Lady Bird Deed South Carolina Form Cl-1

State:
South Carolina
Control #:
SC-025-78
Format:
Word; 
Rich Text
Instant download

Description

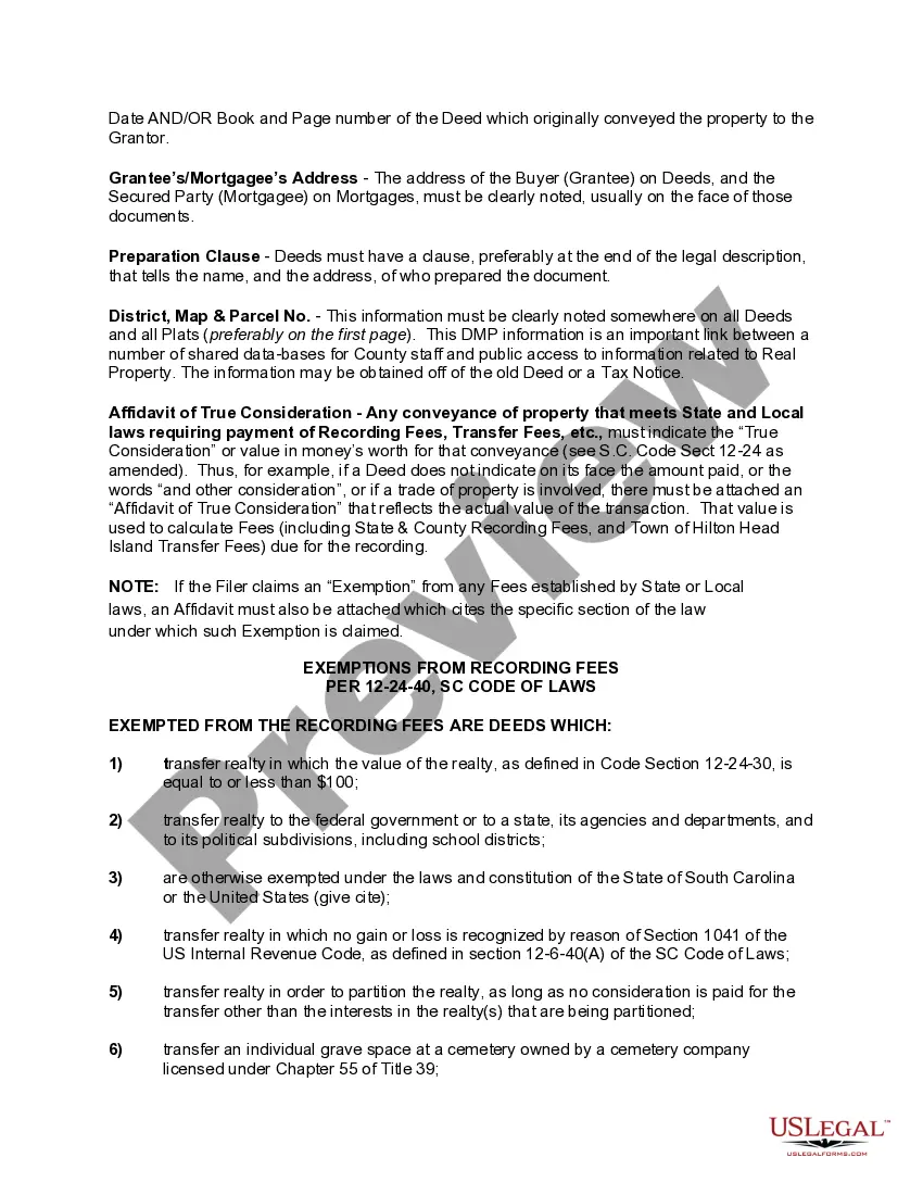
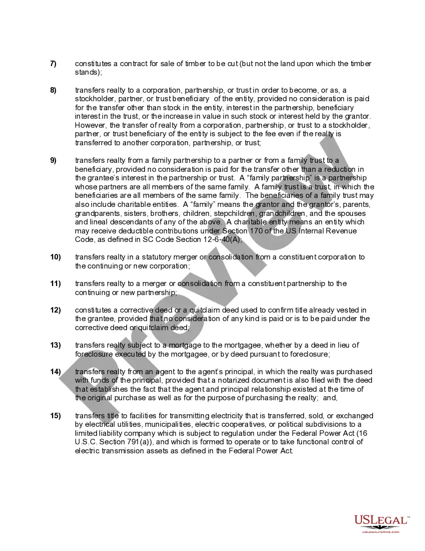
The Lady Bird Deed South Carolina Form CL-1 is an essential legal document used to create an enhanced life estate in property. This deed allows a property owner (Grantor) to transfer their property to another individual (Grantee) while retaining the right to utilize the property during their lifetime. Key features include the retention of full rights by the Grantor, such as the ability to sell or mortgage the property without the consent of the remainderman. The form includes specific instructions for filling out and filing, including the need for original signatures in blue ink and notarization by a licensed Notary Public. It also requires a legal description of the property, details on the involved parties, and potentially an Affidavit of True Consideration. This form is particularly useful for individuals looking to manage their estate and property transfer effectively while ensuring their continued control over the property. Attorneys, partners, owners, associates, paralegals, and legal assistants can leverage this document for estate planning purposes, facilitating smoother transitions and reducing complications in inheritance disputes.
Free preview
  • Preview Enhanced Life Estate or Lady Bird Warranty Deed from Individual to Individual
  • Preview Enhanced Life Estate or Lady Bird Warranty Deed from Individual to Individual
  • Preview Enhanced Life Estate or Lady Bird Warranty Deed from Individual to Individual
  • Preview Enhanced Life Estate or Lady Bird Warranty Deed from Individual to Individual
  • Preview Enhanced Life Estate or Lady Bird Warranty Deed from Individual to Individual
  • Preview Enhanced Life Estate or Lady Bird Warranty Deed from Individual to Individual
  • Preview Enhanced Life Estate or Lady Bird Warranty Deed from Individual to Individual
  • Preview Enhanced Life Estate or Lady Bird Warranty Deed from Individual to Individual
  • Preview Enhanced Life Estate or Lady Bird Warranty Deed from Individual to Individual
  • Preview Enhanced Life Estate or Lady Bird Warranty Deed from Individual to Individual
  • Preview Enhanced Life Estate or Lady Bird Warranty Deed from Individual to Individual

How to fill out South Carolina Enhanced Life Estate Or Lady Bird Warranty Deed From Individual To Individual?

Accessing legal documents that adhere to federal and state regulations is vital, and the web provides countless choices to select from.

But what’s the use of spending time searching for the appropriate Lady Bird Deed South Carolina Form Cl-1 example online if the US Legal Forms digital library already has those documents gathered in one spot.

US Legal Forms is the largest online legal repository with over 85,000 editable templates prepared by attorneys for any professional and personal situation.

Review the template using the Preview option or via the textual description to confirm it meets your requirements.

  1. They are simple to navigate with all documents categorized by state and intended use.
  2. Our experts stay updated on legislative changes, so you can always trust your paperwork is current and compliant when obtaining a Lady Bird Deed South Carolina Form Cl-1 from our site.
  3. Acquiring a Lady Bird Deed South Carolina Form Cl-1 is quick and straightforward for both existing and new users.
  4. If you already have an account with an active subscription, Log In and store the document sample you need in the correct format.
  5. If you are new to our platform, follow these steps.

Form popularity

FAQ

Transferring a property title to a family member in South Carolina typically involves executing a deed, such as a Lady Bird deed. You will fill out the required forms, which may include the Lady bird deed South Carolina form CL-1, and record the deed at your local county office. It's advisable to consult with an attorney or use a platform like US Legal Forms to ensure that all steps are correctly followed.

Following the American Revolution, in 1790 the new state incorporated as the "State of Rhode Island and Providence Plantations". However, as matter of convenience, the state came to be commonly known as simply "Rhode Island".

What is the term of protection of copyright? The general rule is that copyright lasts for 60 years. In the case of original literary, dramatic, musical and artistic works the 60-year period is counted from the year following the death of the author.

47 Fascinating Facts About Rhode Island Rhode Island is the smallest US state. Until 2020 it had the longest state name. ... Despite its diminutive size, Newport has over 400 miles of coastline. Rhode Island is one of the original US colonies. ... Rhode Island is surrounded by Connecticut, Massachusetts, and New York.

It's no wonder then that Rhode Island is most know for beaches, sailing, seafood, and cute coastal towns. But as one of the thirteen original colonies, R.I. also has a deep colonial history and is home to a number of colleges and universities, including one ivy league.

Rhode Island was the first colony in America to declare independence on , a full two months before the United States Declaration of Independence. Rhode Islanders had attacked the British warship HMS Gaspee in 1772 as one of the first acts of war leading to the American Revolution.

Rhode Island was the last of the original thirteen colonies to become a state. Rhode Island shares a state water border with New York. The Cogswell Tower in Central Falls was the site of an Indian observation point in use during King Phillips War in 1676.

The early 1700s was a period of prosperity for Rhode Island. Farming and sea trading became profitable businesses. Providence and Newport were among the busiest ports in the New World. Despite making profits from the slave trade, Rhode Island was the first colony to prohibit the importation of slaves.

Rhode Island Colony Facts The Rhode Island Colony was Founded in 1636. ... It was Created with a Policy of Religious Tolerance. ... Providence was the colony's Largest City and Capital. ... It was the Thirteenth and Final colony to Ratify the Constitution.

Trusted and secure by over 3 million people of the world’s leading companies

Lady Bird Deed South Carolina Form Cl-1