• US Legal Forms

California Real Estate Assumption Agreement with Instruction Sheet

State:
California
Control #:
CA-RE-A-10101-1
Format:
Word; 
Rich Text
Instant download

Description

This is a sample Real Estate Assumption Agreement with Instruction Sheet. An assumption clause is a provision in a mortgage contract that allows the seller of a home to pass responsibility for the existing mortgage to the buyer of the property. The new homeowner assumes the existing mortgage and—along with it—ownership of the property that secures the loan. The form may be customized to suit your needs.

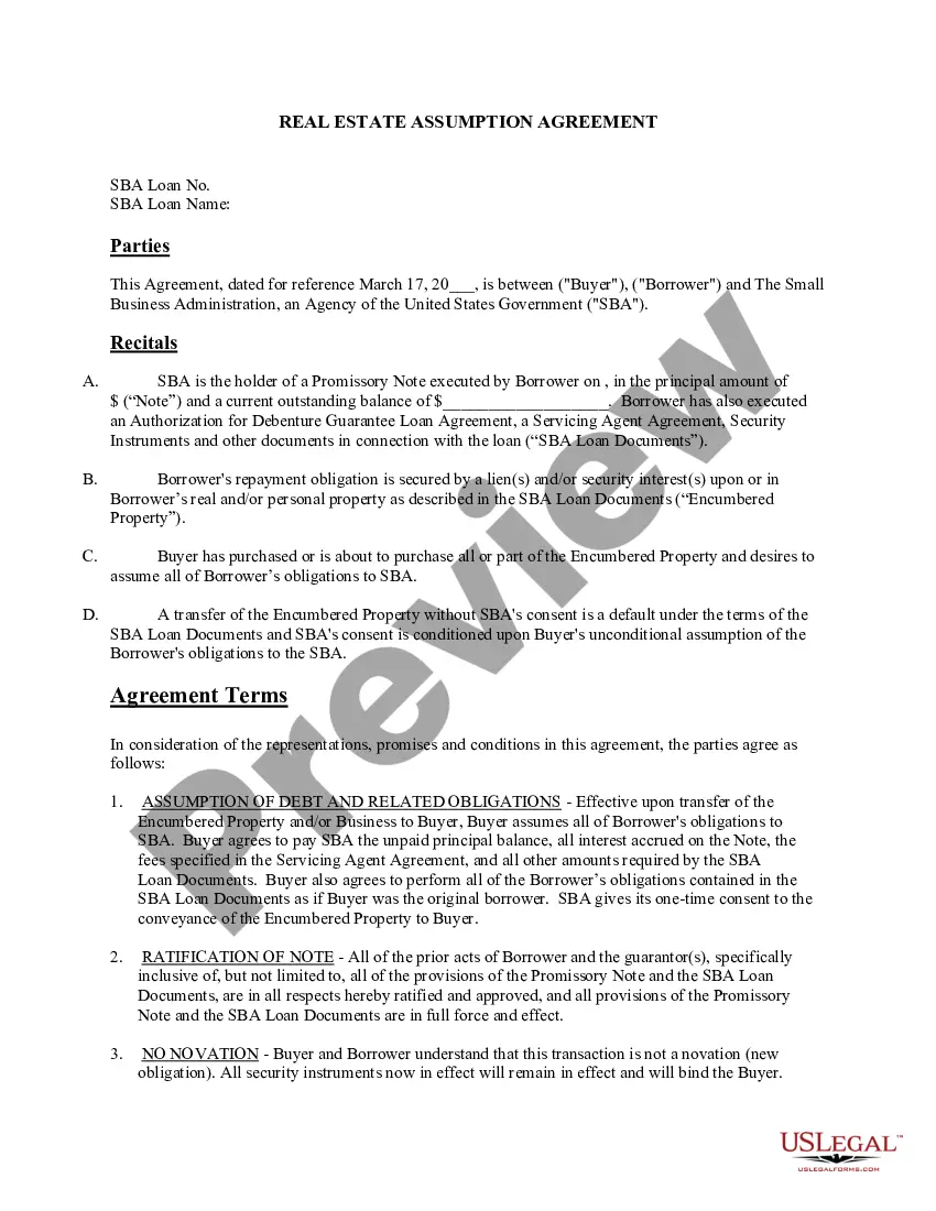
California Real Estate Assumption Agreement with Instruction Sheet is a document used when the current owner of a property transfers the ownership of the property to a new owner. This document includes an agreement between the parties that outlines the new owner's responsibility for the existing mortgage debt. The document also includes instructions on how to fill out the forms and instructions for filing the forms with the appropriate governmental entity. There are two types of California Real Estate Assumption Agreement with Instruction Sheet: 1) California Residential Property Assumption Agreement with Instruction Sheet — This document is used when the new owner is assuming the existing mortgage debt on a residential property. The agreement outlines the terms of the assumption, such as the amount of the debt and the monthly payments. 2) California Commercial Property Assumption Agreement with Instruction Sheet — This document is used when the new owner is assuming the existing mortgage debt on a commercial property. The agreement outlines the terms of the assumption, such as the amount of the debt and the monthly payments. It also includes additional information specific to commercial properties, such as the type of lease and any additional fees or taxes. The Instruction Sheet provides step-by-step instructions on how to fill out the forms and submit them to the appropriate governmental entity. It also includes information on any additional documents that may be required, such as a copy of the deed or proof of insurance.

Free preview
  • Preview Real Estate Assumption Agreement with Instruction Sheet
  • Preview Real Estate Assumption Agreement with Instruction Sheet
  • Preview Real Estate Assumption Agreement with Instruction Sheet
  • Preview Real Estate Assumption Agreement with Instruction Sheet
  • Preview Real Estate Assumption Agreement with Instruction Sheet
  • Preview Real Estate Assumption Agreement with Instruction Sheet
  • Preview Real Estate Assumption Agreement with Instruction Sheet
  • Preview Real Estate Assumption Agreement with Instruction Sheet

How to fill out California Real Estate Assumption Agreement With Instruction Sheet?

How much time and resources do you usually spend on composing formal paperwork? There’s a greater way to get such forms than hiring legal specialists or wasting hours searching the web for an appropriate blank. US Legal Forms is the premier online library that offers professionally drafted and verified state-specific legal documents for any purpose, including the California Real Estate Assumption Agreement with Instruction Sheet.

To obtain and complete a suitable California Real Estate Assumption Agreement with Instruction Sheet blank, adhere to these simple instructions:

  1. Look through the form content to make sure it meets your state requirements. To do so, check the form description or utilize the Preview option.
  2. If your legal template doesn’t meet your requirements, locate a different one using the search tab at the top of the page.
  3. If you already have an account with us, log in and download the California Real Estate Assumption Agreement with Instruction Sheet. Otherwise, proceed to the next steps.
  4. Click Buy now once you find the right document. Choose the subscription plan that suits you best to access our library’s full opportunities.
  5. Register for an account and pay for your subscription. You can make a transaction with your credit card or via PayPal - our service is totally safe for that.
  6. Download your California Real Estate Assumption Agreement with Instruction Sheet on your device and complete it on a printed-out hard copy or electronically.

Another benefit of our service is that you can access previously downloaded documents that you securely store in your profile in the My Forms tab. Obtain them at any moment and re-complete your paperwork as often as you need.

Save time and effort preparing official paperwork with US Legal Forms, one of the most reliable web services. Join us today!

Form popularity

FAQ

Contracts, in general, are freely assignable, which means that either party can transfer its contractual obligations or rights to a third party. But sometimes contracts include anti-assignment clauses to limit or prohibit assignment.

4. Effective Date. The effective date of this Assumption Agreement shall be the date the Memorandum of Assumption Agreement is recorded in the Official Records.

Assignment and assumption agreements are analogous to bills of sale, except they effect the transfer of contracts, permits and similar assets by the seller to the buyer in an asset purchase transaction.

An assumption clause is a provision in a mortgage contract that allows the seller of a home to pass responsibility for the existing mortgage to the buyer of the property. In other words, the new homeowner assumes the existing mortgage and?along with it?ownership of the property that secures the loan.

The Letter of Assignment must include details about who is to take over the contractual obligations of the exiting party and when the transfer will take place. It must also be signed by both the incoming and outgoing parties.

An assignment and assumption agreement is used after a contract is signed, in order to transfer one of the contracting party's rights and obligations to a third party who was not originally a party to the contract.

A valid legal assignment only occurs when all underlying elements of a lawfully binding contract are included in it, including intent. A trial court can determine if an assignment has occurred. To prevent disputes or miscommunications, it's important that the subject matter is clearly identified in the assignment.

Also referred to as an assignment and assumption, an assignment and assumption agreement is an agreement that is established when one party of a contract wishes to transfer his or her contractual obligations and rights to another party.

Trusted and secure by over 3 million people of the world’s leading companies

California Real Estate Assumption Agreement with Instruction Sheet