North Carolina No-Fault Agreed Uncontested Divorce Package for Dissolution of Marriage for Persons with No Children with or without Property and Debts
Divorce - State Law Summary - North Carolina
Notes: This law summary is not intended to be an all-inclusive summary of the laws of divorce in North Carolina, but does include basic and other procedures.
Grounds
A divorce may be granted in North Carolina based upon the incurable insanity or mental illness of one of the spouses, or upon the parties living separate and apart for a period of one year without cohabitation. 50-5.1, 50-6
Residency requirements
At least one of the parties to the action for divorce must have resided in the State of North Carolina for at least six months immediately prior to the institution of the action for divorce. 50-5.1, 50-6
Venue
An action for divorce may be filed in the county where either party resides. 50-3
Name of court and title of action/parties
A Complaint for divorce is filed in either the Superior or District Court. The title of the action initiating the divorce proceeding is the Complaint for Divorce, while the title of the action granting the divorce is the Decree of Divorce. The party filing the action for divorce is the Plaintiff, while the other party to the action is referred to as the Defendant.
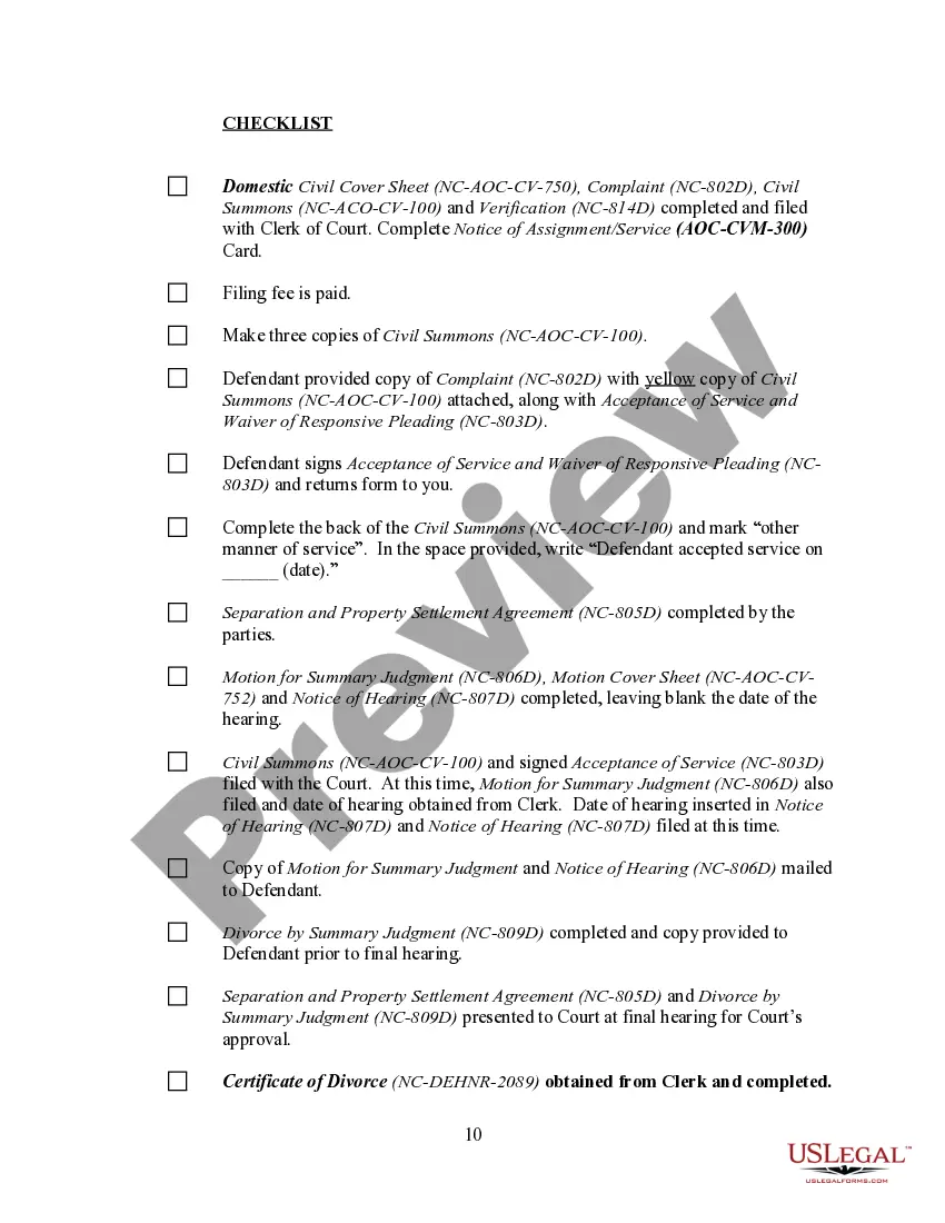
Simplified divorce procedure
If the parties are seeking a divorce based upon the parties having lived separate and apart without cohabitation for a period of at least one year, and the parties have agreed to all terms of the divorce, leaving no issues to be decided by the court, the court may grant the divorce, finding all requisite facts from nontestimonial evidence presented by affidavit, verified motion or other verified pleading. It shall not be necessary to allege in the complaint that the grounds for divorce have existed for at least six months prior to the filing of the complaint.
A party seeking to obtain a divorce under this provision may, at any time after the expiration of 30 days from the commencement of the action or after service of a motion for summary judgment by the adverse party, move with or without supporting affidavits for a summary judgment in his favor upon all or any part thereof. The motion shall be served at least 10 days before the time fixed for the hearing. The adverse party may serve opposing affidavits at least two days before the hearing. If the opposing affidavit is not served on the other parties at least two days before the hearing on the motion, the court may continue the matter for a reasonable period to allow the responding party to prepare a response, proceed with the matter without considering the untimely served affidavit, or take such other action as the ends of justice require. For the purpose of this two-day requirement only, service shall mean personal delivery, facsimile transmission, or other means such that the party actually receives the affidavit within the required time. The judgment sought shall be rendered forthwith if the pleadings, depositions, answers to interrogatories, and admissions on file, together with the affidavits, if any, show that there is no genuine issue as to any material fact and that any party is entitled to a judgment as a matter of law.
Supporting and opposing affidavits shall be made on personal knowledge, shall set forth such facts as would be admissible in evidence, and shall show affirmatively that the affiant is competent to testify to the matters stated therein. Sworn or certified copies of all papers or parts thereof referred to in an affidavit shall be attached thereto or served therewith. The court may permit affidavits to be supplemented or opposed by depositions, answers to interrogatories, or further affidavits. When a motion for summary judgment is made and supported as provided in this rule, an adverse party may not rest upon the mere allegations or denials of his pleading, but his response, by affidavits or as otherwise provided in this rule, must set forth specific facts showing that there is a genuine issue for trial. If he does not so respond, summary judgment, if appropriate, shall be entered against him. 50-10, G.S..1A-1, Rule 56
Legal separation
The court may grant a judgement of separation from bed and board (legal separation) on the following grounds:
1. Abandonment of spouse or family;
2. Maliciously turning the other spouse out of doors;
3. Cruel or barbarous treatment endangering the life of the other;
4. Personal indignities rendering condition of other spouse intolerable and life burdensome;
5. Excessive abuse of alcohol or drugs;
6. Adultery. 50-7
Alimony
Either party may be awarded alimony upon a finding that the party seeking alimony is dependant upon the other party for support and such an award would be equitable. Fault of the parties as it pertains to adultery during the marriage is considered when awarding alimony. Other factors the court will consider in determining the amount and duration of an award of alimony include:
1. Marital misconduct;
2. Relative earnings and earning capacities of the parties;
3. The ages, physical, mental and emotional health of the parties;
4. The amount and sources of income of both spouses;
5. The duration of the marriage;
6. The contribution of one spouse to the education, training or increased earning power of the other spouse;
7. The extent that serving as a child's custodian will affect a party's earning power, etc.;
8. The standard of living established during the marriage;
9. The relative education of the parties and the time necessary for a party to acquire sufficient education or training to meet his or her reasonable needs;
10. The relative assets and liabilities of the parties;
11. Any other relevant factor. 50-16.3A
Property division
The court shall divide the marital property equally between the parties unless the court determines that such a division is not equitable. Factors the court will consider in dividing the marital property between the parties include:
1.The income, property, and liabilities of the parties;
2. Any obligation for support from a previous marriage;
3.The duration of the marriage and the age, physical and mental health of the parties;
4.The needs of the custodial parent;
5.The expectation of pension, retirement or other deferred compensation rights that are not marital property;
6. The contribution to the decation or earning potential of the other spouse;
7. Any other factor the court deems just and proper.
Mediation
Whenever the court determines that custody is a contested issue in a divorce proceeding, the court shall order the parties to participate in a mediation program if one is available to the parties.
The purpose of mediation is to:
1. Reduce acrimony that exists between the parties;
2. The development of custody and visitation agreements that are in the child's best interests;
3. To provide the parties with informed choices and to give the parties the responsibility for making decisions about custody and visitation;
4. To provide structured, confidential, non-adversarial setting to facilitate the resolution of disputes;
5. To reduce the relitigation of custody and visitation disputes. 50-13.1
Child custody
Custody will be determined according to the best interests of the child. There is no presumption that one parent is better suited to promote the best interests of the child. Factors the court will consider in determining the child's best interests include:
1. Acts of domestic violence between the parties;
2. The safety of the child;
3. The safety of either parent from acts of domestic violence of the other parent.
An order of child custody may also contain provisions for visitation rights for any grandparent of the child. 50-13.2
Child support
Either parent may be ordered to pay child support in such amounts reasonable for the health, education, and maintenance of the child, after consideration is given to the estates, earnings, conditions, accustomed standard of living of child and parents, child care and other related issues.
North Carolina has enacted guidelines which establish the amount of support presumed to be correct. The court may deviate from the guidelines however, upon a finding that the application of the guidelines would be unjust or inappropriate under the particular facts of the case. If the court does deviate from the guidelines, it shall state its reasons for doing so in its order.
The court shall also order a party to provide health insurance for the child if such insurance is reasonably available. 50-13.4, 50-13.11
Name change
Either party may petition the court to permit that party to resume the use of a former or maiden name. 50-12