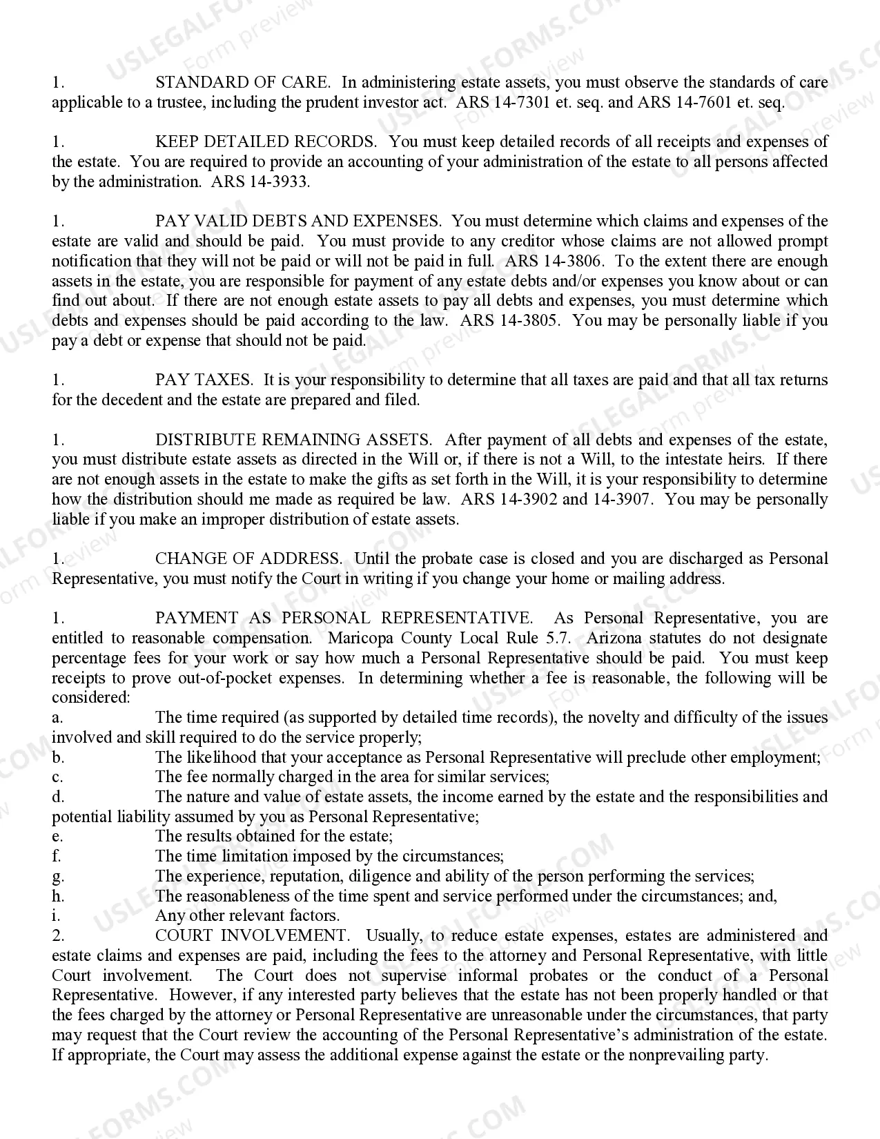
The Order to Personal Representatives is a legal document issued by a court that outlines the responsibilities of a Personal Representative in managing a deceased person's estate. It serves to guide the Personal Representative in fulfilling their duties, ensuring that they act in the best interests of the estate and its beneficiaries. This order is significant because it formally establishes the Personal Representative's authority and outlines the consequences of failing to comply with it, differentiating it from other estate management forms.
This form is used when a court appoints an individual as a Personal Representative to administer an estate. It is necessary following the death of an individual to outline the responsibilities this person must undertake, such as managing estate assets, notifying heirs, and ensuring that debts and taxes are settled properly. The Order to Personal Representatives is particularly important in formal probate proceedings where clear directives are needed for effective estate management.
This form does not typically require notarization unless specified by local law. However, it is recommended to consult with a legal professional to ensure compliance with any specific requirements related to the estate in question.
Our built-in tools help you complete, sign, share, and store your documents in one place.
Make edits, fill in missing information, and update formatting in US Legal Forms—just like you would in MS Word.
Download a copy, print it, send it by email, or mail it via USPS—whatever works best for your next step.
Sign and collect signatures with our SignNow integration. Send to multiple recipients, set reminders, and more. Go Premium to unlock E-Sign.
If this form requires notarization, complete it online through a secure video call—no need to meet a notary in person or wait for an appointment.
We protect your documents and personal data by following strict security and privacy standards.

Make edits, fill in missing information, and update formatting in US Legal Forms—just like you would in MS Word.

Download a copy, print it, send it by email, or mail it via USPS—whatever works best for your next step.

Sign and collect signatures with our SignNow integration. Send to multiple recipients, set reminders, and more. Go Premium to unlock E-Sign.

If this form requires notarization, complete it online through a secure video call—no need to meet a notary in person or wait for an appointment.

We protect your documents and personal data by following strict security and privacy standards.
In Arizona, the priority for appointment as a personal representative typically follows a specific order. First, the person named in the will has priority, followed by the surviving spouse, adult children, and other heirs. Understanding the Arizona Order to Personal Representatives will help you recognize your eligibility and the steps necessary to assume this vital responsibility.
To become a personal representative in Arizona, an individual must file a petition with the court. This process includes providing the deceased's will, if available, and notifying interested parties. The Arizona Order to Personal Representatives outlines the required steps, ensuring you are equipped to fulfill the responsibilities of this important role effectively.
To become a personal representative in Arizona, you need to apply to the probate court in the county where the deceased resided. This involves submitting a petition and being appointed by the court. While most people choose a family member, anyone can become a personal representative as long as they meet the legal requirements. If you're navigating this process, consider checking out the resources available at US Legal Forms to ensure you complete all necessary steps related to the Arizona Order to Personal Representatives.
Yes, an executor must provide an accounting of the estate to the beneficiaries in Arizona. This accounting should detail all financial transactions, including income, expenses, and distributions made during the administration of the estate. Transparency helps maintain trust among beneficiaries and is a vital aspect of fulfilling the responsibilities outlined in the Arizona Order to Personal Representatives. Resources from US Legal Forms can assist in creating proper accounting documents.
The primary duty of a personal representative in Arizona is to manage and settle the estate of the deceased person. This includes gathering assets, paying debts and taxes, and distributing the remaining property to beneficiaries according to the will or Arizona law. Keeping thorough records and maintaining transparency throughout the process is vital, especially when dealing with the Arizona Order to Personal Representatives. Utilizing resources from US Legal Forms can help representatives fulfill their roles effectively.
In Arizona, personal representatives typically have up to one year to settle an estate. However, this timeframe can vary based on the complexity of the estate and any disputes that may arise. It’s crucial for personal representatives to navigate the Arizona Order to Personal Representatives diligently to ensure all tasks, such as paying debts and distributing assets, are completed efficiently. Consider seeking assistance from professionals or platforms like US Legal Forms to understand the process better.
Personal Representatives is the collective name for either Executors or Administrators. Personal Representatives of someone who made a valid Will are called Executors. If someone dies without a Will (intestate) then the people in charge of their estate are called Adminstrators.
Q: How Long Does an Executor Have to Distribute Assets From a Will? A: Dear Waiting: In most states, a will must be executed within three years of a person's death.
Generally speaking, a Personal Representative is responsible for opening the estate, collecting the assets of the estate, protecting the estate property, preparing an inventory of the property, paying various estate expenses, valid claims (including debts and taxes) against the estate, representing the estate in claims
That person (it could be one or more individuals, a bank or trust company, or both) who acts for, or stands in the shoes of, the deceased is generally called the personal representative. If the decedent dies testate that is, with a Will an Executor is appointed as the personal representative.