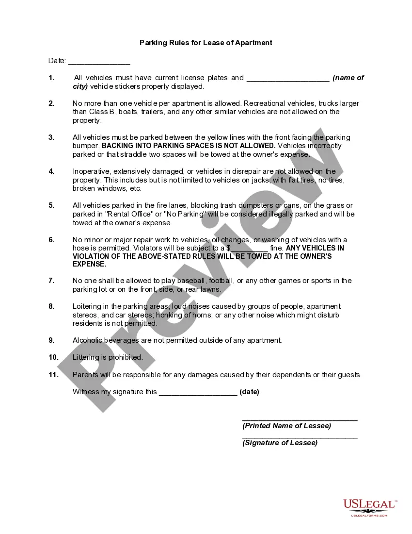
Memphis Tennessee Termination or Cancellation of Listing Agreement

State:
Multi-State
City:
Memphis
Control #:
US-00048DR
Format:
Word; 
Rich Text
Instant download

Description

In the context of real property law, a listing agreement governs the terms of the sale of real property by a third party real estate agency or broker. A listing contract may cover issues, among others, such as the price and terms of sale, broker's commission, agency duties of a listing agent, whether or not the property will be listed with the local MLS (multiple listing service), lockbox use, and resolution of disputes.


There are at least ten ways that a listing agreement may be terminated.


" When a real estate broker successfully sells a property for their client the listing agreement is complete.

" Listing agreements are typically inclusive of a definite time frame. When this period of time is reached, the listing agreement is terminated. Automatic extensions are illegal in many states, and are highly discouraged.

" If a broker does nothing to market the property, the owner of the property may end the listing due to the brokers abandonment of the property.

" Sellers can revoke the listing agreement, however there may be damages to the broker for which the seller can be held liable.

" Brokers can renounce the listing agreement, however they may be held for damages to the seller.

" Death, insanity, or bankruptcy of either the broker or the seller will often terminate the listing.

" Destruction of the property terminates the agreement because the agreement cannot be performed.

" The listing agreement can be terminated through a mutual consent between the broker and the seller.

" If the use of the property changes significantly, the listing agreement can be cancelled.

" In the real estate market, transfer of title by operation of law can terminate the listing agreement.

Form popularity

FAQ

When writing to cancel a contract, start with a clear statement of your intent. Include pertinent details such as the contract’s date and a brief explanation as to why you are canceling. This clarity ensures that all parties are on the same page, which is crucial for your Memphis Tennessee Termination or Cancellation of Listing Agreement.

Visitors will generally find more to do in Nashville than Memphis. While Memphis is larger than Nashville, Nashville has more sights, attractions, and activities for tourists. Nashville is more touristy than Memphis and is known for its influence in country music and its many live music venues.

Yes, Memphis is considered a good place to move to, especially for its rich cultural history, affordable cost of living, and friendly community.

Reasons to Visit Memphis The city is known for its influential role in several music genres including the blues, soul, and rock 'n' roll. There are also many music related museums and attractions in town like Graceland, the Rock 'n' Soul Museum, the Blues Hall of Fame and Stax Museum of American Soul Music.

Double your two days would be appropriate. You can certainly hit some high points, but there's a lot more to Memphis than Beale Street and Graceland. I think you'll have a great time and whet your appetite to come back when you have more time. We spent 3 days in Memphis, and had a great time.

Memphis is generally a safe city for tourists.

Known worldwide as the "Home of the Blues & Birthplace of Rock 'n' Roll - not to mention gospel, jazz, R&B, rap and soul. Close to 20 percent of the earliest inductees (24 of the 97) in the Rock 'n' Roll Hall of Fame have come from within a 100-mile radius of Memphis.

Memphis is approximately 212 miles (341 Km) from Nashville. The driving distance can vary slightly depending on the route, but it usually takes 3 to 3.5 hours of drive time. The drive mainly follows the interstate, so you can expect a relaxing and enjoyable journey without major cities causing heavy traffic and delays.

In addition to its influence over music, the city has a great food scene with classic southern favorites such as barbecue. It's often mentioned as one of the best places to visit in major publications, such as in Conde Nast Traveler's Best Places to Go in 2023.

Interesting Questions

Trusted and secure by over 3 million people of the world’s leading companies

Memphis Tennessee Termination or Cancellation of Listing Agreement