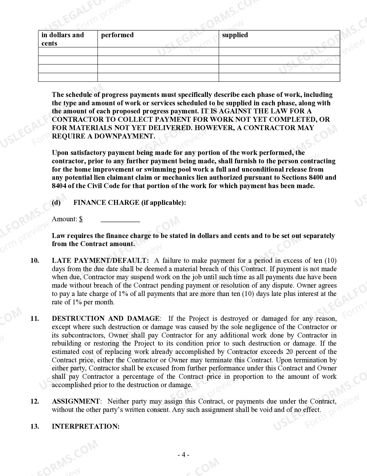
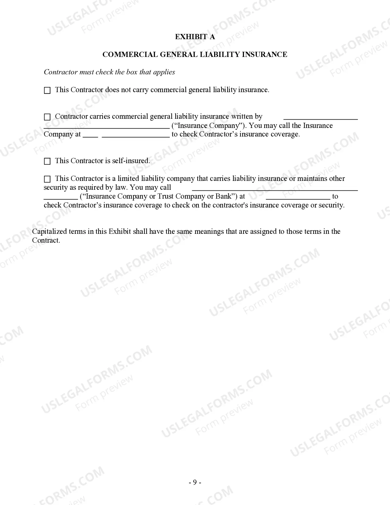
The Excavator Contract for Contractor is a legal agreement designed for use between excavator contractors and property owners. This contract provides clarity on both cost plus and fixed fee payment arrangements, ensuring that all parties understand their rights and responsibilities. It specifically addresses key issues such as change orders, work site information, warranties, and insurance to protect both the contractor and the owner. This form is tailored to comply with the laws of California, making it suitable for construction projects within the state.
This Excavator Contract should be used when a property owner hires a contractor for excavation, grading, or hauling services. It is applicable for both residential and commercial projects where clear terms regarding costs, project timelines, and responsibilities are essential. Use this contract to ensure legal coverage and clarity between all involved parties and to prevent misunderstandings about payment and project expectations.
Notarization is generally not required for this form. However, certain states or situations might demand it. You can complete notarization online through US Legal Forms, powered by Notarize, using a verified video call available anytime.
Our built-in tools help you complete, sign, share, and store your documents in one place.
Make edits, fill in missing information, and update formatting in US Legal Forms—just like you would in MS Word.
Download a copy, print it, send it by email, or mail it via USPS—whatever works best for your next step.
Sign and collect signatures with our SignNow integration. Send to multiple recipients, set reminders, and more. Go Premium to unlock E-Sign.
If this form requires notarization, complete it online through a secure video call—no need to meet a notary in person or wait for an appointment.
We protect your documents and personal data by following strict security and privacy standards.

Make edits, fill in missing information, and update formatting in US Legal Forms—just like you would in MS Word.

Download a copy, print it, send it by email, or mail it via USPS—whatever works best for your next step.

Sign and collect signatures with our SignNow integration. Send to multiple recipients, set reminders, and more. Go Premium to unlock E-Sign.

If this form requires notarization, complete it online through a secure video call—no need to meet a notary in person or wait for an appointment.

We protect your documents and personal data by following strict security and privacy standards.
Yes, in California, contracts exceeding $500 typically must be in writing to be enforceable. This requirement helps establish clarity and reduces misunderstandings between parties. A written contract also provides a legal record, which is particularly important for a California Excavator Contract for Contractor. Using uslegalforms can help you create a compliant written contract that meets all necessary legal standards.
The five primary requirements for a valid contract are offer, acceptance, consideration, capacity, and legality. An offer must be clear, while acceptance must be communicated effectively. Consideration involves exchanging something of value, and all parties must have the legal capacity to agree to the terms. In the context of a California Excavator Contract for Contractor, ensuring these elements are present is vital for enforceability.
In California, a valid contract must include an offer, acceptance, and consideration. Additionally, all parties involved must have the legal capacity to enter into the agreement. It is also crucial that the terms are clear and lawful. For contractors, understanding these requirements for a California Excavator Contract for Contractor can prevent disputes and ensure compliance.
The easiest contractor's license to obtain in California is typically the Class C license, particularly for small projects. This license allows contractors to work in specific areas, such as general building or specialty trades. If you're looking to engage in excavating projects, a California Excavator Contract for Contractor paired with the right license will help streamline your operations. Consider using platforms like USLegalForms to manage your contracts efficiently and ensure compliance.
The five essential elements of a construction contract include the scope of work, payment terms, timelines, dispute resolution processes, and termination clauses. Detailing these components helps ensure both parties understand their obligations. By using a California Excavator Contract for Contractor, you can easily include these critical elements and enhance your project's legal foundation.
Filling out an independent contractor agreement involves clearly stating the contractor's name and contact information. Define the services to be provided along with the payment terms, and include any applicable tax information. It’s also essential to address confidentiality and non-compete terms if needed. For guidance, consult a California Excavator Contract for Contractor to meet all necessary legal standards.
When writing construction contracts, avoid vague terms that can lead to disputes down the line. Do not overlook the importance of outlining payment schedules and timelines. Avoid using overly complex language, which may confuse the parties involved. Remember, a well-structured California Excavator Contract for Contractor will help you navigate these pitfalls effectively.
To write a contract for a contractor, focus on specifying the project details and expectations upfront. Include payment terms, deadlines, and the nature of the services provided. Be sure to incorporate legal protections for both parties. A California Excavator Contract for Contractor template covers all necessary components and helps prevent misunderstandings.
Writing up a contract starts with determining the purpose and parties involved. Clearly delineate the terms, including services, payment, and responsibilities. Utilize straightforward language to avoid confusion and ensure both parties understand their commitments. A California Excavator Contract for Contractor can guide you through each essential clause.
To draw up a contract for construction, first gather the essential details about the project and the parties involved. Clearly outline the work to be done, the timeline, and payment schedules. It is crucial to also include sections for change orders, warranties, and dispute resolution. Utilizing a California Excavator Contract for Contractor can streamline this process and ensure legal compliance.