of will: Every
will, whether of personal or real estate, must be in writing and signed
by the testator and attested and subscribed in testator's presence by 2
or more credible witnesses. Any will not complying with
section shall be void. 12 Del. C. § 202.
Witnesses; persons competent: Any
person generally competent to be a witness may act as a witness to a will.
A will or any provision thereof is not invalid because the will is signed
by an interested person. 12 Del. C. § 203.
Power of sale of executor or trustee; liability of purchaser:
(a) Where, by the terms of a will or trust instrument, an express
power to sell real property is granted to a trustee, such trustee may sell
or exchange such real property as is not specifically required to be distributed
in kind to any beneficiary, and it shall not be necessary for any beneficiary
of the trust to join in the instrument transferring or conveying such property.
(b) Where by the terms of a will an express power to sell real
property is granted to an executor, such executor may sell or exchange
such real property as is not specifically devised and as is necessary to
be sold in order to pay the debts of the decedent or the expenses of administration
(including estate and inheritance taxes and taxes imposed on the income
of the estate) of the estate, and it shall not be necessary for any beneficiary
of the estate to join in the instrument transferring or conveying such
property.
(c) In any sale made by an executor, administrator or other personal
representative or by a trustee pursuant to this section, there shall
be no liability upon the purchaser to see to the application of the
purchase money, unless the will or trust expressly imposes such liability,
and the purchaser shall be entitled to rely without liability therefor
upon the representation by the executor in the deed of conveyance that
any sale of real property is for the purposes set forth in subsection (b)
of this section.
(d) No conveyance by an executor, prior to January 1, 1985, of
real property not specifically devised shall be invalid or ineffective
solely because 1 or more devisees of such property failed to join in the
instrument of conveyance. 12 Del. C. § 207.
Revocation of wills generally: A last will
and testament, or any clause thereof, shall not be altered, or revoked,
except by cancelling by the testator, or by some person in the testator's
presence and by the testator's express direction, or by a valid last will
and testament, or by a writing signed by the testator, or by some person
subscribing the testator's name in the testator's presence and by the testator's
express direction, and attested and subscribed in the testator's presence
by 2 or more credible witnesses; but this clause shall not preclude nor
extend to an implied revocation. 12 Del. C. § 208.
Revocation by divorce; no revocation by other changes or circumstances:
If
after executing a will, the testator is divorced or the testator's marriage
annulled, the divorce or annulment revokes any disposition or appointment
of property made by the will to the former spouse, any provision conferring
a general or special power of appointment on the former spouse and any
nomination of the former spouse, as executor, trustee, guardian or other
fiduciary, unless the will expressly provides otherwise. If provisions
are revoked solely by this section, they are revived by testator's remarriage
to the former spouse. 12 Del. C. § 209.
Testamentary additions to trusts:
(a) A will may validly devise or bequeath property to the trustee
of a trust established or to be established
(i) during the testator's lifetime
by the testator, by the testator and some other person or by some other
person including a funded or unfunded life insurance trust, although the
trustor has reserved any or all rights of ownership of the insurance contracts,
or
(ii) at the testator's death by the testator's devise to the trustee,
if the trust is identified in the testator's will and its terms are set
forth in a written instrument other than a will executed before, concurrently
with or after the execution of the testator's will or in another individual's
will if that other individual has predeceased the testator, regardless
of the existence, size or character of the corpus of the trust. The devise
or bequest is not invalid because the trust is amendable or revocable or
because the trust was amended after the execution of the will or the testator's
death.
(b) Unless the testator's will provides otherwise, property devised
or bequeathed to a trust described in subsection (a) of this section is
not held under a testamentary trust of the testator, but it becomes a part
of the trust to which it is devised or bequeathed and must be administered
and disposed of in accordance with the provisions of the governing instrument
setting forth the terms of the trust, including any amendments thereto
made before or after the testator's death.
(c) Unless the testator's will provides otherwise, a revocation
or termination of the trust before the testator's death causes the devise
or bequest to lapse. 12 Del. C. § 211.
Separate writing identifying bequest of tangible property:
A will may refer to a written statement or list to dispose of items of
tangible personal property not otherwise specifically disposed of by the
will, other than money, evidences of indebtedness, documents of title,
and securities, and property used in trade or business. To be admissible
under this section as evidence of the intended disposition, the writing
must either be in the handwriting of the testator or be signed by the testator
and must identify the items and the legatees with reasonable certainty.
The writing may be referred to as one to be in existence at the time of
the testator's death; it may be prepared before or after the execution
of the will; it may be altered by the testator after its preparation; and
it may be a writing which has no significance apart from its effect upon
the dispositions made by the will. 12 Del. C. § 212.
Rules for construction or interpretation of will or trust:
In
the construction or interpretation of any will or trust, the following
rules shall apply in the absence of any contrary expression of intent in
such will or trust:
(1) The period of time during which an interest in trust is revocable
pursuant to the uncontrolled volition of the person having such a power
of revocation shall not be included in determining whether the trust is
invalid under the rule against perpetuities.
(2) There shall be no presumption that a testator or trustor did
or did not intend that any law apply to a will or trust which was not in
effect on the date of execution of such will or trust instrument.
(3) Except where the will or trust instrument expressly provides
to the contrary, the determination of a class shall be governed by the
law in effect on the date the will or trust instrument becomes irrevocable.
12 Del. C. § 213.
Devolution of property; administration of decedents' estates:
Solely
for the purposes of determining the rights of any person to property of
a decedent, it shall be presumed that tangible personal property acquired
(a) by a decedent through gift or inheritance, or
(b) solely with the funds
of the decedent, or
(c) acquired by the decedent before marriage to the
surviving spouse, is the sole property of the decedent notwithstanding
that such property consists of household goods or that any such property
was subject to joint possession and use by a decedent and the surviving
spouse. 12 Del. C. § 214.
Self-proved will. An attested will may
at the time of its execution or at any subsequent date be made
self-proved, by the acknowledgment thereof by the testator and
the affidavits of the witnesses, each made before an officer authorized
to administer oaths under the laws of this State, and evidenced
by the officer's certificate, under official seal, attached or
annexed to the will. The will you have found contains the required
self proving affidavit. 12 Del. C. § 1305.
Choice of law as to execution of wills. A written
will signed by the testator, or by some person subscribing the
testator's name in the testator's presence and at the testator's
express direction, is valid if executed in compliance with Delaware
law, or if its execution complies with the law at the time of
execution of the place where the will is executed, or of the law
of the place where at the time of execution or at the time of
death the testator, was the residence of the testator. 12 Del. C. §
1306.