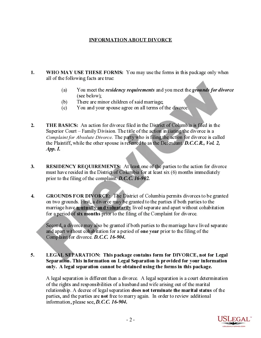
No Faul Divorce

State:
District of Columbia
Control #:
DC-006-D
Format:
PDF; 
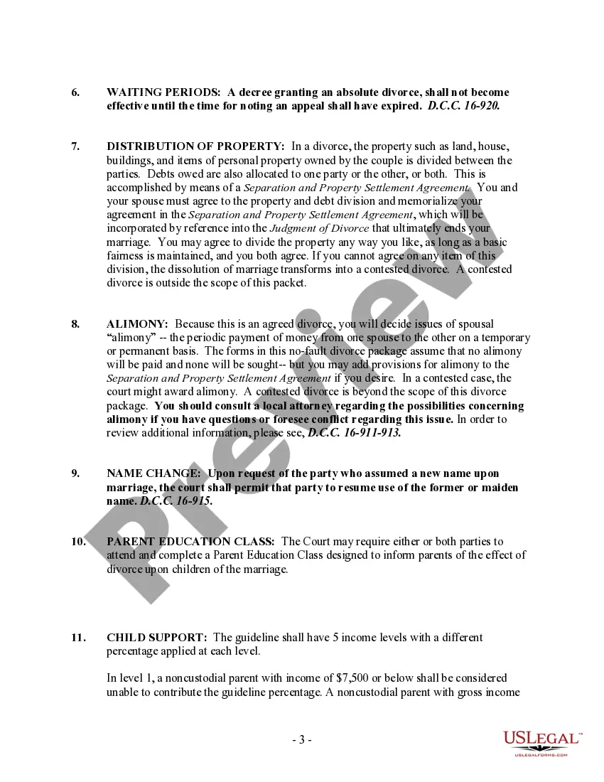
Word; 
Rich Text
Instant download

Description

The No Fault Divorce packet is designed for couples wishing to dissolve their marriage amicably without disputes over terms. This form package includes necessary documents such as the Complaint for Absolute Divorce and a Separation and Property Settlement Agreement, which outlines the division of property and responsibilities. It is crucial that both parties agree on all divorce terms and meet residency and grounds requirements to utilize this package. Users must print forms on bond paper and follow explicit instructions for filling them out to ensure proper filing with the court. Legal professionals, including attorneys, paralegals, and legal assistants, will find this package beneficial for guiding clients through uncontested divorce processes, streamlining their administrative tasks, and ensuring compliance with local legal standards. The forms contained cater to cases involving minor children, thereby addressing child custody and support issues in a straightforward manner. Legal assistants can efficiently manage the documentation process with the provided checklist and instructional steps, aiding clients in achieving a smooth divorce experience. This packet addresses both practicalities and legal considerations essential for individuals navigating divorce in the District of Columbia.
Free preview
  • Preview District of Columbia No-Fault Agreed Uncontested Divorce Package for Dissolution of Marriage for people with Minor Children
  • Preview District of Columbia No-Fault Agreed Uncontested Divorce Package for Dissolution of Marriage for people with Minor Children
  • Preview District of Columbia No-Fault Agreed Uncontested Divorce Package for Dissolution of Marriage for people with Minor Children
  • Preview District of Columbia No-Fault Agreed Uncontested Divorce Package for Dissolution of Marriage for people with Minor Children
  • Preview District of Columbia No-Fault Agreed Uncontested Divorce Package for Dissolution of Marriage for people with Minor Children
  • Preview District of Columbia No-Fault Agreed Uncontested Divorce Package for Dissolution of Marriage for people with Minor Children
  • Preview District of Columbia No-Fault Agreed Uncontested Divorce Package for Dissolution of Marriage for people with Minor Children
  • Preview District of Columbia No-Fault Agreed Uncontested Divorce Package for Dissolution of Marriage for people with Minor Children
  • Preview District of Columbia No-Fault Agreed Uncontested Divorce Package for Dissolution of Marriage for people with Minor Children
  • Preview District of Columbia No-Fault Agreed Uncontested Divorce Package for Dissolution of Marriage for people with Minor Children
  • Preview District of Columbia No-Fault Agreed Uncontested Divorce Package for Dissolution of Marriage for people with Minor Children

How to fill out District Of Columbia No-Fault Agreed Uncontested Divorce Package For Dissolution Of Marriage For People With Minor Children?

  1. If you are a returning user, log in to your account and locate your required form template. Click the Download button once you ensure your subscription is active. If it’s expired, renew it according to your chosen payment plan.
  2. For first-time users, start by checking the Preview mode and form descriptions. Make sure to select a template that aligns with your needs and complies with local jurisdiction requirements.
  3. If you find discrepancies or need a different template, utilize the Search tab to find an appropriate form. Ensure it meets your requirements before proceeding.
  4. Purchase the selected document by clicking the Buy Now button. Choose a subscription plan that fits your needs and register for an account to access the extensive library.
  5. Complete your purchase by entering your credit card details or using PayPal for subscription payment.
  6. Download your form and save the template to your device for future reference. You can access this document through the My Forms section of your profile whenever needed.

With US Legal Forms, you can easily access a robust collection of legal documents, quicker than ever before. Whether you are a seasoned legal professional or navigating the process for the first time, the user-friendly interface and expert support make it straightforward to obtain the documents you need.

Empower yourself with the right legal resources today and take the first step towards a successful no fault divorce. Start your journey with US Legal Forms now!

Decorative icon for this block

Divorce Package

Make the process of finding the needed Divorce Package more straightforward. Choose your state, clarify circumstances, and get forms that suit your case.

Form popularity

FAQ

The most common ground for a no-fault divorce is usually ‘irreconcilable differences.’ This implies that the couple has experienced issues that they cannot resolve, making continued cohabitation impractical. By choosing this route, you can avoid lengthy court battles and focus on a fair settlement. Uslegalforms offers guidance and forms to simplify the no-fault divorce process, ensuring you understand your options and rights.

fault divorce occurs when one or both spouses decide to end the marriage without placing blame on either party. A common example includes ‘irreconcilable differences,’ where both individuals agree that they can no longer continue their marriage. This approach minimizes conflict and makes the legal process less stressful. Utilizing uslegalforms can streamline this process, providing you with the necessary resources to navigate a nofault divorce effectively.

Moving on after a divorce can be challenging, but focusing on self-care is essential. Surround yourself with supportive friends and family, engage in activities that bring you joy, and consider speaking to a professional if needed. Remember, healing takes time, and it's okay to seek help. A no-fault divorce can help provide a smoother transition by avoiding unnecessary blame, allowing you to focus on rebuilding your life.

Yes, you can get divorced without going to court by utilizing a no-fault divorce process, often called an uncontested divorce. If both parties agree on all terms, you can file the necessary paperwork, potentially with the help of platforms like USLegalForms, to simplify the process. This approach often saves time and reduces stress, allowing you to avoid the courtroom altogether. You can achieve a smooth resolution without the need for a trial.

One disadvantage of no-fault divorce is that it may lead to feelings of injustice if one spouse feels wronged. In a no-fault divorce, neither party needs to prove wrongdoing, which can sometimes result in unresolved emotional conflicts. Additionally, without clear blame, individuals may struggle to negotiate settlements fairly. This can complicate issues like asset division or custody arrangements.

Ending no-fault divorce means reverting to a system where individuals must demonstrate wrongdoing to obtain a divorce. This shift can complicate the process and potentially increase financial and emotional burdens for separating couples. It might also lead to more courtroom battles, as individuals must prove their case in front of a judge. Understanding these changes is key for anyone exploring their divorce options.

Individuals seeking a less contentious separation can significantly benefit from a no-fault divorce. This approach allows both parties to part ways without the added stress of proving fault, which can reduce conflict and animosity. Additionally, it often decreases the time and costs associated with traditional divorce proceedings, making it an appealing choice for many couples. If you're considering this option, uslegalforms platform can provide the necessary resources to support your journey.

Most states in the U.S. offer some form of no-fault divorce, allowing couples to separate without proving fault. This option is available in states like California, Florida, New York, and Texas, among others. However, conditions and requirements can vary by state, so it's crucial to check local laws to understand their implications. Having adequate information can guide your decisions about a no-fault divorce.

No-fault divorce can lead to several negative effects, particularly regarding emotional closure. Without the need to assign blame, some individuals might feel their experiences are minimized, impacting their ability to move on. Furthermore, the ease of obtaining a no-fault divorce can lead to hasty decisions, which may affect children and financial stability. It's essential to approach this process thoughtfully to mitigate potential fallout.

While no-fault divorce simplifies the process, it does have some disadvantages. One notable issue is the potential for imbalanced financial outcomes, where one spouse may secure a more favorable settlement without proving wrongdoing. Additionally, the emotional aspects of divorce can remain unaddressed, leaving lingering feelings of resentment. Ultimately, it is vital to weigh the pros and cons before deciding on a no-fault divorce.

Interesting Questions

Trusted and secure by over 3 million people of the world’s leading companies

No Faul Divorce