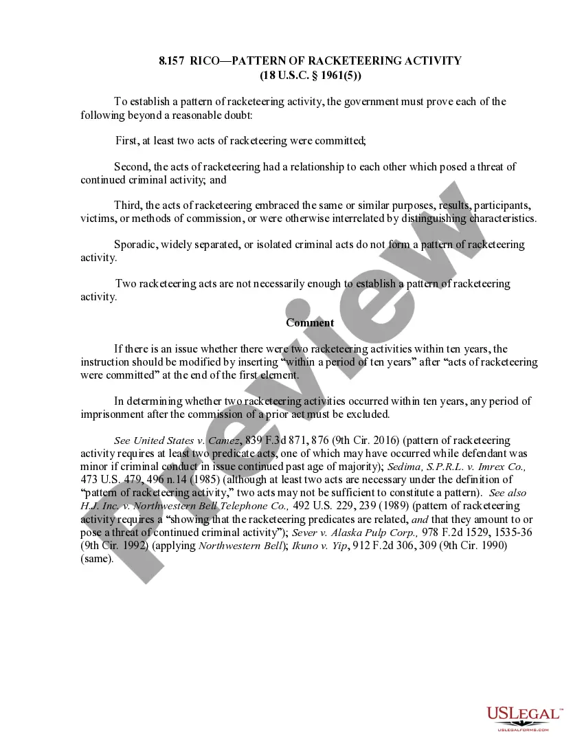
Omaha Nebraska Authorization for Use and Disclosure of Protected Health Information under HIPAA RULE 164.508

State:
Multi-State
City:
Omaha
Control #:
US-02302BG
Format:
Word; 
PDF; 
Rich Text
Instant download

Description

Under the Health Insurance Portability and Accountability Act of 1996 (HIPAA) and the Privacy Regulations written pursuant to the Act, the general rule is that covered entities may not use or disclose an individual's protected health information for purposes unrelated to treatment, payment, healthcare operations, or certain defined exceptions without first obtaining the individual's prior written authorization.

Free preview
  • Preview Authorization for Use and Disclosure of Protected Health Information under HIPAA RULE 164.508
  • Preview Authorization for Use and Disclosure of Protected Health Information under HIPAA RULE 164.508

Form popularity

FAQ

Omaha Is the Steak Capital of Nebraska The state of Nebraska is known for its beef, and is even nicknamed the "Beef State." Omaha is Nebraska's steak capital, as it's home to one of the country's largest producers of beef, Omaha Steaks.

Prostitution was a major component of the city's flourishing vice industry during the late 1800s and early 1900s, when Omaha was known as a ?dirty wicked town.? Today's Wilson and Washburn Bar downtown is named for its two leading madams.

Omaha is Nebraska's biggest city and a regional manufacturing, transportation, trade, and service hub. From the 1890s through the mid-20th century Omaha emerged as one of the top livestock markets in the world and a leader in the meat-processing industry.

Presently, Omaha is the home to the headquarters of four Fortune 500 companies: conglomerate Berkshire Hathaway; one of the world's largest construction companies, Kiewit Corporation; insurance and financial firm Mutual of Omaha; and the United States' largest railroad operator, Union Pacific Corporation.

Steak. Omaha is known around the country as one of the best sources for steak. This is mostly due to the fact that beef is Nebraska's single largest industry, and Omaha has been the country's meatpacking center since the 1950s.

The cost of living in Omaha, NE is 3% higher than the state average and 7% lower than the national average. Omaha, NE housing is 15% cheaper than the U.S average, while utilities are about 5% less pricey.

Interesting Questions

Trusted and secure by over 3 million people of the world’s leading companies

Omaha Nebraska Authorization for Use and Disclosure of Protected Health Information under HIPAA RULE 164.508