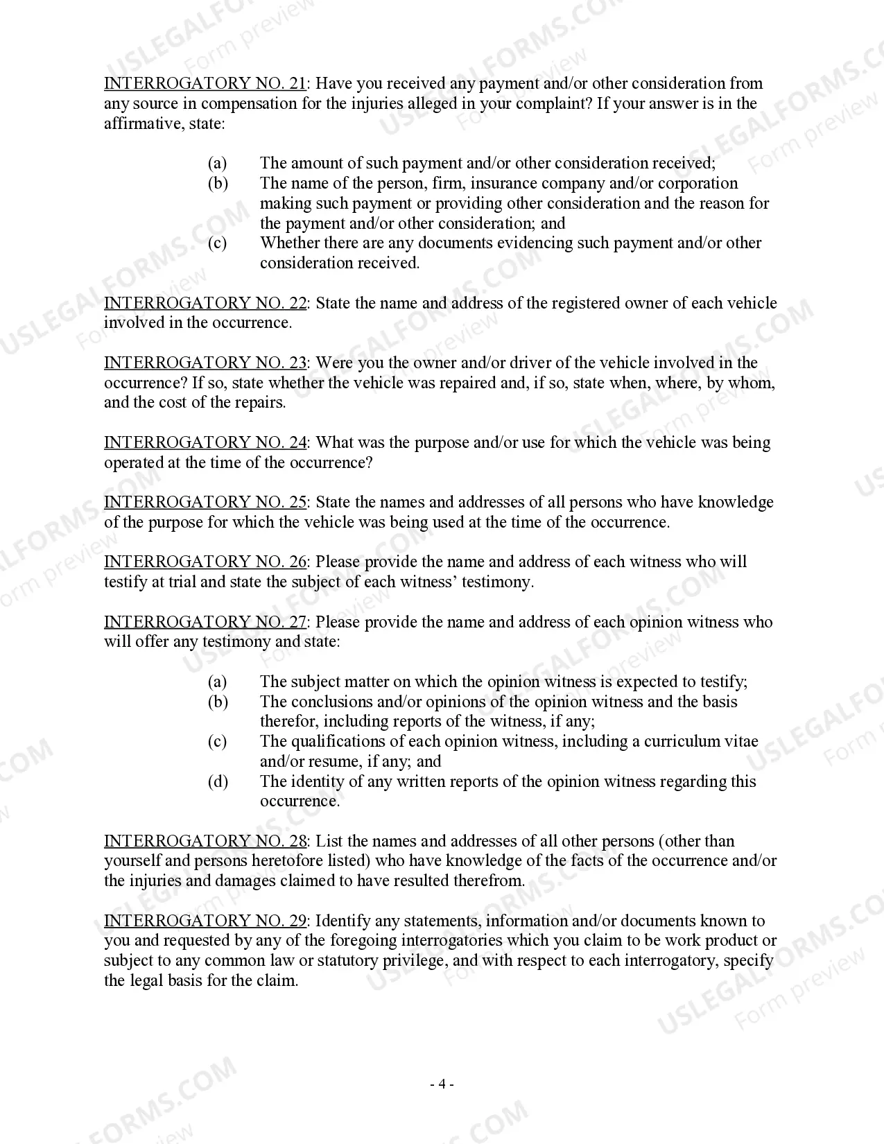
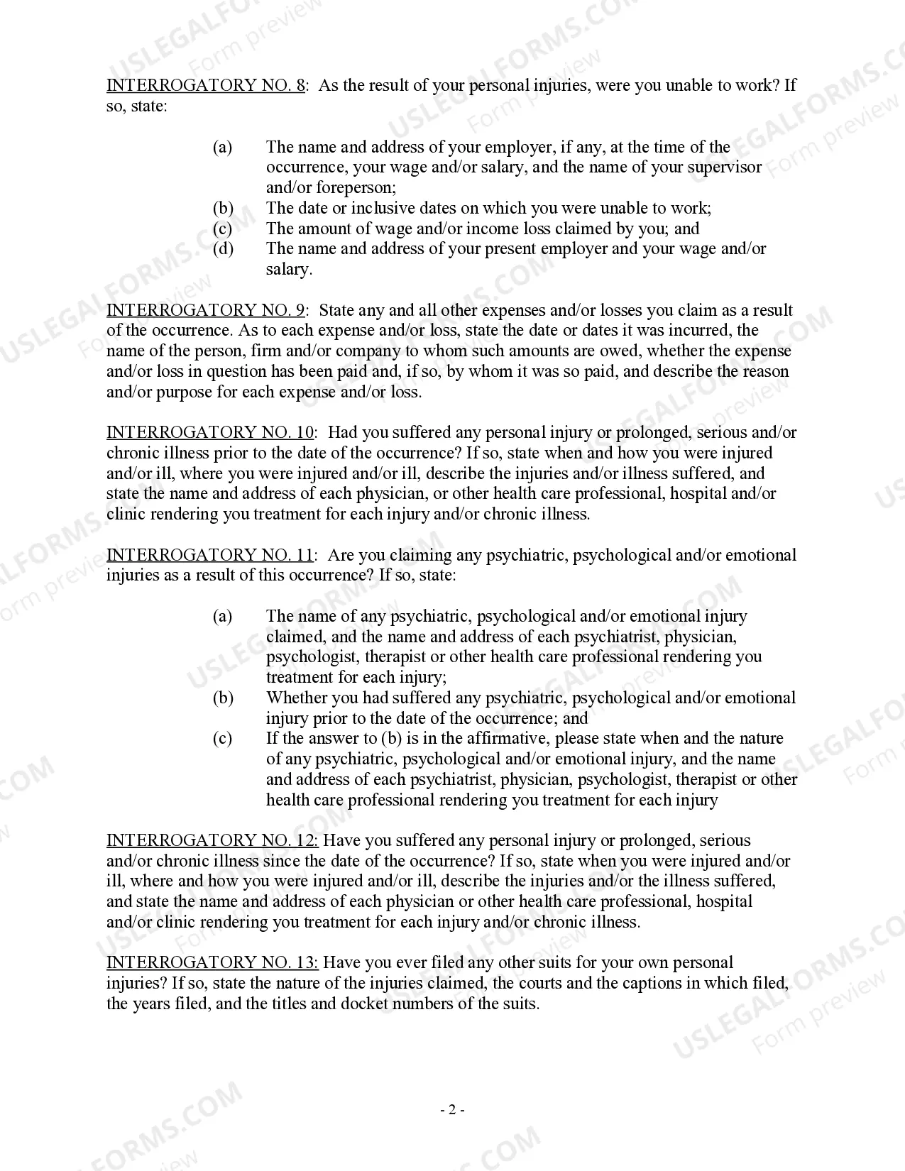
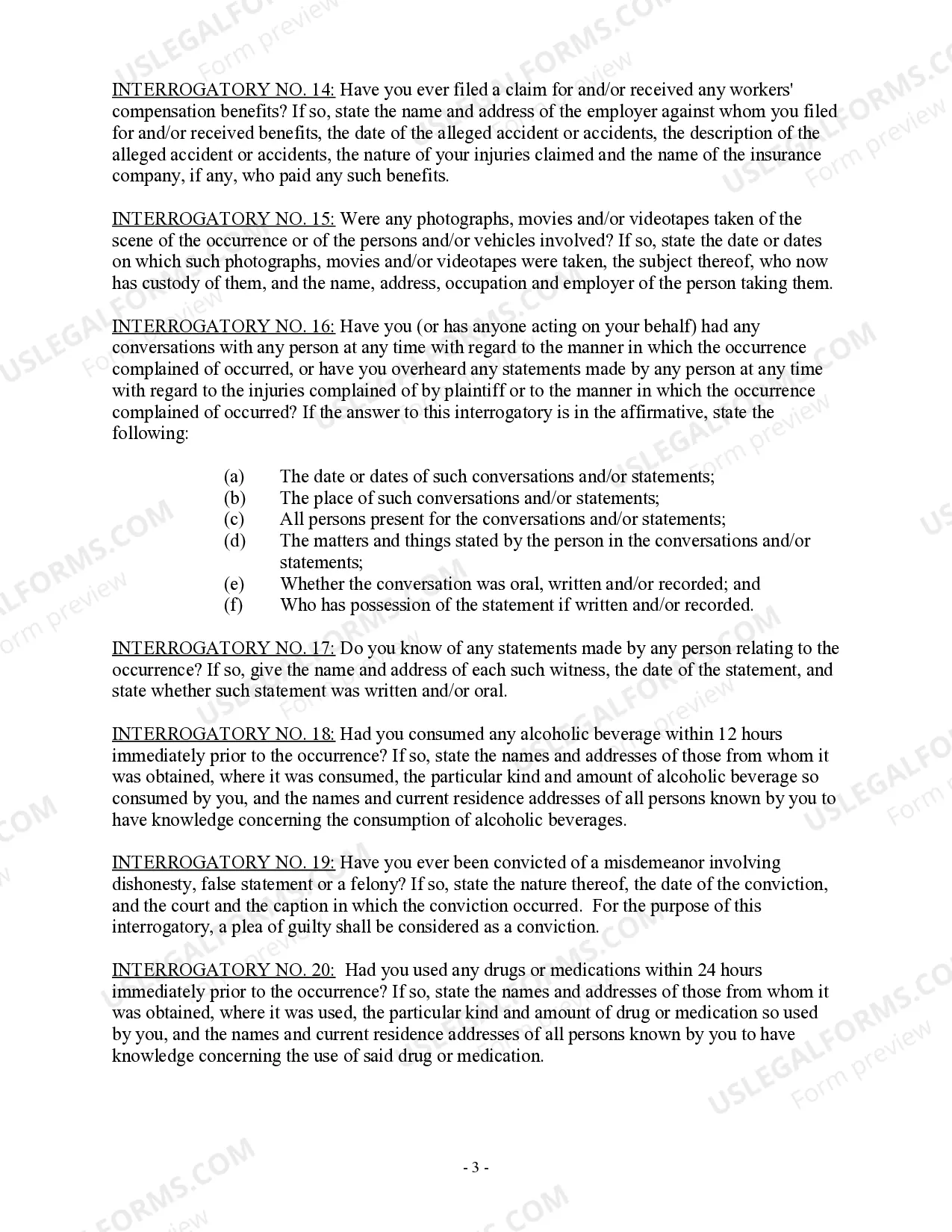
The Interrogatories to Plaintiff for Motor Vehicle Occurrence is a legal document that allows a defendant to request information from a plaintiff regarding a vehicle incident, such as an automobile accident. This form consists of a set of 28 interrogatories designed to gather necessary details about the plaintiff's claims, injuries, and other related matters, ensuring a thorough understanding of the case. It is distinct from other forms due to its focus on specific inquiries directed at the plaintiff for the purpose of discovery in litigation.
This form should be used when a defendant requires detailed answers from a plaintiff connected to a motor vehicle incident. It is particularly valuable in scenarios involving automobile accidents where the defendant seeks information to prepare a defense, evaluate claims, or reach a settlement. It may also be utilized during the pre-trial discovery phase, facilitating the exchange of pertinent information to help clarify the circumstances surrounding the incident.
This form is intended for legal professionals, defendants in vehicle-related lawsuits, and their legal representatives. It is also suitable for plaintiffs who need a reference when responding to interrogatories. Specifically, it can be utilized by those involved in litigation resulting from personal injuries, damages, or disputes tied to automobile accidents.
In most cases, this form does not require notarization. However, some jurisdictions or signing circumstances might. US Legal Forms offers online notarization powered by Notarize, accessible 24/7 for a quick, remote process.
Our built-in tools help you complete, sign, share, and store your documents in one place.
Make edits, fill in missing information, and update formatting in US Legal Forms—just like you would in MS Word.
Download a copy, print it, send it by email, or mail it via USPS—whatever works best for your next step.
Sign and collect signatures with our SignNow integration. Send to multiple recipients, set reminders, and more. Go Premium to unlock E-Sign.
If this form requires notarization, complete it online through a secure video call—no need to meet a notary in person or wait for an appointment.
We protect your documents and personal data by following strict security and privacy standards.

Make edits, fill in missing information, and update formatting in US Legal Forms—just like you would in MS Word.

Download a copy, print it, send it by email, or mail it via USPS—whatever works best for your next step.

Sign and collect signatures with our SignNow integration. Send to multiple recipients, set reminders, and more. Go Premium to unlock E-Sign.

If this form requires notarization, complete it online through a secure video call—no need to meet a notary in person or wait for an appointment.

We protect your documents and personal data by following strict security and privacy standards.
Criminal Rule 59 deals with motions for a new trial in criminal cases. This rule provides structure for defendants who wish to contest convictions or sentences based on errors during trial. In matters involving Delaware Interrogatories to Plaintiff for Motor Vehicle Occurrence, understanding this rule can be essential for those seeking remedies following a conviction. It ensures that defendants have a clear path to request a review of their case under specific circumstances.
A Rule 59 E motion refers to a specific request for the court to alter or amend its judgment. This type of motion is filed within a designated timeframe and focuses on rectifying errors, which can greatly impact cases like Delaware Interrogatories to Plaintiff for Motor Vehicle Occurrence. By leveraging this motion, parties can seek justice and potentially change the outcome based on new evidence or considerations that the court may have missed.
Rule 59 of the Rules of Civil Procedure outlines the process for motions for a new trial or to alter or amend a judgment. This rule is significant for parties seeking to address errors in court decisions, particularly in cases involving Delaware Interrogatories to Plaintiff for Motor Vehicle Occurrence. It allows for a structured approach to appeal directly after a judgment has been rendered, ensuring that fairness prevails in legal proceedings.
An example of an interrogatory for Delaware Interrogatories to Plaintiff for Motor Vehicle Occurrence could be: 'Please describe in detail the events leading up to the motor vehicle occurrence on date.' This type of question helps gather important facts and establishes a solid foundation for your case.
Answering a plaintiff's interrogatories, particularly Delaware Interrogatories to Plaintiff for Motor Vehicle Occurrence, involves providing honest and comprehensive answers. It is vital to address each section fully and reference relevant documents or evidence when possible. If you feel unsure, consulting a legal professional can be very beneficial.
To fill out an interrogatories form for Delaware Interrogatories to Plaintiff for Motor Vehicle Occurrence, start by entering personal and case information accurately. Follow with answering each interrogatory with precise details relevant to your case. If needed, US Legal Forms can provide the necessary templates and instructions for a seamless experience.
Writing good interrogatories requires clarity and precision. For Delaware Interrogatories to Plaintiff for Motor Vehicle Occurrence, focus on formulating questions that are direct and require detailed responses. This approach can help gather essential information effectively while minimizing ambiguity.
Filling out form interrogatories for Delaware Interrogatories to Plaintiff for Motor Vehicle Occurrence involves understanding the format and requirements of the forms. Begin by providing your contact information and case details at the top. Then, carefully read each question, providing complete answers that refer to the specifics of your case.
To properly answer Delaware Interrogatories to Plaintiff for Motor Vehicle Occurrence, read each question carefully. Provide clear and concise responses based on truthful information, while ensuring you include relevant details. If you're unsure about how to respond, consider consulting with a legal professional or utilizing resources like US Legal Forms for guidance.
Rule 33 in the Delaware Superior Court focuses specifically on written interrogatories, enabling one party to question another about specific facts. This rule is a powerful approach for obtaining vital information, especially in cases related to Delaware Interrogatories to Plaintiff for Motor Vehicle Occurrence. Utilizing Rule 33 can greatly improve your case by clarifying essential details.