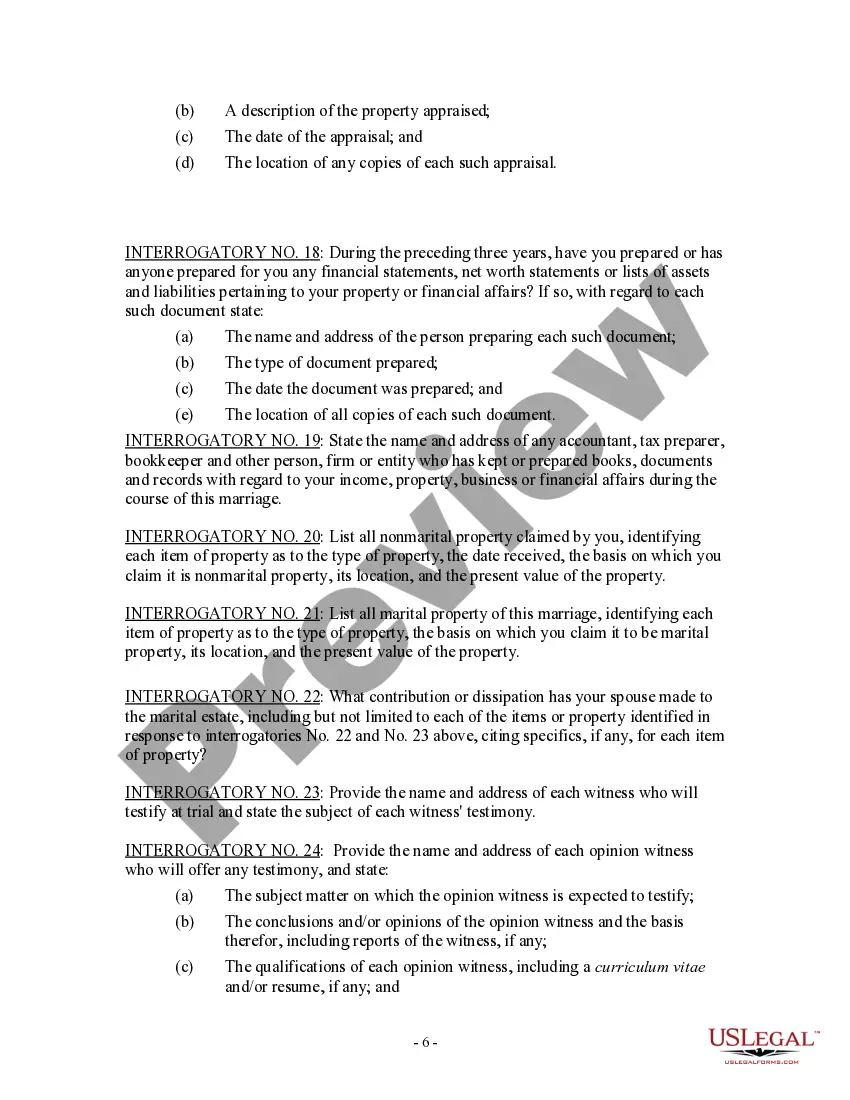
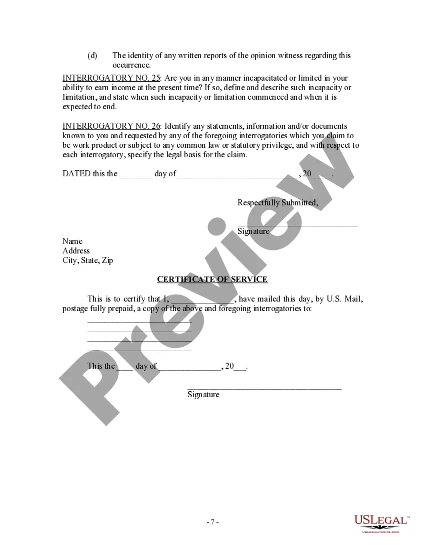
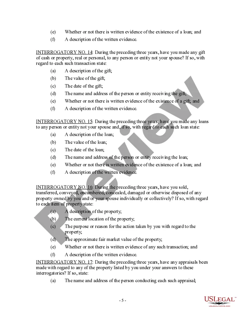
Discovery Interrogatories for Divorce Proceeding for either Plaintiff or Defendant - Another Form
Note: This summary is not intended to be an all-inclusive
summary of discovery law in Arizona, but does include basic and other information.
Definitions
Discovery: A procedure designed to allow disclosure
of information between Plaintiffs and Defendants. Written questions,
oral questioning, document production and admissions requests are generally
allowed. Discovery was designed to to prevent trial by ambush.
Interrogatories: Written questions from Plaintiff to
Defendant, or from Defendant to Plaintiff. The questions are mailed
to the Plaintiff, Defendant or the attorney for response in writing.
The answers or responses are usually due between 20-30 days.
Deposition: A procedure where verbal questions are
asked a Plaintiff or Defendant for immediate response. Depositions
are usually recorded by a court reporter, who swears the person to tell
the truth before questioning begins.
Production of Documents: The method of obtaining documents
from the other party relevant to the case such as all documents a party
intends to introduce at trial.
Requests for Admissions: Written questions where you
request the other party to admit or deny some relevant fact.
Objections: Objections may be made to all discovery
questions if the questions are not relevant, or likely to lead to the discovery
of relevant evidence.
Civil Procedure Rules: Virtually all states have adopted
a version of civil procedure rules which include rules dealing with discovery.
Arizona Rules of Civil Procedure
Arizona has adopted the Arizona Rules of Civil Procedure which
contain rules governing discovery. The discovery rules also apply
in divorce actions.
Discovery Methods:Parties may obtain discovery by one or
more of the following methods:depositions upon oral examination or written
questions; written interrogatories; production of documents or things or
permission to enter upon land or other property, for inspection and other
purposes; physical and mental examinations; and requests for admission.
Rule 26(a)
Scope: Unless otherwise limited by order of the court in
accordance with these rules, the scope of discovery is as follows:
(1) In General. Parties may obtain discovery regarding any matter,
not privileged, which is relevant to the subject matter involved in the
pending action, whether it relates to the claim or defense of the party
seeking discovery or to the claim or defense of any other party, including
the existence, description, nature, custody, condition and location of
any books, documents, or other tangible things and the identity and location
of persons having knowledge of any discoverable matter. It is not ground
for objection that the information sought will be inadmissible
at the trial if the information sought appears reasonably calculated to
lead to the discovery of admissible evidence.
The frequency or extent of use of the discovery methods set forth
in subdivision (a) may be limited by the court if it determines
that: (i) the discovery sought is unreasonably cumulative or duplicative,
or obtainable from some other source that is either more convenient, less
burdensome, or less expensive; (ii) the party seeking discovery has had
ample opportunity by discovery in the action to obtain the information
sought; or (iii) the discovery is unduly burdensome or expensive, given
the needs of the case, the amount in controversy, limitations on the parties'
resources, and the importance of the issues at stake in the litigation.
The court may act upon its own initiative after reasonable notice or pursuant
to a motion under subdivision (c). Rule 26(b)
Experts:
(A) A party may depose any person who has
been identified as an expert whose opinions may be presented at trial.
(B) A party may through interrogatories or by deposition discover
facts known or opinions held by an expert who has been retained or specially
employed by another party in anticipation of litigation or preparation
for trial and who is not expected to be called as a witness at trial, only
as provided in Rule 35(b) or upon a showing of exceptional circumstances
under which it is impracticable for the party seeking discovery
to obtain facts or opinions on the same subject by other means.
(C) Unless manifest injustice would result, (i) the court shall
require that the party seeking discovery pay the expert a reasonable fee
for time spent in responding to discovery under subdivisions (b)(4)(A)
and (b)(4)(B) of this rule; and (ii) with respect to discovery obtained
under subdivision (b)(4)(B) of this rule the court shall require the party
seeking discovery to pay the other party a fair portion of the
fees and expenses reasonably incurred by the latter party in obtaining
facts and opinions from the expert.
(D) In all cases including medical malpractice cases. each side
shall presumptively be entitled to only one independent expert on an issue,
except upon a showing of good cause. Where there are multiple parties on
a side and the parties cannot agree as to which independent expert will
be called on an issue, the court shall designate the independent expert
to be called or, upon the showing of good cause, may allow more
than one independent expert to be called. In medical malpractice cases,
each party shall presumptively be entitled to only one standard-of-care
expert. A defendant may testify on the issue of that defendant's standard-of-care
in addition to that defendant's independent expert witness and
the court shall not be required to allow the plaintiff an additional expert
witness on the issue of the standard-of-care. Rule 26(b)(4)
Before Whom Depositions May Be Taken: Within the United States
or within a territory or insular possession subject to the jurisdiction
of the United States, depositions shall be taken before an officer
authorized to administer oaths by the laws of the United States, the State
of Arizona, or of the place where the examination is held, or before a
person appointed by the court in which the action is pending. A person
so appointed has power to administer oaths and take testimony. Depositions
may be taken in this state or anywhere upon notice provided by these Rules
without a commission, letters rogatory or other writ. The term officer
as used in Rules 30, 31 and 32 includes a person appointed by
the court or designated by the parties under Rule 29.
Upon proof that the notice to take a deposition outside this state
has been given as provided by these Rules, the party seeking such deposition
may, but is not required, after one full day's notice to the other parties,
have issued by the clerk, in the form given in such notice, a commission
or letters rogatory or other like writ either in lieu of the notice to
take the deposition or supplementary thereto. Failure to file
written objections to such form before or at the time of its issuance shall
be a waiver of any objection thereto. Any objection shall be heard and
determined forthwith by the court or judge thereof. Rule 28(a)
In a foreign country, depositions may be taken (1) on notice before
a person authorized to administer oaths in the place in which the examination
is held, either by the law thereof or by the law of the United States,
or (2) before a person commissioned by the court, and a person so commissioned
shall have the power by virtue of the commission to administer any necessary
oath and take testimony, or (3) pursuant to a letter rogatory. A commission
or a letter rogatory shall be issued on application and notice
and on terms that are just and appropriate. It is not requisite to the
issuance of a commission or a letter rogatory that the taking of the deposition
in any other manner is impracticable or inconvenient; and both a commission
and a letter rogatory may be issued in proper cases. A notice or commission
may designate the person before whom the deposition is to be taken
either by the name or descriptive title. A letter rogatory may be addressed
"To the Appropriate Authority in (here name the country)." Evidence obtained
in response to a letter rogatory need not be excluded merely for the reason
that it is not a verbatim transcript or that the testimony was not taken
under oath or for any similar departure from the requirements for depositions
taken within the United States under these rules.Rule 28(b)
Stipulations: Unless the court orders otherwise, the parties
may by stipulation (1) provide that depositions may be taken before any
person, at any time or place, upon any notice, and in any manner and when
so taken may be used like other depositions, and (2) modify the procedures
provided by these rules for other methods of discovery, including extending
the time provided in Rules 33, 34, and 36 for responses to discovery. Rule
29
Depositions
After commencement of the action, the testimony of parties or any
expert witnesses expected to be called may be taken by deposition
upon oral examination. Depositions of document custodians may
be taken to secure production of documents and to establish evidentiary
foundation. No other depositions shall be taken except upon: (1) agreement
of all parties; (2) an order of the court following a motion demonstrating
good cause, or (3) an order of the court following a Comprehensive Pretrial
Conference pursuant to Rule 16(c). If the plaintiff seeks to take a deposition
prior to the expiration of 30 days after service of the summons and complaint
upon any defendant or service which is completed under Rule 4.2 of these
rules, leave of court, granted with or without notice, is required except
that leave is not required: (1) if a defendant has served a notice
of taking deposition or otherwise sought discovery or (2) if special
notice is given as provided in subdivision (b)(2) of this rule. The attendance
of witnesses may be compelled by subpoena as provided in Rule 45. The deposition
of a person confined in prison may be taken only by leave of court on such
terms as the court prescribes. Rule 30(a)
(1) Absent a stipulation of all parties to the action or an order
of the court authorizing a briefer notice, a party desiring to take the
deposition of any person upon oral examination shall give notice in writing
to every other party to the action at least ten days prior to the date
of the deposition. The notice shall state the time and place for taking
the deposition and the name and address of each person to be examined,
if known, and, if the name is not known, a general description sufficient
to identify the person or the particular class or group to which the person
belongs. If a subpoena duces tecum is to be served on the person to be
examined, the designation of the materials to be produced as set
forth in the subpoena shall be attached to or included in the notice.
(2) Leave of court is not required for the taking of a deposition
by plaintiff if the notice (A) states that the person to be examined is
about to go out of the State of Arizona, and will be unavailable for examination
unless the person's deposition is taken before expiration of the 30-day
period, and (B) sets forth facts to support the statement. The plaintiff's
attorney shall sign the notice, and the attorney's signature constitutes
a certification by the attorney that to the best of the attorney's
knowledge, information, and belief the statement and supporting facts are
true. The sanctions provided by Rule 11(a) are applicable to the certification.
If a party shows that when the party was served with notice under this
subdivision (b)(2) the party was unable through the exercise of diligence
to obtain counsel to represent the party at the taking of the deposition,
the deposition may not be used against the party.
(3) The court may for cause shown enlarge or shorten the time for
taking the deposition.
(4) The parties may stipulate in writing or the court may upon
motion order that the testimony at a deposition be recorded by other than
stenographic means. The stipulation or order shall designate the person
before whom the deposition shall be taken, the manner of recording, preserving
and filing the deposition, and may include other provisions to assure that
the recorded testimony will be accurate and trustworthy. A party may arrange
to have a stenographic transcription made at the party's own expense. Any
changes made by the witness, the witness' signature identifying the deposition
as the witness' own or the statement of the officer that is required if
the witness does not sign as provided in subdivision (e), and
the certification of the officer required by subdivision (f) shall be set
forth in a writing to accompany a deposition recorded by nonstenographic
means.
(5) The notice to a party deponent may be accompanied by a request
made in compliance with Rule 34 for the production of documents and tangible
things at the taking of the deposition. The procedure of Rule 34 shall
apply to the request.
(6) A party may in the party's notice name as the deponent a public
or private corporation or a partnership or association or governmental
agency and designate with reasonable particularity the matters on which
examination is requested. The organization so named shall designate one
or more officers, directors, or managing agents, or other persons who consent
to testify on its behalf, and may set forth, for each person designated,
the matters on which that person will testify. The persons so designated
shall testify as to matters known or reasonably available to the organization.
This subdivision (b)(6) does not preclude taking a deposition by any other
procedure authorized in these rules.
(7) The parties may stipulate or the court may order that a deposition
be taken by telephone. For the purpose of this Rule and Rules 28(a), 37(a)(1),
45(c)(3)(A)(ii), and 45(e), a deposition is taken in the county where the
deponent is to answer questions propounded to the deponent. Rule 30(b)
Depositions shall be of reasonable length. The oral deposition of
any party or witness, including expert witnesses, whenever taken, shall
not exceed four (4) hours in length, except pursuant to stipulation of
the parties, or, upon motion and a showing of good cause. The court shall
impose sanctions pursuant to Rule 16(f) for unreasonable, groundless, abusive
or obstructionist conduct. At any time during the taking of the deposition,
on motion of a party or of the deponent and upon a showing that the examination
is being conducted in bad faith or in such manner as unreasonably to annoy,
embarrass, or oppress the deponent or party, the court in which the action
is pending or the court in the county where the deposition is
being taken may order the officer conducting the examination to cease forthwith
from taking the deposition, or may limit the scope and manner of the taking
of the deposition as provided in Rule 26(c). If the order made terminates
the examination, it shall be resumed thereafter only upon the order of
the court in which the action is pending. Upon demand of the objecting
party or deponent, the taking of the deposition shall be suspended for
the time necessary to make a motion for an order. The provisions of Rule
37(a)(4) apply to the award of expenses incurred in relation to the motion. Rule 30(d)
Interrogatories
Any party may serve upon any other party written interrogatories
to be answered by the party served or, if the party served is
a public or private corporation or a partnership or association of governmental
agency, by any officer or agent, who shall furnish such information as
is available to the party. Interrogatories may, without leave of court,
be served upon the plaintiff after commencement of the action and upon
any other party with or after service of the summons and complaint upon
that party. Each interrogatory shall be answered separately and fully in
writing under oath, unless it is objected to, in which event the reasons
for objection shall be stated in lieu of an answer. The answers are to
be signed by the person making them, and the objections signed by the attorney
making them. The party upon whom the interrogatories have been served shall
serve a copy of the answers, and objections if any, within 40 days after
the service of the interrogatories, except that a defendant may serve answers
or objections within 60 days after service of the summons and
complaint upon that defendant, or execution of a waiver of service, by
that defendant. The court may allow a shorter or longer time. The party
submitting the interrogatories may move for an order under Rule 37(a) with
respect to any objection to or other failure to answer an interrogatory.
Rule 33(a)
Interrogatories may relate to any matters which can be inquired
into under Rule 26(b), and the answers may be used to the extent permitted
by the rules of evidence. An interrogatory otherwise proper is not necessarily
objectionable merely because an answer to the interrogatory involves an
opinion or contention that relates to fact or the application of law to
fact, but the court may order that such an interrogatory need not be answered
until after designated discovery has been completed or until a
pretrial conference or other later time. Rule 33(b)
(a)Except as provided in these Rules, a party shall not serve upon
any other party more than forty (40) interrogatories, which may
be any combination of uniform or non-uniform interrogatories. Anyuniform
interrogatory and its subparts shall be counted as one interrogatory. Any
subpart to a non-uniform interrogatory shall be considered as a separate
interrogatory.
(b) Stipulations to Serve Additional Interrogatories. If a party
believes that good cause exists for the service of more than forty (40)
interrogatories upon any other party, that party shall consult with the
party upon whom the additional interrogatories would be served and attempt
to secure a written stipulation as to the number of additional interrogatories
that may be served.
(c) Leave of Court to Serve Additional Interrogatories. If a stipulation
permitting the service of additional interrogatories is not secured, a
party desiring to serve additional interrogatories may do so only by leave
of court. Upon written motion or application showing good cause therefor,
the court in its discretion may grant to a party leave to serve a reasonable
number of additional interrogatories upon any other party. The party seeking
leave to serve additional interrogatories shall have the burden of establishing
that the issues presented in the action warrant the service of additional
interrogatories, or that such additional interrogatories are a more practical
or less burdensome method of obtaining the information sought, or other
good cause therefor. No such motion or application may be heard or considered
by the court unless accompanied by the proposed additional interrogatories
to be served, and by the certification of counsel required by Rule 37(a)(
2)C) of these Rules. The proposed additional interrogatories shall only
be attached to the judge's copy of the motion and the copy served on opposing
parties.
(d) Spacing. Whenever interrogatories are used, a space sufficient
for the answer shall be left immediately below the question. The answering
party shall insert the answer in the space below each interrogatory, or
if it requires more space, on a separate sheet which restates the question
before giving the answer.
(e) Nonuniform Interrogatories. The method of propounding and answering
Nonuniform Interrogatories shall be as follows:
(1) A party propounding interrogatories, other than Uniform Interrogatories,
shall serve upon the answering party and not the clerk of the court, the
original and one copy of the interrogatories and shall serve a copy upon
every other party.
(2) The answering party shall, within the time permitted by law,
serve upon the propounding party and all other parties one copy of the
interrogatories and typewritten answers.
(f) Uniform Interrogatories. The interrogatories set forth in the
Appendix of Forms following these Rules are denominated as Uniform Interrogatories,
and are approved for use as a standard or guide in preparation by counsel
of interrogatories under Rule 33 of these Rules. The use of Uniform Interrogatories
shall be governed by Rule 33 of these Rules, and this Rule. The use of
Uniform Interrogatories is not mandatory. The interrogatories should serve
as a guide only, and may or may not be approved as to either form or substance
in a particular case. They are not to be used as a standard set of interrogatories
for submission in all cases. Each interrogatory should be used only where
it fits the particular case. The method of propounding and answering
Uniform Interrogatories shall be as follows:
(1) A party propounding Uniform Interrogatories shall serve a copy
of a Notice of Service of Uniform Interrogatories upon each other party
to the action.
(2) The Notice of Service of Uniform Interrogatories shall contain
the names of the party and attorney to whom the request is made and the
number only of each uniform interrogatory for which the propounding party
requests an answer.
(3) The answering party shall:
(i) reproduce the text of each interrogatory requested and insert
the answer below it;
(ii) serve the original upon the propounding party and a copy upon
all other parties. Rule 33.1
Production
Any party may serve on any other party requests (1) to produce and
permit the party making the request, or someone acting on the requestor's
behalf, to inspect and copy, any designated documents (including writings,
drawings, graphs, charts, photographs, phono records, and other data compilations
from which information can be obtained, translated through detection devices
into reasonable usable form when translation is practicably necessary)
or to inspect and copy, test, or sample any tangible things which constitute
or contain matters within the scope of Rule 26(b) and which are in the
possession, custody or control of the party upon whom the request is served;
or (2) to permit entry upon designated land or other property in the possession
or control of the party upon whom the request is served for the purpose
of inspection and measuring, surveying, photographing, testing, or sampling
the property or any designated object or operation thereon, within the
scope of Rule 26(b). Rule 34(a)
The requests may, without leave of court, be served upon the plaintiff
after commencement of the action and upon any other party with or after
service of the summons and complaint upon that party. The requests shall
set forth the items to be inspected either by individual item or by specific
category, and describe each item and specific category with reasonable
particularity. The request(s) shall not, without leave of court, cumulatively
include more than ten (10) distinct items or specific categories of items.
Each request shall specify a reasonable time, place, and manner of making
the inspection and performing the related acts. If a party believes that
good cause exists for more than ten (10) distinct items or categories of
items, that party shall consult with the party upon whom a request would
be served and attempt to secure a written stipulation to that effect. The
party upon whom a request is served shall serve a written response within
40 days after the service of the request, except that a defendant may serve
a response within 60 days after service of the summons and complaint upon
that defendant, or execution of a waiver of service by that defendant.
The court may allow a shorter or longer time. The response shall state,
with respect to each item or category, that inspection and related activities
will be permitted as requested, unless the request is objected to, in which
event the reasons for objection shall be stated. If objection is made to
part of an item or category, the part shall be specified. The party submitting
a request may move for an order under Rule 37(a) with respect to any objection
to or other failure to respond to the request or any part thereof, or any
failure to permit inspection as requested. A party who produced documents
for inspection shall produce them as they are kept in the usual course
of business or shall organize and label them to correspond with the categories
in the request. Rule 34(b)
Physical and Mental Examinations Of Persons
When the mental or physical condition (including the blood group)
of a party, or of a person in the custody or under the legal control of
a party, is in controversy, the court in which the action is pending may
order the party to submit to a physical or mental examination by a physician
or psychologist or to produce for examination the person in the party's
custody or legal control. The order may be made only on motion for good
cause shown and upon notice to the person to be examined and to all parties
and shall specify the time, place, manner, conditions, and scope of the
examination and the person or persons by whom it is to be made. The person
to be examined shall have the right to have a representative present during
the examination, unless the presence of that representative may adversely
affect the outcome of the examination. The person to be examined shall
have the right to record by audiotape any physical examination. A mental
examination may be recorded by audiotape, unless such recording may adversely
affect the outcome of the examination. Upon good cause shown, a physical
or mental examination may be video-recorded. A copy of any record made
of a physical or mental examination shall be provided to any party upon
request. Rule 35(a)
(1) If requested by the party against whom an order is made under
Rule 35(a) or the person examined, the party causing the examination to
be made shall deliver to the requestor, within twenty days of the examination,
a copy of the detailed written report of the examining licensed professional
setting out the professional's findings, including the results of all tests
made, diagnoses and conditions, together with like reports of all earlier
examinations of the same condition and copies of all written or recorded
notes filed out by the examiner and the person examined at the time of the examination, providing
access to the original written or recorded notes for purposes of comparing
same with the copies. After delivery the party causing the examination
shall be entitled upon request to receive from the party against whom the
order is made a like report of any examination, previously or thereafter
made, of the same condition, unless, in the case of a report of examination
of a person not a party, the party shows that such party is unable to obtain
it. The court on motion may make an order against a party requiring delivery
of a report on such terms as are just, and if a physician or psychologist
fails or refuses to make a report the court may exclude the physician's
or psychologist's testimony if offered at the trial.
(2) By requesting and obtaining a report of the examination so
ordered or by taking the deposition of the examiner, the party examined
waives any privilege the party may have in that action or any other involving
the same controversy, regarding the testimony of every other person who
has examined or may thereafter examine the party in respect of the same
mental or physical condition.
(3) This subdivision applies to examinations made by agreement
of the parties, unless the agreement expressly provides otherwise.
This subdivision does not preclude discovery of a report of an examining
physician or psychologist or the taking of a deposition of the physician
or psychologist in accordance with the provisions of any other rule.
Rule 35(b)
Requests for Admissions
A party may serve upon any other party a written request for the
admission, for purposes of the pending action only, of the truth of any
matters within the scope of Rule 26(b) set forth in the request that relate
to statements or opinions of fact or of the application of law to fact,
including the genuineness of any documents described in the request. Copies
of documents shall be served with the request unless they have been or
are otherwise furnished or made available for inspection and copying. The
request may, without leave of court, be served upon the plaintiff after
commencement of the action and upon any other party with or after service
of the summons and complaint upon that party. Each matter of which an admission
is requested shall be separately set forth. The matter is admitted unless,
within (40) days after service of the request, or, in the case of a defendant,
within 60 days after service of the summons and complaint upon that defendant,
or execution of a waiver of service by that defendant, or within such shorter
or longer time as the court may allow, the party to whom the request is
directed serves upon the party requesting the admission a written answer
or objection addressed to the matter, signed by the party or by the party's
attorney. If objection is made, the reasons therefor shall be stated. The
answer shall specifically deny the matter or set forth in detail the reasons
why the answering party cannot truthfully admit or deny the matter. A denial
shall fairly meet the substance of the requested admission, and when good
faith requires that a party qualify an answer or deny only a part of the
matter of which an admission is requested, the party shall specify so much
of it as is true and qualify or deny the remainder. An answering party
may not give lack of information or knowledge as a reason for failure to
admit or deny unless the party states that the party has made reasonable
inquiry and that the information known or readily obtainable by the party
is insufficient to enable the party to admit or deny. A party who considers
that a matter of which an admission has been requested presents a genuine
issue for trial may not, on that ground alone, object to the request; the
party may, subject to the provisions of Rule 37(c), deny the matter or
set forth reasons why the party cannot admit or deny it. The party who
has requested the admissions may move to determine the sufficiency of the
answers or objections. Unless the court determines that an objection is
justified, it shall order that an answer be served. If the court determines
that an answer does not comply with the requirements of this rule, it may
order either that the matter is admitted or that an amended answer be served.
The court may, in lieu of these orders, determine that final disposition
of the request be made at a pre-trial conference or at a designated time
prior to trial. The provisions of Rule 37(a)(4) apply to the award of expenses
incurred inrelation to the motion. Rule 36(a)
Each request shall contain only one factual matter or request for
genuineness of all documents or categories of documents. Each party without
leave of court shall be entitled to submit no more than twenty-five (25)
requests in any case except upon: (1) agreement of all parties; (2) an
order of the court following a motion demonstrating good cause, or (3)
an order of the court following a Comprehensive Pretrial Conference pursuant
to Rule 16(c). Any interrogatories accompanying requests shall be deemed
interrogatories under Rule 33.1. Rule 36(b)
Compel Discovery
A party, upon reasonable notice to other parties and all persons
affected thereby, may apply for an order compelling disclosure or discovery
as follows:
(1) Appropriate court. An application for an order to a party may
be made to the court in the county in which the action is pending, or,
in matters relating to a deposition, to the court in the county where the
deposition is being taken. An application for an order to a person who
is not a party shall be made to the court in the county where the discovery
is being, or is to be, taken.
(2) Motion. (A) If a party fails to make a disclosure required
by Rule 26.1, any other party may move to compel disclosure and for appropriate
sanctions.
(B) If a deponent fails to answer a question propounded or submitted
under Rule 30 or 31, or a corporation or other entity fails to make a designation
under Rule 30(b)(6) or 31(a), or a party fails to answer an interrogatory
submitted under Rule 33, or if a party, in response to a request for inspection
submitted under Rule 34, fails to respond that inspection will be permitted
as requested or fails to permit inspection as requested, the discovering
party may move for an order compelling an answer, or a designation, or
an order compelling inspection in accordance with the request. When taking
a deposition on oral examination, the proponent of the question may complete
or adjourn the examination before applying for an order. Rule 37(a)
Domestic Actions Discovery Notes
If you require extra time to respond to discovery, you should ask
the other side for an extension in writing. It may also be necessary
to enter an order granting the extension to protect your rights.
Discovery questions are limited in number so select the most important
questions to ask the other side. Don't waste your requests writing
questions that you already know the answer to.