Gilbert Arizona Pooled Income Fund with Declaration of Trust by Charitable Organization

State:
Multi-State
City:
Gilbert
Control #:
US-00619BG
Format:
Word; 
Rich Text
Instant download

Description

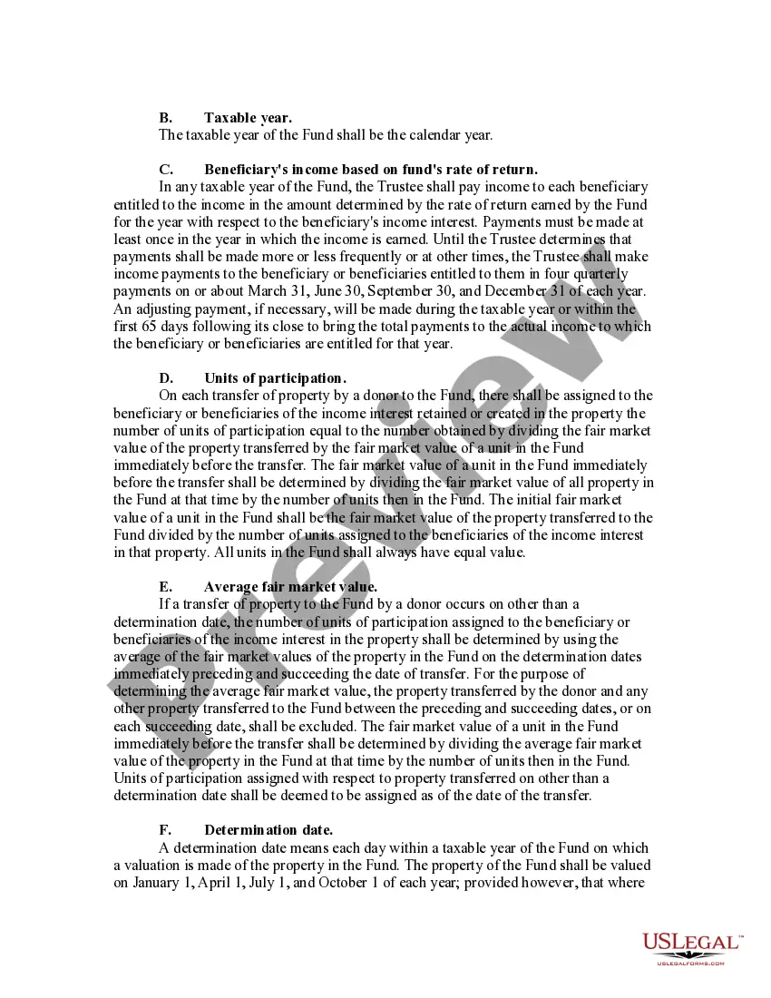
A pooled income fund is an irrevocable trust established and maintained by a public charity to which many donors can make contributions. Generally, it works as follows:


" Contributions received from individual donors are commingled for investment purposes.

" Each year, the donor (or the donor's designated income beneficiary) receives a distribution in an amount equal to the donor's pro rata share of the fund's net investment income.

" At the death of the income beneficiary, the portion of the fund attributable to the donor's gift is severed from the fund and distributed to a charity or charities of the donor's choice.


In the year of contribution, the donor may be entitled to an income tax charitable deduction.


Contributions are treated as gifts to a public charity for purposes of the income tax deductibility limitations.


The pooled income fund may accept appreciated assets from a donor and sell the appreciated property without the donor incurring immediate recognition of capital gains. If the property is encumbered by debt, other rules apply. The gift to a pooled income fund qualifies for the charitable gift and estate tax deduction. However, gift or estate tax may be incurred if the income interest is payable to someone other than the donor or the donor's spouse.

Free preview
  • Preview Pooled Income Fund with Declaration of Trust by Charitable Organization
  • Preview Pooled Income Fund with Declaration of Trust by Charitable Organization
  • Preview Pooled Income Fund with Declaration of Trust by Charitable Organization
  • Preview Pooled Income Fund with Declaration of Trust by Charitable Organization
  • Preview Pooled Income Fund with Declaration of Trust by Charitable Organization
  • Preview Pooled Income Fund with Declaration of Trust by Charitable Organization
  • Preview Pooled Income Fund with Declaration of Trust by Charitable Organization

Form popularity

FAQ

A pooled income fund allows multiple donors to combine their contributions, creating a single fund that generates income. This fund typically supports a charitable organization, like the Gilbert Arizona Pooled Income Fund with Declaration of Trust by Charitable Organization. Donors receive income based on their share of the fund, while also making a positive impact on their community. This arrangement benefits both the donors and the charities they support.

An example of a pooled income fund would be where several individuals contribute to a common fund managed by a charitable organization. The income earned from this fund is distributed to each contributor based on their share, while the remainder benefits the charity after their lifetime. The Gilbert Arizona Pooled Income Fund with Declaration of Trust by Charitable Organization exemplifies this approach, fostering community support.

Once known as the ?Hay Shipping Capital of the World,? Gilbert, Arizona has evolved into one of the fastest growing communities and the largest town in the United States. About Us - Gilbert, Arizona gilbertaz.gov ? how-do-i ? about-us gilbertaz.gov ? how-do-i ? about-us

Incorporated on July 6, 1920, Gilbert was once known as the ?Hay Shipping Capital of the World.? It's since transformed into a thriving economically diverse suburban community with a strong economy, competitive schools, and safe neighborhoods.

Best Suburbs Near Phoenix, Arizona Chandler. Population: 257,165. Median Home Value: $285,000. Paradise Valley. Population: 14,502. ... Scottsdale. Population: 255,310. ... Gilbert. Population: 248,279. ... Mesa. Population: 518,012. ... Fountain Hills. Population: 24,987. ... Peoria. Population: 172,259. ... Goodyear. Population: 82,835. ...

The Hay Capital of the World Gilbert was a prime farming community, fueled by the construction of the Roosevelt Dam and the Eastern and Consolidated Canals in 1911. It remained an agriculture town for many years, and was known as the "Hay Capital of the World" until the late 1920s. History | Gilbert, Arizona gilbertaz.gov ? about-us ? history gilbertaz.gov ? about-us ? history

Gilbert is arguably one of the best locations in Arizona to raise a family. As a matter of fact, the city rankings by Niche.com placed it at number 2 in its list of the best places to raise a family in the Phoenix area. Among other scores, it ranked very well in regards to schools (A), housing (B+), and diversity (B).

Gilbert is central to many of Arizona's scenic attractions. Northeast lies the Superstition Mountains, the location of the legendary Lost Dutchman's Gold Mine, as well as the Tonto National Forest which contains scenery ranging from rugged desert to cool pines. About Gilbert discovergilbert.com ? about discovergilbert.com ? about

Gilbert. Gilbert, another of Arizona's richest cities, is located in the southeast part of the Phoenix metropolitan area. Home to an enormous population of roughly 273,000 people, Gilbert is a fast-growing community with plenty to offer.

The Hay Capital of the World Gilbert was a prime farming community, fueled by the construction of the Roosevelt Dam and the Eastern and Consolidated Canals in 1911. It remained an agriculture town for many years, and was known as the "Hay Capital of the World" until the late 1920s.

Interesting Questions

Trusted and secure by over 3 million people of the world’s leading companies

Gilbert Arizona Pooled Income Fund with Declaration of Trust by Charitable Organization