Motion To Compel Discovery Texas Pdf For Civil Procedure

State:
Texas
Control #:
TX-G0059
Format:
PDF
Instant download
This form is available by subscription

Description

The Motion to Compel Discovery Texas PDF for civil procedure is a legal form that enables parties in a civil case to request the court to order the opposing party to respond to discovery requests. This form is essential for attorneys and legal professionals seeking to ensure compliance with the discovery process, which is critical for gathering evidence. Key features include sections for outlining the specific discovery requests not responded to, stating the reasons why the court's intervention is necessary, and providing supporting details about previous correspondence regarding those requests. To fill out the form, users should clearly identify the parties involved, describe the nature of the discovery sought, and attach any relevant documentation. This form caters specifically to attorneys, partners, owners, associates, paralegals, and legal assistants involved in litigation, ensuring they can efficiently compel necessary information. Each group may find utility in this form: attorneys will use it for comprehensive case preparation, paralegals can assist in gathering and organizing evidence, and associates may rely on it for academic and practical training in civil procedure. The form's straightforward design makes it accessible for users with varying levels of legal experience, while still maintaining the necessary legal clarity.
Free preview
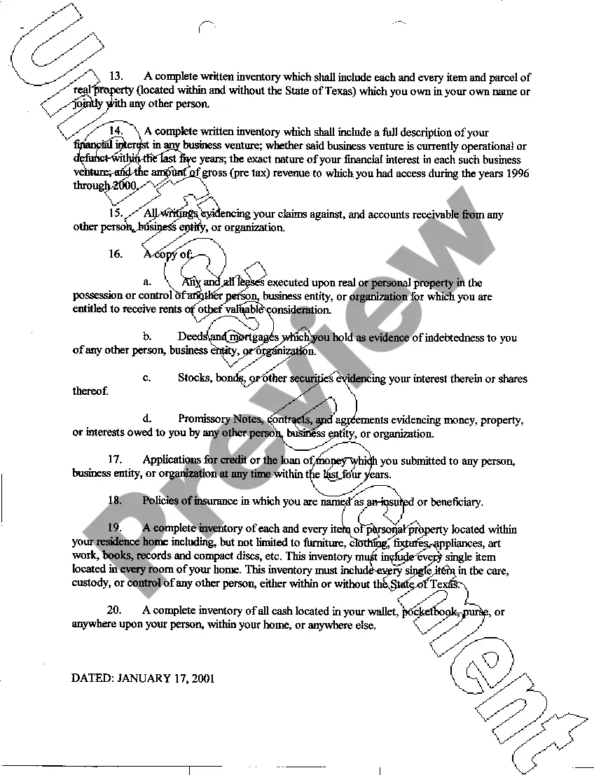
  • Preview A05 Motion To Compel Discovery
  • Preview A05 Motion To Compel Discovery
  • Preview A05 Motion To Compel Discovery
  • Preview A05 Motion To Compel Discovery
  • Preview A05 Motion To Compel Discovery
  • Preview A05 Motion To Compel Discovery
  • Preview A05 Motion To Compel Discovery
  • Preview A05 Motion To Compel Discovery
  • Preview A05 Motion To Compel Discovery
  • Preview A05 Motion To Compel Discovery
  • Preview A05 Motion To Compel Discovery

How to fill out Texas Motion To Compel Discovery?

Individuals often connect legal documents with intricacy that only an expert can manage.

In a sense, this is accurate, as creating Motion To Compel Discovery Texas Pdf For Civil Procedure necessitates significant knowledge of subject criteria, including state and county laws.

Nevertheless, with US Legal Forms, the process has become simpler: readily available legal templates for any life and business event tailored to state regulations are compiled in one online repository and are now accessible to all.

All templates in our collection are reusable: once obtained, they remain saved in your profile. You can access them whenever necessary through the My documents tab. Experience all advantages of utilizing the US Legal Forms platform. Subscribe today!

  1. US Legal Forms provides over 85,000 current forms categorized by state and area of usage, allowing you to search for Motion To Compel Discovery Texas Pdf For Civil Procedure or any other specific template in just moments.
  2. Previously registered users with an active membership should Log In to their account and click Download to retrieve the document.
  3. New users to the site will initially need to create an account and subscribe before they can preserve any paperwork.
  4. Here is the step-by-step guide on how to acquire the Motion To Compel Discovery Texas Pdf For Civil Procedure.
  5. Review the page details carefully to verify it meets your requirements.
  6. Read the form description or review it through the Preview feature.
  7. Search for another sample using the Search field in the header if the former one does not fit your needs.
  8. Click Buy Now once you find the appropriate Motion To Compel Discovery Texas Pdf For Civil Procedure.
  9. Choose a subscription plan that meets your preferences and financial plan.
  10. Sign up for an account or Log In to move to the payment page.
  11. Make payment for your subscription via PayPal or with your credit card.
  12. Select the format for your sample and click Download.
  13. Print your document or upload it to an online editor for faster completion.

Form popularity

FAQ

You should file a motion to compel discovery in Texas when the opposing party fails to provide the requested documents or evidence within the designated response time. This motion serves as a legal means to enforce compliance with discovery rules. It is a critical step in ensuring you have the information necessary for your case. Leverage the motion to compel discovery Texas pdf for civil procedure to help guide your filing during this timeline.

Yes, any party involved in a legal case can file a motion for discovery. However, it is crucial to have valid grounds for the request, such as the need for documents or evidence that may impact the case outcome. Utilizing tools like the motion to compel discovery Texas pdf for civil procedure can guide you through filing to ensure you meet all criteria and proper procedures.

Requesting discovery in Texas generally begins with drafting a request for production of documents, interrogatories, or admissions. You must serve these requests on the opposing party, allowing them a specific period to respond. If they fail to comply, you may then file a motion to compel discovery. The motion to compel discovery Texas pdf for civil procedure offers a structured approach to ensure all requirements are met during this process.

Writing a motion to compel discovery involves clearly stating your request and the reasons you seek that information. You should outline the specific documents or evidence you need from the other party, along with the relevance to your case. Additionally, including references to applicable rules or statutes can strengthen your motion. Using the motion to compel discovery Texas pdf for civil procedure can provide a helpful format to ensure compliance with local requirements.

A motion for discovery is a formal request made to the court to obtain evidence from the other party. For instance, if you want to access documents related to a contract dispute, you can file a motion to compel discovery. This request ensures you receive necessary information to prepare your case properly. You can find templates and resources for this process, including the motion to compel discovery Texas pdf for civil procedure.

Winning a motion to compel requires clarity and thorough preparation. Make sure to gather all relevant documents and evidence that demonstrate your need for the requested information. You can leverage the Motion to compel discovery Texas PDF for civil procedure as a guiding resource to ensure compliance with local rules and requirements. With a well-supported argument and the right evidence, you improve your chances significantly to convince the court.

To draft an effective motion to compel discovery, begin by clearly stating the facts of the case and the specific discovery requests that have been ignored or inadequately responded to. Include a reference to the relevant laws, including guidelines from the Motion to compel discovery Texas PDF for civil procedure, which can help strengthen your argument. Additionally, provide supporting evidence to demonstrate why the information is necessary for your case. This structured approach will help clarify your position and enhance your motion.

A motion to compel can be denied for several reasons, often related to insufficient evidence or improper procedure. If the court finds that the information sought is not relevant, or if it believes that a party has made a reasonable effort to comply with discovery requests, it may deny the motion. Furthermore, if the motion does not comply with the requirements specified in the Motion to compel discovery Texas PDF for civil procedure, it stands a higher chance of rejection. Always ensure your motion is well-prepared to avoid pitfalls.

The rule of Civil Procedure that governs motions to compel discovery in Texas is primarily found in Rule 37. This rule allows parties to seek court intervention when another party fails to comply with discovery requests. It ensures that justice is served by requiring full and honest disclosure of pertinent information. For comprehensive understanding, the 'motion to compel discovery Texas pdf for civil procedure' serves as an excellent learning tool.

The purpose of a motion to compel discovery is to obtain crucial information or evidence that one party believes another party is withholding. This legal tool prevents parties from evading their discovery obligations, promoting transparency in civil litigation. Filing this motion can help streamline the process and lead to a more informed trial. For effective drafting, consult the 'motion to compel discovery Texas pdf for civil procedure' for additional guidance.

Trusted and secure by over 3 million people of the world’s leading companies

Motion To Compel Discovery Texas Pdf For Civil Procedure