• US Legal Forms

District of Columbia Discovery Interrogatories for Divorce Proceeding for either Plaintiff or Defendant - Another Form

State:
District of Columbia
Control #:
DC-021B-D
Format:
Word; 
Rich Text
Instant download

Description

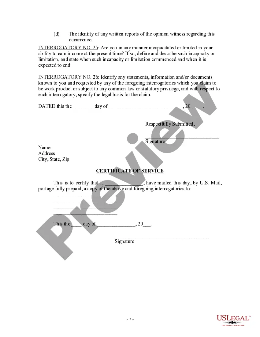
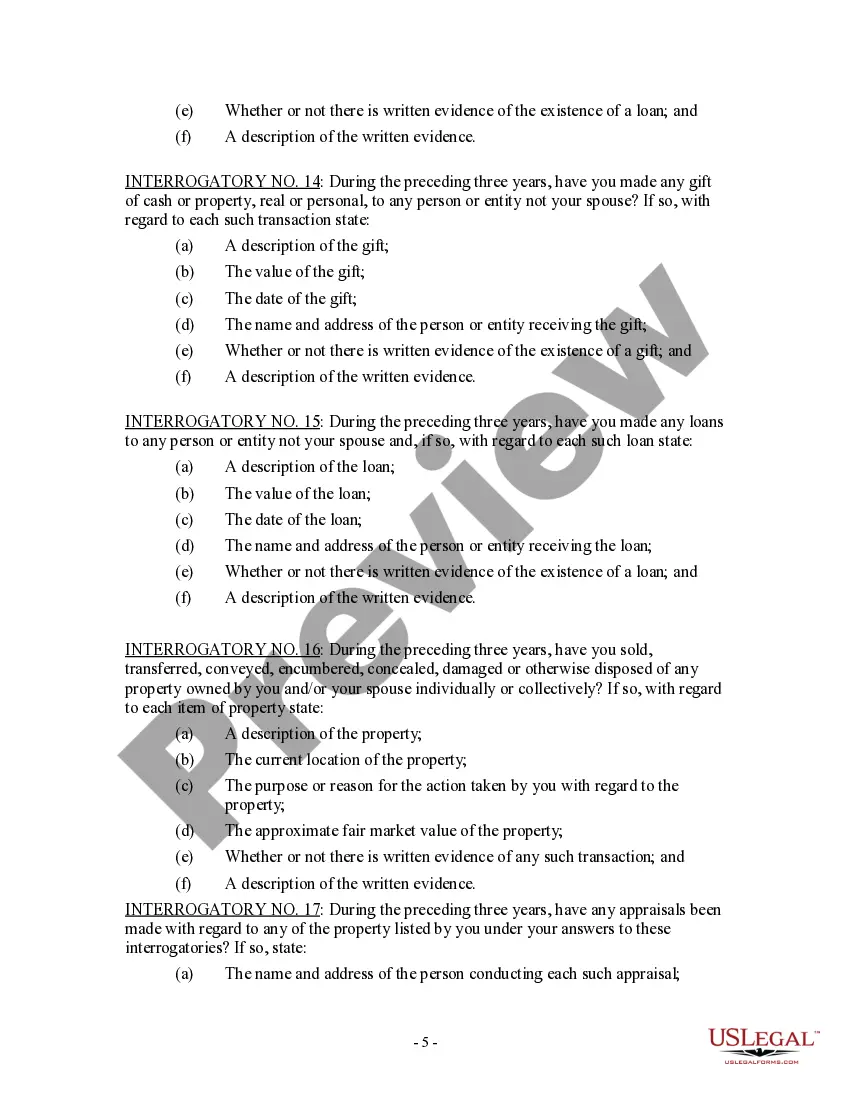
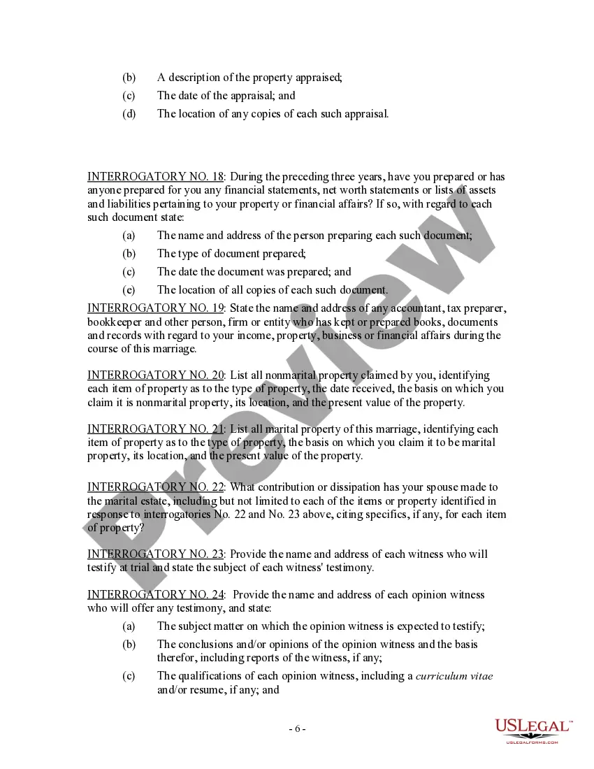
This is a sample form of interrogatories for the Plaintiff in a Divorce action to ask the Defendant. It also includes a request for production of documents. You should only use this form as a guide and delete questions not relevant to your case, as well as add questions you or your client want to ask the Defendant based upon the facts of your case. Includes Notice of Service of Interrogatories for filing with the court.

Free preview
  • Preview Discovery Interrogatories for Divorce Proceeding for either Plaintiff or Defendant - Another Form
  • Preview Discovery Interrogatories for Divorce Proceeding for either Plaintiff or Defendant - Another Form
  • Preview Discovery Interrogatories for Divorce Proceeding for either Plaintiff or Defendant - Another Form
  • Preview Discovery Interrogatories for Divorce Proceeding for either Plaintiff or Defendant - Another Form
  • Preview Discovery Interrogatories for Divorce Proceeding for either Plaintiff or Defendant - Another Form
  • Preview Discovery Interrogatories for Divorce Proceeding for either Plaintiff or Defendant - Another Form
  • Preview Discovery Interrogatories for Divorce Proceeding for either Plaintiff or Defendant - Another Form

Get your form ready online

Our built-in tools help you complete, sign, share, and store your documents in one place.

Built-in online Word editor

Make edits, fill in missing information, and update formatting in US Legal Forms—just like you would in MS Word.

Export easily

Download a copy, print it, send it by email, or mail it via USPS—whatever works best for your next step.

E-sign your document

Sign and collect signatures with our SignNow integration. Send to multiple recipients, set reminders, and more. Go Premium to unlock E-Sign.

Notarize online 24/7

If this form requires notarization, complete it online through a secure video call—no need to meet a notary in person or wait for an appointment.

Store your document securely

We protect your documents and personal data by following strict security and privacy standards.

Form selector

Make edits, fill in missing information, and update formatting in US Legal Forms—just like you would in MS Word.

Form selector

Download a copy, print it, send it by email, or mail it via USPS—whatever works best for your next step.

Form selector

Sign and collect signatures with our SignNow integration. Send to multiple recipients, set reminders, and more. Go Premium to unlock E-Sign.

Form selector

If this form requires notarization, complete it online through a secure video call—no need to meet a notary in person or wait for an appointment.

Form selector

We protect your documents and personal data by following strict security and privacy standards.

Looking for another form?

This field is required
Ohio
Select state

How to fill out District Of Columbia Discovery Interrogatories For Divorce Proceeding For Either Plaintiff Or Defendant - Another Form?

The greater the documentation you need to prepare - the more anxious you become.

You can obtain a vast number of District of Columbia Discovery Interrogatories for Divorce Proceedings for either Plaintiff or Defendant - Other Form templates online, yet you might not know which ones to rely on.

Eliminate the complications to make acquiring samples considerably easier using US Legal Forms.

Just click Buy Now to initiate the sign-up process and select a pricing option that suits your needs.

  1. Acquire expertly formulated documents that are structured to meet state requirements.
  2. If you already have a US Legal Forms membership, Log In to your account, and you will find the Download button on the page for the District of Columbia Discovery Interrogatories for Divorce Proceedings for either Plaintiff or Defendant - Other Form.
  3. If you haven't accessed our site previously, complete the registration process by following these steps.
  4. Verify if the District of Columbia Discovery Interrogatories for Divorce Proceedings for either Plaintiff or Defendant - Other Form is applicable in your state.
  5. Reconfirm your selection by reviewing the description or utilizing the Preview feature if it's available for the chosen document.

Form popularity

FAQ

If someone does not answer interrogatories, it can lead to significant complications and delays in the divorce process. The court may impose penalties or sanctions for failing to comply with the District of Columbia Discovery Interrogatories for Divorce Proceeding for either Plaintiff or Defendant - Another Form. If you find yourself in this situation, it's crucial to consult with a legal professional who can advise you on the next steps. They may suggest filing a motion to compel the other party to respond.

When answering questions in divorce court, clarity and honesty are paramount. Stick to the facts and refer back to the District of Columbia Discovery Interrogatories for Divorce Proceeding for either Plaintiff or Defendant - Another Form to guide your responses. Take your time to think before answering each question, ensuring you understand what is being asked. If you're unsure of a question, it's okay to ask for clarification to provide the best possible answer.

The best way to answer interrogatories is by providing clear, concise, and accurate information. While responding, always refer to the District of Columbia Discovery Interrogatories for Divorce Proceeding for either Plaintiff or Defendant - Another Form to ensure your answers align with legal requirements. Organize your responses logically and support them with documented evidence whenever possible. This approach not only strengthens your position but also builds credibility in court.

Rule 33 in D.C. court pertains to the discovery process, particularly focused on interrogatories. It allows parties to serve written questions on each other, which must be answered under oath. This procedure is critical in the context of the District of Columbia Discovery Interrogatories for Divorce Proceeding for either Plaintiff or Defendant - Another Form, as it helps both parties understand the relevant facts of the case. Familiarizing yourself with these rules can enhance your readiness for the divorce proceedings.

To answer interrogatories for divorce, you should first thoroughly read each question. Next, draft your responses, ensuring you provide accurate and complete information according to the District of Columbia Discovery Interrogatories for Divorce Proceeding for either Plaintiff or Defendant - Another Form. It's important to be honest and straightforward, as misleading answers can have serious consequences. After completing your answers, review them carefully for clarity and completeness.

Answering interrogatories in a divorce case requires honesty and detail. You should refer to the District of Columbia Discovery Interrogatories for Divorce Proceeding for either Plaintiff or Defendant - Another Form and provide thorough answers to each question. It helps to keep records and documents handy, which can substantiate your responses, making the process more efficient and effective.

Interrogatories often include questions about personal history, finances, or children involved in a divorce. For the District of Columbia Discovery Interrogatories for Divorce Proceeding for either Plaintiff or Defendant - Another Form, expect inquiries that clarify circumstances surrounding the marriage and details that could affect settlement or custody arrangements. These questions aim to gather pertinent facts to support the legal process.

To properly answer interrogatories, approach each question with careful consideration of its relevance to the case. In the District of Columbia Discovery Interrogatories for Divorce Proceeding for either Plaintiff or Defendant - Another Form, your responses should be factual and concise. Always check for completeness and accuracy before submitting your answers, as they can significantly impact your case.

Formatting your answers to interrogatories requires clarity and organization. Begin by restating the question before giving your response to keep everything clear. In the context of the District of Columbia Discovery Interrogatories for Divorce Proceeding for either Plaintiff or Defendant - Another Form, ensure that answers are straightforward and numbered to match the corresponding questions for easy reference.

Filling out an interrogatories form involves providing specific details and answering questions regarding your case. In the District of Columbia Discovery Interrogatories for Divorce Proceeding for either Plaintiff or Defendant - Another Form, ensure you read each question carefully and respond accurately. If you encounter complicated questions, consider using legal resources or platforms like uslegalforms which offer guided assistance.

Trusted and secure by over 3 million people of the world’s leading companies

District of Columbia Discovery Interrogatories for Divorce Proceeding for either Plaintiff or Defendant - Another Form