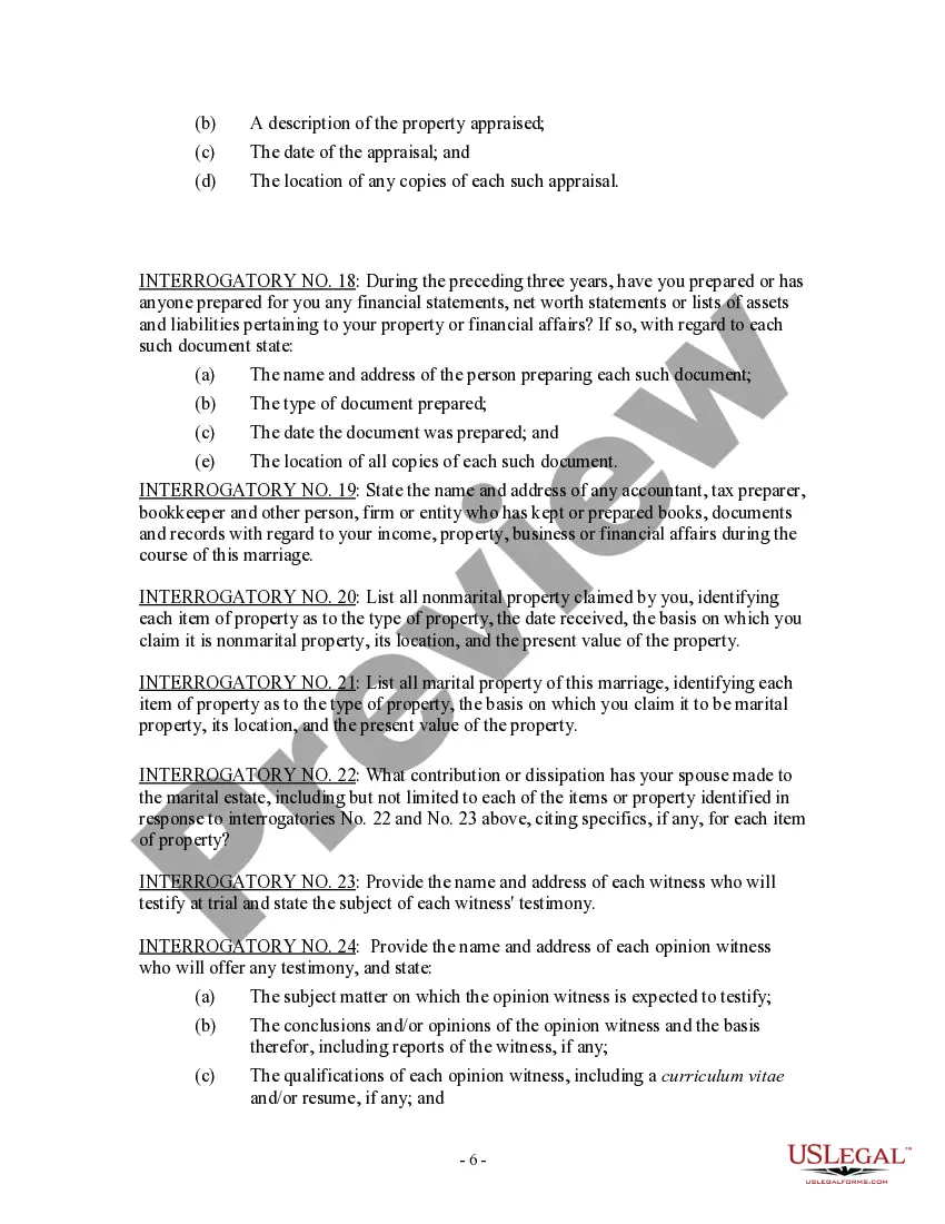
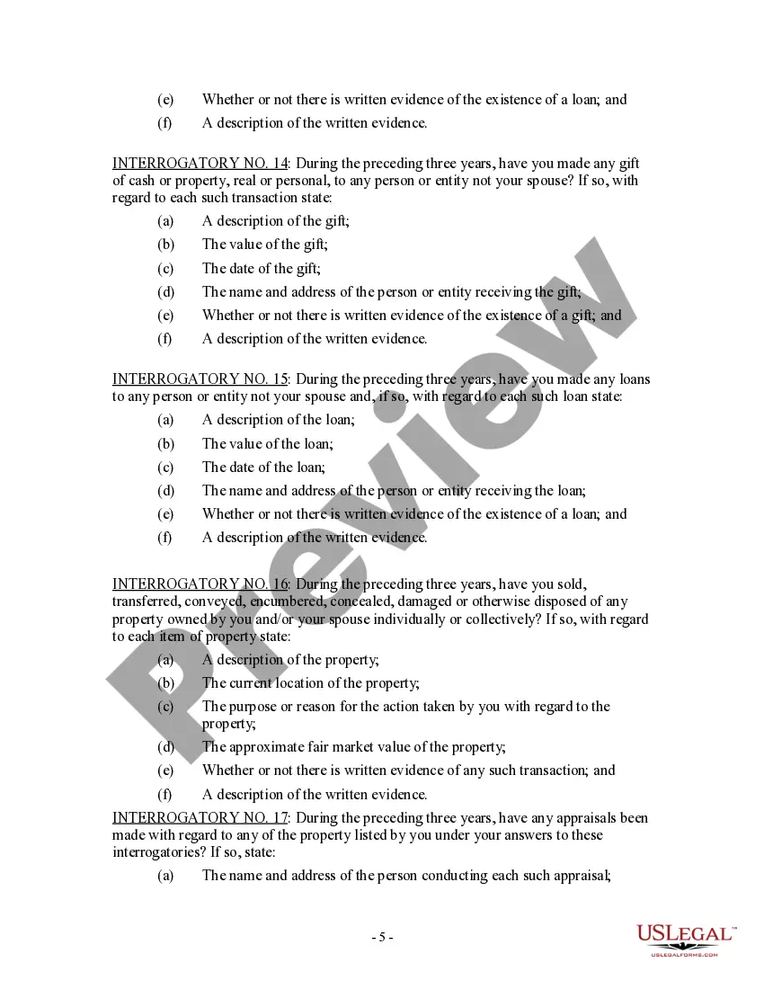
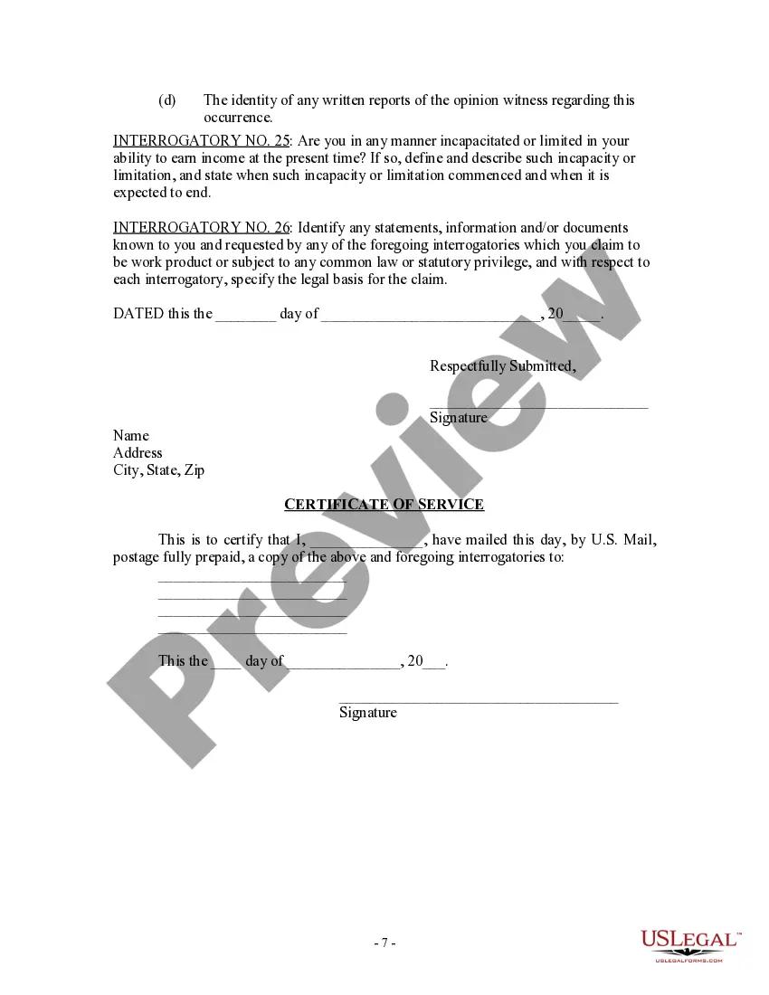
Discovery Interrogatories for Divorce Proceeding for either Plaintiff or Defendant
Note: This summary is not intended to be an all inclusive
summary of discovery law in West Virginia, but does include basic and other
information.
Definitions
Discovery:
A procedure designed to allow disclosure
of information between Plaintiffs and Defendants. Written questions,
oral questioning, document production and admissions requests are generally
allowed. Discovery was designed to to prevent trial by ambush.
Interrogatories:
Written questions from Plaintiff to Defendant, or from Defendant to Plaintiff. The questions are mailed to
the Plaintiff, Defendant or the attorney for response in writing. The answers
or responses are usually due between 20-30 days.
Deposition:
A procedure where verbal questions are
asked a Plaintiff or Defendant for immediate response. Depositions are
usually recorded by a court reporter, who swears the person to tell the
truth before questioning begins.
Production of Documents:
The method of obtaining documents from the other party relevant to the case such as all documents a party
intends to introduce at trial.
Requests for Admissions:
Written questions where you request the other party to admit or deny some relevant fact.
Objections:
Objections may be made to all discovery
questions if the questions are not relevant, or likely to lead to the discovery
of relevant evidence.
Civil Procedure Rules:
Virtually all states have adopted a version of civil procedure rules which include rules dealing with discovery.
West Virginia Rules of Civil Procedure
West Virginia has adopted the West Virginia Rules of Civil Procedure
which contain rules governing discovery. The discovery rules also
apply in divorce actions.
Discovery Methods:
Parties may obtain discovery by one or more of the following methods: Depositions upon oral examination or written
questions; written interrogatories; production of documents or things or
permission to enter upon land or other property for inspection and other
purposes; physical and mental examinations; and requests for admission.
Rule 26(a)
Scope:
Unless otherwise limited by order of the court in
accordance with these rules, the scope of discovery is as follows: (1) Parties
may obtain discovery regarding any matter, not privileged, which is relevant
to the subject matter involved in the pending action, whether it relates
to the claim or defense of the party seeking discovery or to the claim
or defense of any other party, including the existence, description, nature, custody, condition and location
of any books, documents or other tangible things and the identity and location
of persons having knowledge of any discoverable matter. It is not ground
for objection that the information sought will be inadmissible at the trial
if the information sought appears reasonably calculated to lead to the
discovery of admissible evidence.
The frequency or extent of use of the discovery methods set forth
in subdivision (a) shall be limited by the court if it determines that:
(i) The discovery sought is unreasonably cumulative or duplicative,
or is obtainable from some other source that is more convenient, less burdensome,
or less expensive;
(ii) The party seeking discovery has had ample opportunity by discovery
in the action to obtain the information sought; or
(iii) The discovery is unduly burdensome or expensive, taking into
account the needs of the case, the amount in controversy, limitations on
the parties' resources, and the importance of the issues at stake in the
litigation. The court may act upon its own initiative after reasonable
notice or pursuant to a motion under subdivision (c). Rule 26(b)
Experts:
Discovery of facts known and opinions held
by experts, otherwise discoverable under the provisions of subdivision
(b)(1) of this rule and acquired or developed in anticipation of litigation
or for trial, may be obtained only as follows:
(A) (i) A party may through interrogatories require any other party
to identify each person whom the other party expects to call as an expert
witness at trial, to state the subject matter on which the expert is expected
to testify, and to state the substance of the facts and opinions to which
the expert is expected to testify and a summary of the grounds for each
opinion.
(ii) Upon motion, the court may order further discovery by other
means, subject to such restrictions as to scope and such provisions, pursuant
to subdivision (b)(4)(C) of this rule, concerning fees and expenses as
the court may deem appropriate.
(B) A party may discover facts known or opinions held by an expert
who has been retained or specially employed by another party in anticipation
of litigation or preparation for trial and who is not expected to be called
as a witness at trial, only as provided in Rule 35(b) or upon a showing
of exceptional circumstances under which it is impracticable for the party
seeking discovery to obtain facts or opinions on the same subject by other
means.
(ii) With respect to discovery obtained under subdivision (b)(4)(A)
(ii) of this rule the court may require, and with respect to discovery
obtained under subdivision (b)(4)(B) of this rule the court shall require,
the party seeking discovery to pay the other party a fair portion of the
fees and expenses reasonably incurred by the latter party in obtaining
facts and opinions from the expert. Rule 26(b)(4)
Sequence and Timing of Discovery:
Unless the court upon motion, for the convenience of parties and witnesses and in the interests of justice,
orders otherwise, methods of discovery may be used in any sequence and the fact that a party is conducting
discovery, whether by deposition or otherwise, shall not operate to delay
any other party's discovery. Rule 26(d)
Supplementation of Responses:
A party who has responded to a request for discovery with a response that was complete when made is
under no duty to supplement his response to include information thereafter
acquired, except as follows:
(1) A party is under a duty seasonably to supplement
his response with respect to any question directly addressed to:
(2) A party is under a duty seasonably
to amend a prior response if he obtains information upon the basis of which:
(3) A duty to supplement responses
may be imposed by order of the court, agreement of the parties, or at any
time prior to trial through new requests for supplementation of prior responses.
If supplementation is not made as
required by this Rule, the court, upon motion or upon its own initiative,
may impose upon the person who failed to make the supplementation an appropriate
sanction as provided for under Rule 37. Rule 26(e)
Discovery Conference:
At any time after commencement of an action the court may direct the attorneys for the parties to appear before
it personally or by telephone for a conference on the subject of discovery.
The court shall do so upon motion by the attorney for any party if the motion includes:
(5) A statement showing that the
attorney making the motion has made a reasonable effort to reach agreement
with opposing attorneys on the matters set forth in the motion. Each party
and his attorney are under a duty to participate in good faith in the framing
of a discovery plan if a plan is proposed by the attorney for any party.
Notice of the motion shall be served on all parties. Objections or additions
to matters set forth in the motion shall be served not later than 10 days
after service of the motion.
Following the discovery conference, the court shall enter an order
tentatively identifying the issues for discovery purposes; establishing
a plan and schedule for discovery; setting limitations on discovery, if
any; and, determining such other matters, including the allocation of expenses,
as are necessary for the proper management of discovery in the action.
An order may be altered or amended whenever justice so requires. Subject
to the right of a party who properly moves for a discovery conference to
prompt convening of the conference, the court may combine the discovery
conference with a pretrial conference authorized by Rule 16.
Rule 26(f)
Before Whom Depositions May Be Taken:
Within the United States or within a territory or insular possession subject to the dominion of
the United States, depositions shall be taken before an officer
authorized to administer oaths by the laws of the United States or of this
State or of the place where the examination is held, or before a person
appointed by the court in which the action is pending. A person so appointed
has power to administer oaths and take testimony. The term officer as used
in Rules 30, 31 and 32 includes a person appointed by the court or designated
by the parties under Rule 29. Rule 28(a)
In a foreign country, depositions may be taken (1) on notice before
a person authorized to administer oaths in the place in which the examination
is held, either by the law thereof or by the law of the United States or
of this State, (2) before a person commissioned by the court, and a person
so commissioned shall have the power by virtue of his commission to administer
any necessary oath and take testimony, or (3) pursuant to a letter rogatory.
A commission or a letter rogatory shall be issued on application and notice
and on terms that are just and appropriate. It is not requisite to the
issuance of a commission or a letter rogatory that the taking of the deposition
in any other manner is impracticable or inconvenient; and both a commission
and a letter rogatory may be issued in proper cases. A notice or commission
may designate the person before whom the deposition is to be taken either
by name or descriptive title. A letter rogatory may be addressed "To the
Appropriate Authority in (here name the country)." Evidence obtained in
response to a letter rogatory need not be excluded merely for the reason
that it is not a verbatim transcript or that the testimony was not taken
under oath or for any similar departure from the requirements for depositions
taken within the State under these rules. Rule 28(b)
Stipulations:
Unless the court orders otherwise, the
parties may by written stipulation: (1) Provide that depositions may be
taken before any person, at any time or place, upon any notice, and in
any manner and when so taken may be used like other depositions, and (2)
Modify the procedures provided by these rules for other methods of discovery,
except that stipulations conflicting with a schedule adopted pursuant to
Rule 16 may be made only with the approval of the court.Rule 29
Depositions:
When depositions may be taken. After commencement of the action,
any party may take the testimony of any person, including a party, by deposition
upon oral examination. Leave of court, granted with or without notice,
must be obtained only if the plaintiff seeks to take a deposition prior
to the expiration of 30 days after service of the summons and complaint
upon any defendant or service made under Rule 4(e), except that leave is
not required (1) if a defendant has served a notice of taking deposition
or otherwise sought discovery, or (2) if special notice is given as provided
in subdivision (b)(2) of this rule. The attendance of witnesses may be
compelled by subpoena as provided in Rule 45. The deposition of a person
confined in prison may be taken only by leave of court on such terms as
the court prescribes. Rule 30(a)
Notice of examination: General requirements; special notice; non-stenographic
recording; production of documents and things; deposition of organization;
deposition by telephone.(1) A party desiring to take the deposition of
any person upon oral examination shall give reasonable notice in writing
to every other party to the action. The notice shall state the time and
place for taking the deposition and the name and address of each person
to be examined, if known, and, if the name is not known, a general description
sufficient to identify the person or the particular class or group to which
he belongs. If a subpoena duces tecum is to be served on the person to
be examined, the designation of the materials to be produced as set forth
in the subpoena shall be attached to or included in the notice. Rule 30(b)(1)
Leave of court is not required for the taking of a deposition
by the plaintiff if the notice (A) states that the person to be examined
is about to go more than 100 miles from the place of trial, or
is about to go out of the State, or is bound on a voyage to sea, and will
be unavailable for examination unless his deposition is taken before expiration
of the 30-day period, and (B) sets forth facts to support the statement.
The plaintiff's attorney shall sign the notice, and his signature constitutes
a certification by him that to the best of his knowledge, information,
and belief the statement and supporting facts are true. The sanctions provided
by Rule 11 are applicable to the certification.
If a party shows that when he was served with notice under this
subdivision (b)(2) he was unable through the exercise of diligence to obtain
counsel to represent him at the taking of the deposition, the deposition
may not be used against him. 30(b)(2)
Interrogatories
Availability; procedures for use. Any party may serve upon any
other party written interrogatories to be answered by the party served
or, if the party served is a public or private corporation or a partnership
or association or governmental agency, by any officer or agent, who shall
furnish such information as is available to the party. Interrogatories
may, without leave of court, be served upon the plaintiff after commencement
of the action and upon any other party with or after service of
the summons and complaint upon that party.
Each interrogatory shall be answered separately and fully in writing
under oath, unless it is objected to, in which event the reasons for objection
shall be stated in lieu of an answer. The answers are to be signed by the
person making them, and the objections signed by the attorney making them.
The party upon whom the interrogatories have been served shall serve a
copy of the answers, and objections if any, within 30 days after the service
of the interrogatories, except that a defendant may serve answers or objections
within 45 days after the service of the summons and complaint upon that
defendant. The court may allow a shorter or longer time. The party submitting
the interrogatories may move for an order under Rule 37(a) with respect
to any objection to or other failure to answer an interrogatory. Rule 33(a)
Interrogatories may relate to any matters which can be inquired into
under Rule 26(b), and the answers may be used to the extent permitted by
the rules of evidence. An interrogatory otherwise proper is not necessarily
objectionable merely because an answer to the interrogatory involves an
opinion or contention that relates to fact or the application of law to
fact, but the court may order that such an interrogatory need not be answered
until after designated discovery has been completed or until a pre-trial
conference or other later time. Rule 33(b)
Production
Any party may serve on any other party a request (1) to produce
and permit the party making the request, or someone acting on his behalf,
to inspect and copy, any designated documents (including writings, drawings,
graphs, charts, photographs, phono-records, and other data compilations
from which information can be obtained, translated, if necessary, by the
respondent through detection devices into reasonably usable form), or to
inspect and copy, test, or sample any tangible things which constitute
or contain matters within the scope of Rule 26(b) and which are in the
possession, custody or control of the party upon whom the request is served;
or (2) to permit entry upon designated land or other property in the possession
or control of the party upon whom the request is served for the purpose
of inspection and measuring, surveying, photographing, testing, or sampling
the property or any designated object or operation thereon, within the
scope of Rule 26(b). Rule 34(a)
The request may, without leave of court, be served upon the plaintiff
after commencement of the action and upon any other party with or after
service of the summons and complaint upon that party. The request shall
set forth the items to be inspected, either by individual item or by category,
and describe each item and category with reasonable particularity. The
request shall specify a reasonable time, place, and manner of making the
inspection and performing the related acts.
The party upon whom the request is served shall serve a written
response within 30 days after the service of the request, except that a
defendant may serve a response within 45 days after service of the summons
and complaint upon that defendant. The court may allow a shorter or longer
time. The response shall state, with respect to each item or category,
that inspection and related activities will be permitted as requested,
unless the request is objected to, in which event the reasons for objection
shall be stated. If objection is made to part of an item or category, the
part shall be specified. The party submitting the request may move for
an order under Rule 37(a) with respect to any objection to or other failure
to respond to the request or any part thereof, or any failure to permit
inspection as requested. A party who produces documents for inspections
shall produce them as they are kept in the usual course of business or shall organize and label them to correspond
with the categories in the request. Rule 34(b)
Physical and Mental Examinations of Persons
When the mental or physical condition (including the blood group)
of a party or of a person in the custody or under the legal control of
a party, is in controversy, the court in which the action is pending may
order the party to submit to a physical or mental examination by a physician
or other qualified expert or to produce for examination the person in his
custody or legal control. The order may be made only on motion for good
cause shown and upon notice to the person to be examined and to all parties
and shall specify the time, place, manner, conditions, and scope of the
examination and the person or persons by whom it is to be made. Rule 35(a)
If requested by the party against whom an order is made under Rule
35(a) or the person examined, the party causing the examination to be made
shall deliver to him a copy of a detailed written report of the examing
physician or other qualified expert setting out his findings, including
results of all tests made, diagnoses and conclusions, together with like
reports of all earlier examinations of the same condition. After delivery
the party causing the examination shall be entitled upon request to receive
from the party against whom the order is made a like report of any examination,
previously or thereafter made, of the same condition, unless, in the case
of a report of examination of a person not a party, the party shows that
he is unable to obtain it. The court on motion may make an order against
a party requiring delivery of a report on such terms as are just, and if
the physician or other qualified expert fails or refuses to make a report
the court may exclude his testimony if offered at the trial. Rule 35(b)
Requests for Admissions
A party may serve upon any other party a written request for the
admission, for purposes of the pending action only, of the truth of any
matters within the scope of Rule 26(b) set forth in the request that relate
to statements or opinions of fact or of the application of law to fact,
including the genuineness of any documents described in the request. Copies
of documents shall be served with the request unless they have been or
are otherwise furnished or made available for inspection and copying. The
request may, without leave of court, be served upon the plaintiff after
commencement of the action and upon any other party with or after service
of the summons and complaint upon that party.
Each matter of which an admission is requested shall be separately
set forth. The matter is admitted unless, within 30 days after service
of the request, or within such shorter or longer time as the court may
allow, the party to whom the request is directed serves upon the party
requesting the admission a written answer or objection addressed to the
matter, signed by the party or by his attorney, but, unless the court shortens
the time, a defendant shall not be required to serve answers or objections
before the expiration of 45 days after service of the summons and complaint
upon him. If objection is made, the reasons therefor shall be stated. The
answer shall specifically deny the matter or set forth in detail the reasons
why the answering party cannot truthfully admit or deny the matter. A denial
shall fairly meet the substance of the requested admission, and when good
faith requires that a party qualify his answer or deny only a part of the
matter of which an admission is requested, he shall specify so much of
it as is true and qualify or deny the remainder. An answering party may
not give lack of information or knowledge as a reason for failure to admit
or deny unless he states that he has made reasonable inquiry and that the
information known or readily obtainable by him is insufficient to enable
him to admit or deny. A party who considers that a matter of which an admission
has been requested presents a genuine issue for trial may not, on that
ground alone, object to the request; he may, subject to the provisions
of Rule 37(c), deny the matter or set forth reasons why he cannot admit
or deny it.
The party who has requested the admissions may move to determine
the sufficiency of the answers or objections. Unless the court determines
that an objection is justified, it shall order that an answer be served.
If the court determines that an answer does not comply with the requirements
of this rule, it may order either that the matter is admitted or that an
amended answer be served. The court may, in lieu of these orders, determine
that final disposition of the request be made at a pretrial conference
or at a designated time prior to trial. The provisions of Rule 37(a)(4)
apply to the award of expenses incurred in relation to the motion. Rule
36(a)
Compel Discovery
A party, upon reasonable notice to other parties and all persons
affected thereby, may apply for an order compelling discovery.
Rule 37
Domestic Actions Discovery Notes
If you require extra time to respond to discovery, you should ask
the other side for an extension in writing. It may also be necessary
to enter an order granting the extension to protect your rights.
Discovery questions are limited in number so select the most important
questions to ask the other side. Don't waste your requests writing
questions that you already know the answer to.