This is a sample set of 28 Interrogatories from Plaintiff to Defendant for use in connection with a vehicle incident, such as an automobile accident.
This is a sample set of 28 Interrogatories from Plaintiff to Defendant for use in connection with a vehicle incident, such as an automobile accident.
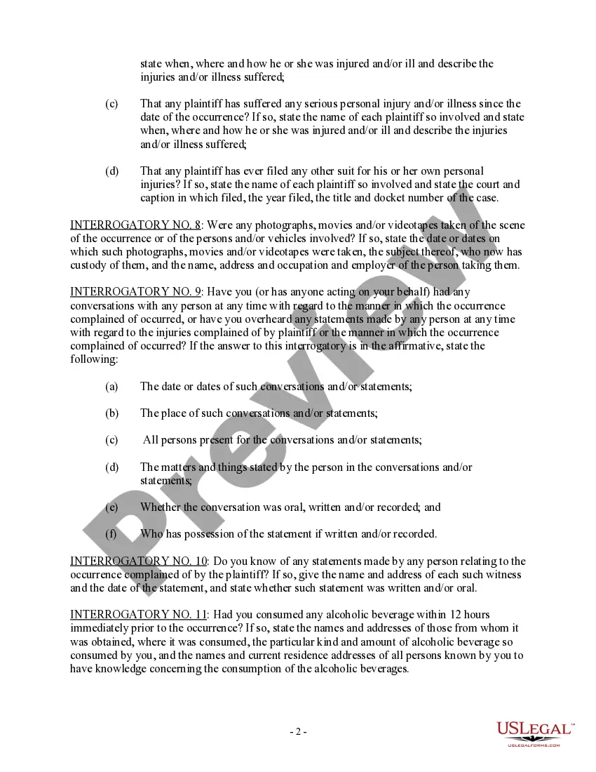
Interrogatories to Plaintiff for Motor Vehicle Occurrence
Voir Dire Questions (Civil)
DNCP 4. Checklist for Plaintiff
DWCD 11. Pretrial Disclosures
DWCP 4. Checklist for Plaintiff
Release of Claims for Future Accidental Injuries or Death by Parent or Guardian of Minor Child Regarding a Church Youth Group Ski Outing
Assignment of Money Due
Job Acceptance Letter for Model
Petition For Writ Of Habeas Corpus By Person In State Custody - Lack of Voluntariness - Ineffective Assistance of Counsel
Affidavit of Facts Pertaining to Assumed Name Certificate Withdrawal
18 U.S.C. Sec. 1956(A)(1)(A)(I) MONEY LAUNDERING - PROMOTING UNLAWFUL ACTIVITY
Building Security Services Agreement
Contract with Independent Contractor with Confidentiality Agreement
Release of Lis Pendens
Affidavit of Defendant Spouse in Support of Motion to Amend or Strike Alimony Provisions of Divorce Decree on Remarriage of Plaintiff
Use US Legal Forms to get a printable Wyoming Interrogatories to Defendant for Motor Vehicle Accident. Our court-admissible forms are drafted and regularly updated by skilled attorneys. Our’s is the most comprehensive Forms catalogue online and provides reasonably priced and accurate templates for customers and attorneys, and SMBs. The documents are categorized into state-based categories and a number of them can be previewed prior to being downloaded.
To download templates, customers must have a subscription and to log in to their account. Hit Download next to any form you want and find it in My Forms.
For individuals who don’t have a subscription, follow the following guidelines to quickly find and download Wyoming Interrogatories to Defendant for Motor Vehicle Accident:
US Legal Forms provides a large number of legal and tax samples and packages for business and personal needs, including Wyoming Interrogatories to Defendant for Motor Vehicle Accident. More than three million users already have used our service successfully. Choose your subscription plan and get high-quality forms in a few clicks.
The plaintiff must respond by the deadline. There are different ways to make sure you get each kind of discovery if the plaintiff does not give it to you by the deadline. If the plaintiff does not respond to the court order, then you can file a Motion to Dismiss and you may win your case.
Responding to Form InterrogatoriesAnswer each question, being careful to answer each subpart, if one exists. Read the question carefully, and answer only what it asks. You may attach exhibits, if necessary. The response must be verified, meaning you must swear that the responses given are true.
(1) Number. Unless otherwise stipulated or ordered by the court, a party may serve on any other party no more than 25 written interrogatories, including all discrete subparts. Leave to serve additional interrogatories may be granted to the extent consistent with Rule 26(b)(1) and (2).
In short, the Examination for Discovery is a legal term for fact finding. This step is also known simply as discovery. It can also be described as a deposition or as an oral interrogatory. The discovery process allows both parties to gather important information to assess the validity of a claim.
So, can you refuse to answer interrogatories? The answer is, no, you may not. You must answer a Rule 33 interrogatory within 30 days of being served with it. That answer must either permit inspection of the requested information or object to the production of the information for a specific reason.
You must answer each interrogatory separately and fully in writing under oath, unless you object to it. You must explain why you object. You must sign your answers and objections.
The number of questions included in an interrogatory is usually limited by court rule. For example, under the Federal Rules of Civil Procedure, each party may only ask each other party 25 questions via interrogatory unless the court gives permission to ask more.
Motions to Compel If a party doesn't respond to interrogatories or requests for production, then the party seeking those answers must file a motion to compel with the court. If the court grants the motion to compel, then the party who objected or failed to answer must then do so.
Your answers to the interrogatories should usually be short, clear, and direct and should answer only the question that is being asked. This is not the time to set out your entire case or defense to the other side. Take the time to make sure your answers are correct and truthful.
Authority to Borrow Money from Bank - Certificate of Corporate Vote and Resolution Form - Corporate Resolutions
Release and Settlement Agreement
Agreement between Sales Agent and Manufacturer - Distributor
Certificate by Interpreter as to Translation of a Release
Resolutions - General
Note: This summary is not intended to be an all inclusive summary of discovery law in Wyoming, but does include basic and other information.
Definitions
Discovery:
A procedure designed to allow disclosure of information between Plaintiffs and Defendants. Written questions, oral questioning, document production and admissions requests are generally allowed. Discovery was designed to to prevent trial by ambush.
Interrogatories:
Written questions from Plaintiff to Defendant, or from Defendant to Plaintiff. The questions are mailed to the Plaintiff, Defendant or the attorney for response in writing. The answers or responses are usually due between 20-30 days.
Deposition:
A procedure where verbal questions are asked a Plaintiff or Defendant for immediate response. Depositions are usually recorded by a court reporter, who swears the person to tell the truth before questioning begins.
Production of Documents:
The method of obtaining documents from the other party relevant to the case such as all documents a party intends to introduce at trial.
Requests for Admissions:
Written questions where you request the other party to admit or deny some relevant fact.
Objections:
Objections may be made to all discovery questions if the questions are not relevant, or likely to lead to the discovery of relevant evidence.
Civil Procedure Rules:
Virtually all states have adopted a version of civil procedure rules which include rules dealing with discovery.
Wyoming Rules of Civil Procedure
Wyoming has adopted the Wyoming Rules of Civil Procedure which contain rules governing discovery.
Discovery Methods:
Parties may obtain discovery by one or more of the following methods:(1) Depositions upon oral examination or written questions; (2) Written interrogatories; (3) Production of documents or things or permission to enter upon land or other property, for inspection and other purposes; (4) Physical and mental examinations; and (5) Requests for admission. Rule 26(a)
Scope:
Unless otherwise limited by order of the court in accordance with these rules, the scope of discovery is as follows: (1)(A) In General. Parties may obtain discovery regarding any matter, not privileged, which is relevant to the subject matter involved in the pending action, whether it relates to the claim or defense of the party seeking discovery or to the claim or defense of any other party, including the existence, description, nature, custody, condition and location of any books, documents, or other tangible things and the identity and location of persons having knowledge of any discoverable matter. It is not ground for objection that the information sought will be inadmissible at the trial if the information sought appears reasonably calculated to lead to the discovery of admissible evidence. Rule 26(b)
Limitations:
The frequency or extent of use of the discovery methods set forth in subdivision (a) may be limited by the court if it determines that: (i) the discovery sought is unreasonably cumulative or duplicative, or is obtainable from some other source that is more convenient, less burdensome, or less expensive; (ii) the party seeking discovery has had ample opportunity by discovery in the action to obtain the information sought; or (iii) the discovery is unduly burdensome or expensive, taking into account the needs of the case, the amount in controversy, limitations on the parties' resources, and the importance of the issues at stake in the litigation. The court may act upon its own initiative after reasonable notice or pursuant to a motion under subdivision(c).
Rule 26(b)
Experts:
Discovery of facts known and opinions held by experts, otherwise discoverable under the provisions of subdivision (b)(1) and acquired or developed in anticipation of litigation or for trial, may be obtained only as follows:
(A)(i) A party may through interrogatories require any other party to identify each person whom the other party expects to call as an expert witness at trial, to state the subject matter on which the expert is expected to testify, and to state the substance of the facts and opinions to which the expert is expected to testify and a summary of the grounds for each opinion.
(ii) A party may depose any person who has been identified as an expert whose opinions may be presented at trial. Upon motion, the court may order further discovery by other means. Such deposition or other discovery is subject to such restrictions as to scope and such provisions, pursuant to subdivision (b)(4)(C), concerning fees and expenses as the court may deem appropriate.
(B) A party may discover facts known or opinions held by an expert who has been retained or specially employed by another party in anticipation of litigation or preparation for trial and who is not expected to be called as a witness at trial, only as provided in Rule 35(b) or upon a showing of exceptional circumstances under which it is impracticable for the party seeking discovery to obtain facts or opinions on the same subject by other means.
(C) Unless manifest injustice would result:
(i) The court shall require that the party seeking discovery pay the expert a reasonable fee for time spent in responding to discovery under subdivisions (b)(4)(A)(ii) and (b)(4)(B); and
(ii) With respect to discovery obtained under subdivision (b)(4)(A)(ii) the court may require, and with respect to discovery obtained under subdivision (b)(4)(B) the court shall require, the party seeking discovery to pay the other party a fair portion of the fees and expenses reasonably incurred by the latter party in obtaining facts and opinions from the expert. 26(b)(4)
Supplementation of Responses:
A party who has responded to a request for discovery with a response that was complete when made is under no duty to supplement the response to include information thereafter acquired, except as follows:
(1) A party is under a duty seasonably to supplement the response with respect to any question directly addressed to:
(A) The identity and location of persons having knowledge of discoverable matters; and
(B) The identity of each person not theretofore identified expected to be called as an expert witness at trial, the subject matter on which the person is expected to testify, and the substance of the person's testimony;
(2) A party is under a duty seasonably to amend a prior response to an interrogatory, request for production, or request for admission if the party learns that the response is in some material respect incomplete or incorrect and if the additional or corrective information has not otherwise been made known to the other parties during the discovery process or in writing.
(3) A duty to supplement responses may be imposed by order of the court, agreement of the parties, or at any time prior to trial through new requests for supplementation of prior responses.
Rule 26(e)
Discovery conference:
At any time after commencement of an action the court may direct the attorneys for the parties to appear before it for a conference on the subject of discovery. Rule 26(f)
Before Whom Depositions May Be Taken:
Within the United States.
Within the United States or within a territory or insular possession subject to the jurisdiction of the United States, depositions shall be taken before an officer authorized to administer oaths by the laws of this state or of the United States or of the place where the examination is held, or before a person appointed by the court in which the action is pending. A person so appointed has power to administer oaths and take testimony. The term "officer" as used in Rules 30, 31 and 32 includes a person appointed by the court or designated by the parties under Rule 29. Rule 28(a)
Foreign Countries.
Depositions may be taken in a foreign country (1) pursuant to any applicable treaty or convention, or (2) pursuant to a letter of request (whether or not captioned a letter rogatory), or (3) on notice before a person authorized to administer oaths in the place in which the examination is held, either by the law thereof or by the law of the United States, or (4) before a person commissioned by the court, and a person so commissioned shall have the power by virtue of the commission to administer any necessary oath and take testimony. A commission or a letter of request shall be issued on application and notice and on terms that are just and appropriate. It is not requisite to the issuance of a commission or a letter of request that the taking of the deposition in any other manner is impracticable or inconvenient; and both a commission and a letter of request may be issued in proper cases. A notice or commission may designate the person before whom the deposition is to be taken either by name or descriptive title. A letter of request may be addressed "To the Appropriate Authority in [here name the country]". When a letter of request or any other device is used pursuant to any applicable treaty or convention, it shall be captioned in the form prescribed by that treaty or convention. Evidence obtained in response to a letter of request need not be excluded merely because it is not a verbatim transcript, because the testimony was not taken under oath, or because of any similar departure from the requirements for depositions taken within the United States under these rules. Rule 28(b)
Stipulations:
Unless the court orders otherwise, the parties may by written stipulation:
(1) Provide that depositions may be taken before any person, at any time or place, upon any notice, and in any manner and when so taken may be used like other depositions; and
(2) Modify other procedures governing or limitations placed upon discovery, except that stipulations extending the time provided in Rules 33, 34, and 36 for responses to discovery may, if they would interfere with any time set for completion of discovery, for hearing of a motion, or for trial, be made only with the approval of the court. Rule 29
Depositions:
When depositions may be taken; when leave required.
(1) A party may take the testimony of any person, including a party, by deposition upon oral examination without leave of court except as provided in paragraph (2). The attendance of witnesses may be compelled by subpoena as provided in Rule 45.
(2) A party must obtain leave of court, which shall be granted to the extent consistent with the principles stated in Rule 26(b)(1)(B), if the person to be examined is confined in prison or if, without the written stipulation of the parties:
(A) A proposed deposition would result in more than 10 depositions being taken under this rule or Rule 31 by the plaintiffs, or by the defendants, or by third-party defendants;
(B) The person to be examined already has been deposed in the case; or
(C) The plaintiff seeks to take a deposition prior to the expiration of 30 days after service of the summons and complaint upon any defendant or service made under Rule 4(e), except that such leave is not required (i) if a defendant has served a notice of taking deposition or otherwise sought discovery; or (ii) if special notice is given as provided in subdivision (b)(3). Rule 30(a)
Notice of Examination:
A party desiring to take the deposition of any person upon oral examination shall give reasonable notice in writing to every other party to the action. The notice shall state the time and place for taking the deposition and the name and address of each person to be examined, if known, and, if the name is not known, a general description sufficient to identify the person or the particular class or group to which the person belongs.
Rule 30(b)(1)
Interrogatories
Availability. Without leave of court or written stipulation, any party may serve upon any other party written interrogatories, not exceeding 30 in number including all discrete subparts, to be answered by the party served or, if the party served is a public or private corporation or a partnership or association or governmental agency, by any officer or agent, who shall furnish such information as is available to the party. Leave to serve additional interrogatories shall be granted to the extent consistent with the principles of Rule 26(b)(1)(B). Rule 33(a)
Answers and objections.
(1) Each interrogatory shall be answered separately and fully in writing under oath, unless it is objected to, in which event the objecting party shall state the reasons for objection and shall answer to the extent the interrogatory is not objectionable.
(2) The answers are to be signed by the person making them, and the objections signed by the attorney making them.
(3) The party upon whom the interrogatories have been served shall serve a copy of the answers, and objections if any, within 30 days after the service of the interrogatories, except that a defendant may serve answers or objections within 45 days after service of the summons and complaint upon that defendant. A shorter or longer time may be directed by the court or, in the absence of such an order, agreed to in writing by the parties subject to Rule 29.
(4) All grounds for an objection to an interrogatory shall be stated with specificity. Any ground not stated in a timely objection is waived unless the party's failure to object is excused by the court for good cause shown.
(5) The party submitting the interrogatories may move for an order under Rule 37(a) with respect to any objection to or other failure to answer an interrogatory. Rule 33(b)
Scope;use at trial.
Interrogatories may relate to any matters which can be inquired into under Rule 26(b), and the answers may be used to the extent permitted by the rules of evidence.
An interrogatory otherwise proper is not necessarily objectionable merely because an answer to the interrogatory involves an opinion or contention that relates to fact or the application of law to fact, but the court may order that such an interrogatory need not be answered until after designated discovery has been completed or until a pretrial conference or other later time. Rule 33(c)
Production
Scope.
Any party may serve on any other party a request:
(1) To produce and permit the party making the request, or someone acting on the requestor's behalf, to inspect and copy, any designated documents (including writings, drawings, graphs, charts, photographs, phono-records, and other data compilations from which information can be obtained, translated, if necessary, by the respondent through detection devices into reasonably usable form), or to inspect and copy, test, or sample any tangible things which constitute or contain matters within the scope of Rule 26(b) and which are in the possession, custody or control of the party upon whom the request is served; or
(2) To permit entry upon designated land or other property in the possession or control of the party upon whom the request is served for the purpose of inspection and measuring, surveying, photographing, testing, or sampling the property or any designated object or operation thereon, within the scope of Rule 26(b). Rule 38(a)
Procedure.
The request may, without leave of court, be served upon the plaintiff after commencement of the action and upon any other party with or after service of the summons and complaint upon that party. The request shall set forth, either by individual item or by category, the items to be inspected, and describe each with reasonable particularity. The request shall specify a reasonable time, place, and manner of making the inspection and performing the related acts.
The party upon whom the request is served shall serve a written response within 30 days after the service of the request, except that a defendant may serve a response within 45 days after service of the summons and complaint upon that defendant. A shorter or longer time may be directed by the court or, in the absence of such an order, agreed to in writing by the parties, subject to Rule 29. The response shall state, with respect to each item or category, that inspection and related activities will be permitted as requested, unless the request is objected to, in which event the reasons for objection shall be stated. If objection is made to part of an item or category, the part shall be specified and inspection permitted of the remaining parts. The party submitting the request may move for an order under Rule 37(a) with respect to any objection to or other failure to respond to the request or any part thereof, or any failure to permit inspection as requested.
A party who produces documents for inspection shall produce them as they are kept in the usual course of business or shall organize and label them to correspond with the categories in the request. Rule 38(b)
Physical and Mental Examination of Persons.
Order for examination.
When the mental or physical condition (including the blood group) of a party, or of a person in the custody or under the legal control of a party, is in controversy, the court in which the action is pending may order the party to submit to a physical or mental examination by a suitably licensed or certified examiner or to produce for examination the person in the party's custody or legal control. The order may be made only on motion for good cause shown and upon notice to the person to be examined and to all parties and shall specify the time, place, manner, conditions, and scope of the examination and the person or persons by whom it is to be made. Rule 35(a)
Report Of Examiner.
(1) If requested by the party against whom an order is made under Rule 35(a) or the person examined, the party causing the examination to be made shall deliver to the requesting party a copy of a detailed written report of the examiner setting out the examiner's findings, including results of all tests made, diagnoses and conclusions, together with like reports of all earlier examinations of the same condition. After delivery the party causing the examination shall be entitled upon request to receive from the party against whom the order is made a like report of any examination, previously or thereafter made, of the same condition, unless, in the case of a report of examination of a person not a party, the party shows that the party is unable to obtain it. The court on motion may make an order against a party requiring delivery of a report on such terms as are just, and if an examiner fails or refuses to make a report the court may exclude the examiner's testimony if offered at the trial.
(2) By requesting and obtaining a report of the examination so ordered or by taking the deposition of the examiner, the party examined waives any privilege the party may have in that action or any other involving the same controversy, regarding the testimony of every other person who has examined or may thereafter examine the party in respect of the same mental or physical condition.
(3) This subdivision applies to examinations made by agreement of the parties, unless the agreement expressly provides otherwise. This subdivision does not preclude discovery of a report of an examiner or the taking of a deposition of the examiner in accordance with the provisions of any other rule. Rule 35(b)
Requests for Admissions
Request for admission.
A party may serve upon any other party a written request for the admission, for purposes of the pending action only, of the truth of any matters within the scope of Rule 26(b) set forth in the request that relate to statements or opinions of fact or of the application of law to fact, including the genuineness of any documents described in the request. Copies of documents shall be served with the request unless they have been or are otherwise furnished or made available for inspection and copying. The request may, without leave of court, be served upon the plaintiff after commencement of the action and upon any other party with or after service of the summons and complaint upon that party.
Each matter of which an admission is requested shall be separately set forth. The matter is admitted unless, within 30 days after service of the request, or within such shorter or longer time as the court may allow, the party to whom the request is directed serves upon the party requesting the admission a written answer or objection addressed to the matter, signed by the party or by the party's attorney, but, unless the court shortens the time, a defendant shall not be required to serve answers or objections before the expiration of 45 days after service of the summons and complaint upon that defendant. If objection is made, the reasons therefor shall be stated. The answer shall specifically deny the matter or set forth in detail the reasons why the answering party cannot truthfully admit or deny the matter. A denial shall fairly meet the substance of the requested admission, and when good faith requires that a party qualify an answer or deny only a part of the matter of which an admission is requested, the party shall specify so much of it as is true and qualify or deny the remainder. An answering party may not give lack of information or knowledge as a reason for failure to admit or deny unless the party states that the party has made reasonable inquiry and that the information known or readily obtainable by the party is insufficient to enable the party to admit or deny. A party who considers that a matter of which an admission has been requested presents a genuine issue for trial may not, on that ground alone, object to the request; the party may, subject to the provisions of Rule 37(c), deny the matter or set forth reasons why the party cannot admit or deny it. Rule 36(a)
Motion For Order Compelling Discovery
Motion for order compelling discovery.
A party, upon reasonable notice to other parties and all persons affected thereby, may apply for an order compelling discovery as follows:
(1) Appropriate Court. An application for an order to a party shall be made to the court in which the action is pending. An application for an order to a person who is not a party shall be made to the court where the discovery is being, or is to be, taken.
(2) Motion. If a deponent fails to answer a question propounded or submitted under Rule 30 or 31, or a corporation or other entity fails to make a designation under Rule 30(b)(6) or 31(a), or a party fails to answer an interrogatory submitted under Rule 33, or if a party, in response to a request for inspection submitted under Rule 34, fails to respond that inspection will be permitted as requested or fails to permit inspection as requested, the discovering party may move for an order compelling an answer, or a designation, or an order compelling inspection in accordance with the request. The motion must include a certification that the movant has in good faith conferred or attempted to confer with the person or party failing to make the discovery in an effort to secure the information or material without court action. When taking a deposition on oral examination, the proponent of the question may complete or adjourn the examination before applying for an order. Rule 37(a)
Domestic Actions Discovery Notes
If you require extra time to respond to discovery, you should ask the other side for an extension in writing. It may also be necessary to enter an order granting the extension to protect your rights.
Discovery questions are limited in number so select the most important questions to ask the other side. Don't waste your requests writing questions that you already know the answer to.
Note: This summary is not intended to be an all inclusive summary of discovery law in Wyoming, but does include basic and other information.
Definitions
Discovery:
A procedure designed to allow disclosure of information between Plaintiffs and Defendants. Written questions, oral questioning, document production and admissions requests are generally allowed. Discovery was designed to to prevent trial by ambush.
Interrogatories:
Written questions from Plaintiff to Defendant, or from Defendant to Plaintiff. The questions are mailed to the Plaintiff, Defendant or the attorney for response in writing. The answers or responses are usually due between 20-30 days.
Deposition:
A procedure where verbal questions are asked a Plaintiff or Defendant for immediate response. Depositions are usually recorded by a court reporter, who swears the person to tell the truth before questioning begins.
Production of Documents:
The method of obtaining documents from the other party relevant to the case such as all documents a party intends to introduce at trial.
Requests for Admissions:
Written questions where you request the other party to admit or deny some relevant fact.
Objections:
Objections may be made to all discovery questions if the questions are not relevant, or likely to lead to the discovery of relevant evidence.
Civil Procedure Rules:
Virtually all states have adopted a version of civil procedure rules which include rules dealing with discovery.
Wyoming Rules of Civil Procedure
Wyoming has adopted the Wyoming Rules of Civil Procedure which contain rules governing discovery.
Discovery Methods:
Parties may obtain discovery by one or more of the following methods:(1) Depositions upon oral examination or written questions; (2) Written interrogatories; (3) Production of documents or things or permission to enter upon land or other property, for inspection and other purposes; (4) Physical and mental examinations; and (5) Requests for admission. Rule 26(a)
Scope:
Unless otherwise limited by order of the court in accordance with these rules, the scope of discovery is as follows: (1)(A) In General. Parties may obtain discovery regarding any matter, not privileged, which is relevant to the subject matter involved in the pending action, whether it relates to the claim or defense of the party seeking discovery or to the claim or defense of any other party, including the existence, description, nature, custody, condition and location of any books, documents, or other tangible things and the identity and location of persons having knowledge of any discoverable matter. It is not ground for objection that the information sought will be inadmissible at the trial if the information sought appears reasonably calculated to lead to the discovery of admissible evidence. Rule 26(b)
Limitations:
The frequency or extent of use of the discovery methods set forth in subdivision (a) may be limited by the court if it determines that: (i) the discovery sought is unreasonably cumulative or duplicative, or is obtainable from some other source that is more convenient, less burdensome, or less expensive; (ii) the party seeking discovery has had ample opportunity by discovery in the action to obtain the information sought; or (iii) the discovery is unduly burdensome or expensive, taking into account the needs of the case, the amount in controversy, limitations on the parties' resources, and the importance of the issues at stake in the litigation. The court may act upon its own initiative after reasonable notice or pursuant to a motion under subdivision(c).
Rule 26(b)
Experts:
Discovery of facts known and opinions held by experts, otherwise discoverable under the provisions of subdivision (b)(1) and acquired or developed in anticipation of litigation or for trial, may be obtained only as follows:
(A)(i) A party may through interrogatories require any other party to identify each person whom the other party expects to call as an expert witness at trial, to state the subject matter on which the expert is expected to testify, and to state the substance of the facts and opinions to which the expert is expected to testify and a summary of the grounds for each opinion.
(ii) A party may depose any person who has been identified as an expert whose opinions may be presented at trial. Upon motion, the court may order further discovery by other means. Such deposition or other discovery is subject to such restrictions as to scope and such provisions, pursuant to subdivision (b)(4)(C), concerning fees and expenses as the court may deem appropriate.
(B) A party may discover facts known or opinions held by an expert who has been retained or specially employed by another party in anticipation of litigation or preparation for trial and who is not expected to be called as a witness at trial, only as provided in Rule 35(b) or upon a showing of exceptional circumstances under which it is impracticable for the party seeking discovery to obtain facts or opinions on the same subject by other means.
(C) Unless manifest injustice would result:
(i) The court shall require that the party seeking discovery pay the expert a reasonable fee for time spent in responding to discovery under subdivisions (b)(4)(A)(ii) and (b)(4)(B); and
(ii) With respect to discovery obtained under subdivision (b)(4)(A)(ii) the court may require, and with respect to discovery obtained under subdivision (b)(4)(B) the court shall require, the party seeking discovery to pay the other party a fair portion of the fees and expenses reasonably incurred by the latter party in obtaining facts and opinions from the expert. 26(b)(4)
Supplementation of Responses:
A party who has responded to a request for discovery with a response that was complete when made is under no duty to supplement the response to include information thereafter acquired, except as follows:
(1) A party is under a duty seasonably to supplement the response with respect to any question directly addressed to:
(A) The identity and location of persons having knowledge of discoverable matters; and
(B) The identity of each person not theretofore identified expected to be called as an expert witness at trial, the subject matter on which the person is expected to testify, and the substance of the person's testimony;
(2) A party is under a duty seasonably to amend a prior response to an interrogatory, request for production, or request for admission if the party learns that the response is in some material respect incomplete or incorrect and if the additional or corrective information has not otherwise been made known to the other parties during the discovery process or in writing.
(3) A duty to supplement responses may be imposed by order of the court, agreement of the parties, or at any time prior to trial through new requests for supplementation of prior responses.
Rule 26(e)
Discovery conference:
At any time after commencement of an action the court may direct the attorneys for the parties to appear before it for a conference on the subject of discovery. Rule 26(f)
Before Whom Depositions May Be Taken:
Within the United States.
Within the United States or within a territory or insular possession subject to the jurisdiction of the United States, depositions shall be taken before an officer authorized to administer oaths by the laws of this state or of the United States or of the place where the examination is held, or before a person appointed by the court in which the action is pending. A person so appointed has power to administer oaths and take testimony. The term "officer" as used in Rules 30, 31 and 32 includes a person appointed by the court or designated by the parties under Rule 29. Rule 28(a)
Foreign Countries.
Depositions may be taken in a foreign country (1) pursuant to any applicable treaty or convention, or (2) pursuant to a letter of request (whether or not captioned a letter rogatory), or (3) on notice before a person authorized to administer oaths in the place in which the examination is held, either by the law thereof or by the law of the United States, or (4) before a person commissioned by the court, and a person so commissioned shall have the power by virtue of the commission to administer any necessary oath and take testimony. A commission or a letter of request shall be issued on application and notice and on terms that are just and appropriate. It is not requisite to the issuance of a commission or a letter of request that the taking of the deposition in any other manner is impracticable or inconvenient; and both a commission and a letter of request may be issued in proper cases. A notice or commission may designate the person before whom the deposition is to be taken either by name or descriptive title. A letter of request may be addressed "To the Appropriate Authority in [here name the country]". When a letter of request or any other device is used pursuant to any applicable treaty or convention, it shall be captioned in the form prescribed by that treaty or convention. Evidence obtained in response to a letter of request need not be excluded merely because it is not a verbatim transcript, because the testimony was not taken under oath, or because of any similar departure from the requirements for depositions taken within the United States under these rules. Rule 28(b)
Stipulations:
Unless the court orders otherwise, the parties may by written stipulation:
(1) Provide that depositions may be taken before any person, at any time or place, upon any notice, and in any manner and when so taken may be used like other depositions; and
(2) Modify other procedures governing or limitations placed upon discovery, except that stipulations extending the time provided in Rules 33, 34, and 36 for responses to discovery may, if they would interfere with any time set for completion of discovery, for hearing of a motion, or for trial, be made only with the approval of the court. Rule 29
Depositions:
When depositions may be taken; when leave required.
(1) A party may take the testimony of any person, including a party, by deposition upon oral examination without leave of court except as provided in paragraph (2). The attendance of witnesses may be compelled by subpoena as provided in Rule 45.
(2) A party must obtain leave of court, which shall be granted to the extent consistent with the principles stated in Rule 26(b)(1)(B), if the person to be examined is confined in prison or if, without the written stipulation of the parties:
(A) A proposed deposition would result in more than 10 depositions being taken under this rule or Rule 31 by the plaintiffs, or by the defendants, or by third-party defendants;
(B) The person to be examined already has been deposed in the case; or
(C) The plaintiff seeks to take a deposition prior to the expiration of 30 days after service of the summons and complaint upon any defendant or service made under Rule 4(e), except that such leave is not required (i) if a defendant has served a notice of taking deposition or otherwise sought discovery; or (ii) if special notice is given as provided in subdivision (b)(3). Rule 30(a)
Notice of Examination:
A party desiring to take the deposition of any person upon oral examination shall give reasonable notice in writing to every other party to the action. The notice shall state the time and place for taking the deposition and the name and address of each person to be examined, if known, and, if the name is not known, a general description sufficient to identify the person or the particular class or group to which the person belongs.
Rule 30(b)(1)
Interrogatories
Availability. Without leave of court or written stipulation, any party may serve upon any other party written interrogatories, not exceeding 30 in number including all discrete subparts, to be answered by the party served or, if the party served is a public or private corporation or a partnership or association or governmental agency, by any officer or agent, who shall furnish such information as is available to the party. Leave to serve additional interrogatories shall be granted to the extent consistent with the principles of Rule 26(b)(1)(B). Rule 33(a)
Answers and objections.
(1) Each interrogatory shall be answered separately and fully in writing under oath, unless it is objected to, in which event the objecting party shall state the reasons for objection and shall answer to the extent the interrogatory is not objectionable.
(2) The answers are to be signed by the person making them, and the objections signed by the attorney making them.
(3) The party upon whom the interrogatories have been served shall serve a copy of the answers, and objections if any, within 30 days after the service of the interrogatories, except that a defendant may serve answers or objections within 45 days after service of the summons and complaint upon that defendant. A shorter or longer time may be directed by the court or, in the absence of such an order, agreed to in writing by the parties subject to Rule 29.
(4) All grounds for an objection to an interrogatory shall be stated with specificity. Any ground not stated in a timely objection is waived unless the party's failure to object is excused by the court for good cause shown.
(5) The party submitting the interrogatories may move for an order under Rule 37(a) with respect to any objection to or other failure to answer an interrogatory. Rule 33(b)
Scope;use at trial.
Interrogatories may relate to any matters which can be inquired into under Rule 26(b), and the answers may be used to the extent permitted by the rules of evidence.
An interrogatory otherwise proper is not necessarily objectionable merely because an answer to the interrogatory involves an opinion or contention that relates to fact or the application of law to fact, but the court may order that such an interrogatory need not be answered until after designated discovery has been completed or until a pretrial conference or other later time. Rule 33(c)
Production
Scope.
Any party may serve on any other party a request:
(1) To produce and permit the party making the request, or someone acting on the requestor's behalf, to inspect and copy, any designated documents (including writings, drawings, graphs, charts, photographs, phono-records, and other data compilations from which information can be obtained, translated, if necessary, by the respondent through detection devices into reasonably usable form), or to inspect and copy, test, or sample any tangible things which constitute or contain matters within the scope of Rule 26(b) and which are in the possession, custody or control of the party upon whom the request is served; or
(2) To permit entry upon designated land or other property in the possession or control of the party upon whom the request is served for the purpose of inspection and measuring, surveying, photographing, testing, or sampling the property or any designated object or operation thereon, within the scope of Rule 26(b). Rule 38(a)
Procedure.
The request may, without leave of court, be served upon the plaintiff after commencement of the action and upon any other party with or after service of the summons and complaint upon that party. The request shall set forth, either by individual item or by category, the items to be inspected, and describe each with reasonable particularity. The request shall specify a reasonable time, place, and manner of making the inspection and performing the related acts.
The party upon whom the request is served shall serve a written response within 30 days after the service of the request, except that a defendant may serve a response within 45 days after service of the summons and complaint upon that defendant. A shorter or longer time may be directed by the court or, in the absence of such an order, agreed to in writing by the parties, subject to Rule 29. The response shall state, with respect to each item or category, that inspection and related activities will be permitted as requested, unless the request is objected to, in which event the reasons for objection shall be stated. If objection is made to part of an item or category, the part shall be specified and inspection permitted of the remaining parts. The party submitting the request may move for an order under Rule 37(a) with respect to any objection to or other failure to respond to the request or any part thereof, or any failure to permit inspection as requested.
A party who produces documents for inspection shall produce them as they are kept in the usual course of business or shall organize and label them to correspond with the categories in the request. Rule 38(b)
Physical and Mental Examination of Persons.
Order for examination.
When the mental or physical condition (including the blood group) of a party, or of a person in the custody or under the legal control of a party, is in controversy, the court in which the action is pending may order the party to submit to a physical or mental examination by a suitably licensed or certified examiner or to produce for examination the person in the party's custody or legal control. The order may be made only on motion for good cause shown and upon notice to the person to be examined and to all parties and shall specify the time, place, manner, conditions, and scope of the examination and the person or persons by whom it is to be made. Rule 35(a)
Report Of Examiner.
(1) If requested by the party against whom an order is made under Rule 35(a) or the person examined, the party causing the examination to be made shall deliver to the requesting party a copy of a detailed written report of the examiner setting out the examiner's findings, including results of all tests made, diagnoses and conclusions, together with like reports of all earlier examinations of the same condition. After delivery the party causing the examination shall be entitled upon request to receive from the party against whom the order is made a like report of any examination, previously or thereafter made, of the same condition, unless, in the case of a report of examination of a person not a party, the party shows that the party is unable to obtain it. The court on motion may make an order against a party requiring delivery of a report on such terms as are just, and if an examiner fails or refuses to make a report the court may exclude the examiner's testimony if offered at the trial.
(2) By requesting and obtaining a report of the examination so ordered or by taking the deposition of the examiner, the party examined waives any privilege the party may have in that action or any other involving the same controversy, regarding the testimony of every other person who has examined or may thereafter examine the party in respect of the same mental or physical condition.
(3) This subdivision applies to examinations made by agreement of the parties, unless the agreement expressly provides otherwise. This subdivision does not preclude discovery of a report of an examiner or the taking of a deposition of the examiner in accordance with the provisions of any other rule. Rule 35(b)
Requests for Admissions
Request for admission.
A party may serve upon any other party a written request for the admission, for purposes of the pending action only, of the truth of any matters within the scope of Rule 26(b) set forth in the request that relate to statements or opinions of fact or of the application of law to fact, including the genuineness of any documents described in the request. Copies of documents shall be served with the request unless they have been or are otherwise furnished or made available for inspection and copying. The request may, without leave of court, be served upon the plaintiff after commencement of the action and upon any other party with or after service of the summons and complaint upon that party.
Each matter of which an admission is requested shall be separately set forth. The matter is admitted unless, within 30 days after service of the request, or within such shorter or longer time as the court may allow, the party to whom the request is directed serves upon the party requesting the admission a written answer or objection addressed to the matter, signed by the party or by the party's attorney, but, unless the court shortens the time, a defendant shall not be required to serve answers or objections before the expiration of 45 days after service of the summons and complaint upon that defendant. If objection is made, the reasons therefor shall be stated. The answer shall specifically deny the matter or set forth in detail the reasons why the answering party cannot truthfully admit or deny the matter. A denial shall fairly meet the substance of the requested admission, and when good faith requires that a party qualify an answer or deny only a part of the matter of which an admission is requested, the party shall specify so much of it as is true and qualify or deny the remainder. An answering party may not give lack of information or knowledge as a reason for failure to admit or deny unless the party states that the party has made reasonable inquiry and that the information known or readily obtainable by the party is insufficient to enable the party to admit or deny. A party who considers that a matter of which an admission has been requested presents a genuine issue for trial may not, on that ground alone, object to the request; the party may, subject to the provisions of Rule 37(c), deny the matter or set forth reasons why the party cannot admit or deny it. Rule 36(a)
Motion For Order Compelling Discovery
Motion for order compelling discovery.
A party, upon reasonable notice to other parties and all persons affected thereby, may apply for an order compelling discovery as follows:
(1) Appropriate Court. An application for an order to a party shall be made to the court in which the action is pending. An application for an order to a person who is not a party shall be made to the court where the discovery is being, or is to be, taken.
(2) Motion. If a deponent fails to answer a question propounded or submitted under Rule 30 or 31, or a corporation or other entity fails to make a designation under Rule 30(b)(6) or 31(a), or a party fails to answer an interrogatory submitted under Rule 33, or if a party, in response to a request for inspection submitted under Rule 34, fails to respond that inspection will be permitted as requested or fails to permit inspection as requested, the discovering party may move for an order compelling an answer, or a designation, or an order compelling inspection in accordance with the request. The motion must include a certification that the movant has in good faith conferred or attempted to confer with the person or party failing to make the discovery in an effort to secure the information or material without court action. When taking a deposition on oral examination, the proponent of the question may complete or adjourn the examination before applying for an order. Rule 37(a)
Domestic Actions Discovery Notes
If you require extra time to respond to discovery, you should ask the other side for an extension in writing. It may also be necessary to enter an order granting the extension to protect your rights.
Discovery questions are limited in number so select the most important questions to ask the other side. Don't waste your requests writing questions that you already know the answer to.