Non-married

State:
Arkansas
Control #:
AR-513R
Format:
Word; 
Rich Text
Instant download

Description

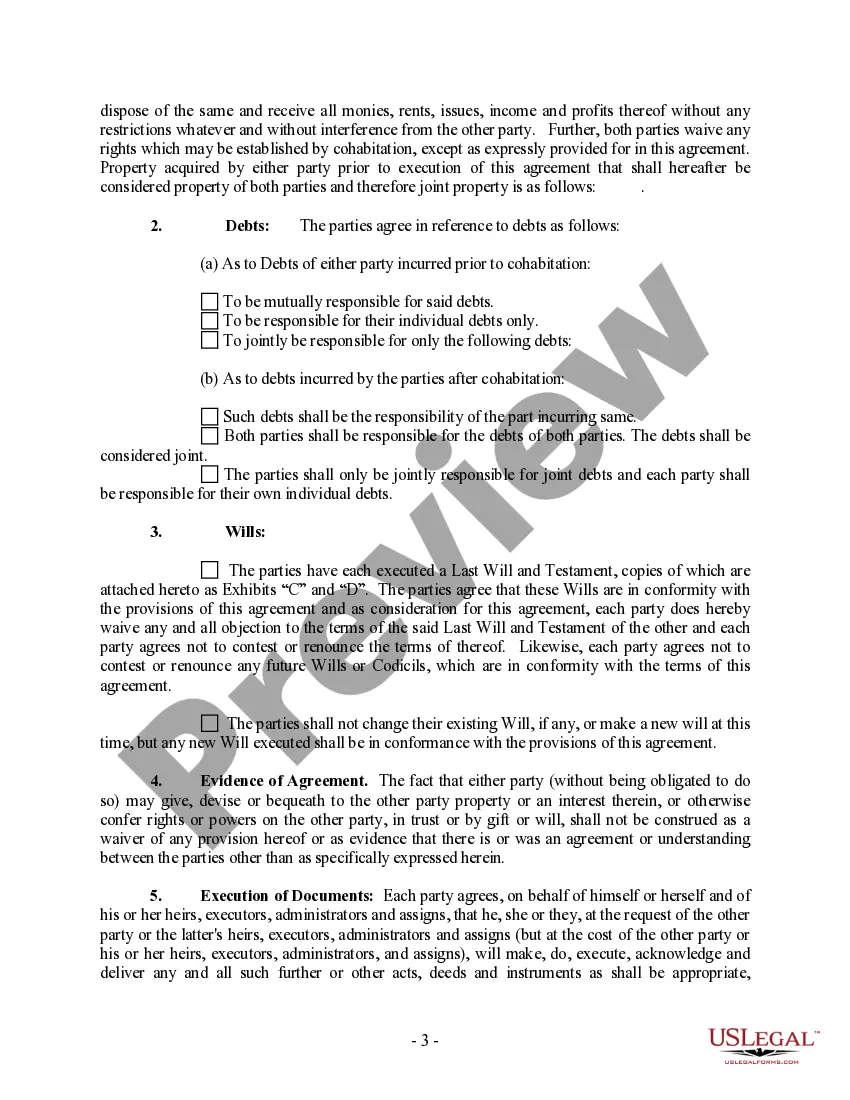
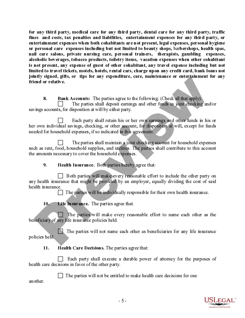
The Non-Marital Cohabitation Agreement is a legal document designed for non-married partners who choose to live together, establishing mutual rights and responsibilities related to properties, debts, and health care. This agreement allows parties to clearly outline their individual control over assets and debts incurred both prior to and during the cohabitation period. It helps protect personal property and explains financial obligations, ensuring both parties understand their rights. Users are guided on filling out the document using Microsoft Word, with clear instructions on how to lock and edit the form effectively. The document emphasizes that both parties should consult legal advice before signing, reinforcing that the agreement is voluntary. This form is particularly beneficial for attorneys, partners, owners, associates, paralegals, and legal assistants, providing a structure for managing relationships without marital legal implications. Its sections on property, debts, and cohabitation expenses offer clarity on financial responsibilities, making it a useful resource for individuals in non-marital relationships.
Free preview
  • Preview Non-Marital Cohabitation Living Together Agreement
  • Preview Non-Marital Cohabitation Living Together Agreement
  • Preview Non-Marital Cohabitation Living Together Agreement
  • Preview Non-Marital Cohabitation Living Together Agreement
  • Preview Non-Marital Cohabitation Living Together Agreement
  • Preview Non-Marital Cohabitation Living Together Agreement
  • Preview Non-Marital Cohabitation Living Together Agreement
  • Preview Non-Marital Cohabitation Living Together Agreement
  • Preview Non-Marital Cohabitation Living Together Agreement
  • Preview Non-Marital Cohabitation Living Together Agreement
  • Preview Non-Marital Cohabitation Living Together Agreement

How to fill out Arkansas Non-Marital Cohabitation Living Together Agreement?

  1. Log in to your existing US Legal Forms account. Ensure your subscription is still active, or renew it if necessary to access the form library.
  2. Browse the available forms, ensuring you check the Preview mode and description to confirm that it meets your local jurisdiction's requirements.
  3. Utilize the Search tab to find alternative templates if your initial selection does not suit your needs.
  4. Purchase the desired document by clicking on the Buy Now button and selecting the subscription plan that fits you best, creating an account if this is your first time.
  5. Complete your purchase by entering your payment details through credit card or PayPal.
  6. Download your selected form to your device and access it anytime in the My Forms section of your profile.

Once you have saved your document, you are equipped to complete it and seek assistance from premium experts if needed. This step ensures you have a precise and legally sound document.

US Legal Forms simplifies the process for non-married individuals needing legal forms. Start your journey today and discover how easy managing your legal documents can be!

Decorative icon for this block

Cohabitation Agreement

Avoid future problems now. Indicate your state, answer a few simple questions, and receive a Cohabitation Agreement form that suits your situation.

Form popularity

FAQ

The term 'non-married' refers to individuals who are not legally wed. This can include those who are dating, living together, or in any form of committed relationship without marriage. Many people value the flexibility and independence that a non-married status can provide, allowing them to create their own unique partnerships.

'Unmarried' describes someone who has never been married or is currently not in a legal marriage. This status can apply to singles, as well as those in committed relationships. Being unmarried offers individuals the capacity to navigate relationships in their own way, often emphasizing personal freedom and autonomy.

married relationship is similar to any romantic partnership but lacks the formal recognition of marriage. This arrangement allows couples to navigate their commitments on their terms, often leading to strong emotional bonds and shared experiences. Many choose this path to express their love and commitment without the constraints of marriage.

marriage refers to a relationship arrangement where individuals choose not to marry each other. This can occur for various reasons, including personal beliefs or a desire for independence. Nonmarriage relationships can be equally supportive and committed, providing many of the benefits associated with traditional marriages.

The simplest word for not married is 'unmarried.' This term applies to individuals who have never been married or are separated from their spouse. Being unmarried often allows individuals the freedom to explore different relationships and lifestyles without the legal commitments that marriage entails.

married relationship may be called cohabitation, partnership, or simply a committed relationship. These terms reflect the various ways people can live together and build a life without the legal framework of marriage. Regardless of the term used, the focus is often on mutual commitment and companionship, which can be fulfilling in its own right.

married relationship is a partnership between two individuals who choose to live together without formalizing their bond through marriage. This type of relationship can encompass various forms, including cohabitation and committed partnerships. Many couples in nonmarried relationships enjoy similar benefits as married couples, such as emotional support and shared responsibilities.

You can prove that you are unmarried by obtaining a statement of non-marriage or a notarized affidavit. Several platforms, including USLegalForms, can help you generate this type of documentation efficiently. Having formal proof of your non-married status ensures clarity in legal matters and can simplify processes related to custody, property, or healthcare decisions.

To get proof that you are not married, you may require a legal declaration or affidavit stating your non-married status. This may involve creating documentation through services that can assist with legal forms, such as USLegalForms. Establishing your non-married status can be beneficial for various legal purposes, so ensure you have proper documentation.

Living with someone for seven years without being married typically falls under the term common-law marriage in some jurisdictions, though it does not confer marital rights in many others. If the relationship does not meet legal criteria for common law, you remain a non-married couple. It’s essential to understand your local laws to grasp the implications of long-term cohabitation.

Interesting Questions

Trusted and secure by over 3 million people of the world’s leading companies

Non-married