Assumption Agreement Definition Formal

State:
Illinois
Control #:
IL-ED1014
Format:
Word; 
Rich Text
Instant download

Description

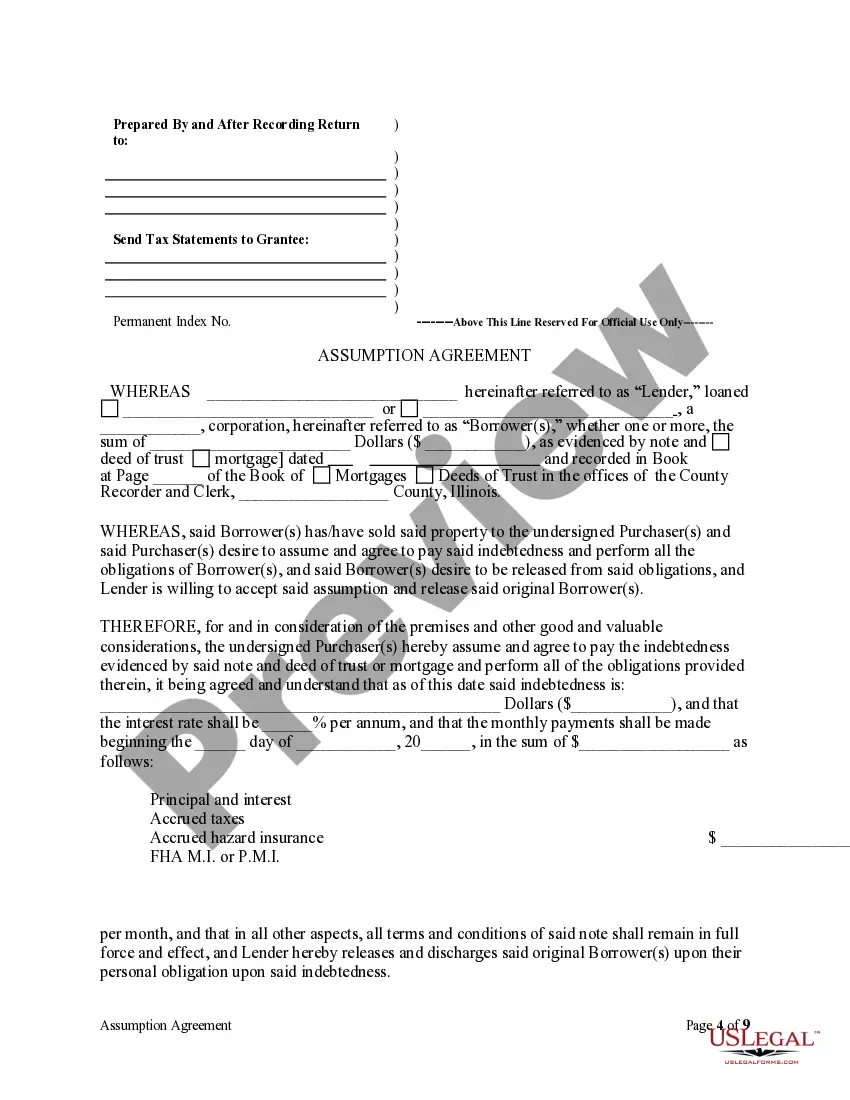
The Assumption Agreement definition formal is a legal document used in real estate transactions, allowing a new buyer (Purchaser) to assume the outstanding obligations of an existing mortgage from the original borrower. This agreement outlines the responsibilities of the parties involved, including details such as loan amounts, interest rates, and payment schedules. It is essential for transferring liability for the debt from the original Borrower to the Purchaser while releasing the Borrower from future obligations. The form includes step-by-step instructions for completing and editing, utilizing Microsoft Word form fields that can be filled electronically or by hand. Users should protect and unprotect the document when making changes to ensure data is not lost. This form is particularly useful for attorneys, partners, owners, associates, paralegals, and legal assistants involved in real estate transactions, providing a clear structure for transferring loan obligations and ensuring compliance with legal requirements. The form adheres to Illinois state statutes and is aimed at enhancing the legal efficacy of property transfers.
Free preview
  • Preview Assumption Agreement of Mortgage and Release of Original Mortgagors
  • Preview Assumption Agreement of Mortgage and Release of Original Mortgagors
  • Preview Assumption Agreement of Mortgage and Release of Original Mortgagors
  • Preview Assumption Agreement of Mortgage and Release of Original Mortgagors
  • Preview Assumption Agreement of Mortgage and Release of Original Mortgagors
  • Preview Assumption Agreement of Mortgage and Release of Original Mortgagors
  • Preview Assumption Agreement of Mortgage and Release of Original Mortgagors
  • Preview Assumption Agreement of Mortgage and Release of Original Mortgagors
  • Preview Assumption Agreement of Mortgage and Release of Original Mortgagors
  • Preview Assumption Agreement of Mortgage and Release of Original Mortgagors
  • Preview Assumption Agreement of Mortgage and Release of Original Mortgagors

How to fill out Illinois Assumption Agreement Of Mortgage And Release Of Original Mortgagors?

What is the most reliable service to obtain the Assumption Agreement Definition Formal and other current versions of legal documents? US Legal Forms is the answer!

It boasts the largest collection of legal papers for any purpose. Each sample is expertly drafted and confirmed for adherence to federal and state laws. They are categorized by field and region of use, making it easy to find the one you require.

US Legal Forms is an excellent solution for anyone dealing with legal documentation. Premium users can enjoy additional benefits as they can complete and electronically sign previously saved documents at any time using the built-in PDF editing feature. Give it a try today!

  1. Experienced users of the site simply need to Log In to the platform, verify if their subscription is active, and click the Download button next to the Assumption Agreement Definition Formal to get it.
  2. Once saved, the document remains accessible for future use in the My documents section of your account.
  3. If you do not yet have an account with our library, here are the steps you need to follow to obtain one.
  4. Verification of form compliance. Before acquiring any template, ensure it meets your usage requirements and complies with your state or county laws. Review the form description and use the Preview option if it's available.

Form popularity

FAQ

Release of the Debtor. In consideration of the assumption of the Debtor's Liabilities, the Creditor (a) agrees to look solely to the Assuming Party for the payment and the performance of the Liabilities; and (b) forever releases and discharges the Debtor from the Liabilities.

Below we have highlighted four tips on how to deal with assumptions in research writing.Don't touch them, leave them as they are;Explain them in more detail (make them explicit)Offer evidence (convert them into supported claims)Change them (revise the larger claim)

An assumption agreement, sometimes called an assignment and assumption agreement, is a legal document that allows one party to transfer rights and/or obligations to another party. It allows one party to "assume" the rights and responsibilities of the other party.

An assignment and assumption agreement is used after a contract is signed, in order to transfer one of the contracting party's rights and obligations to a third party who was not originally a party to the contract.

Trusted and secure by over 3 million people of the world’s leading companies

Assumption Agreement Definition Formal