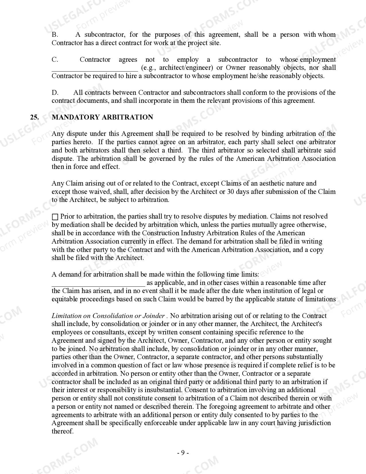
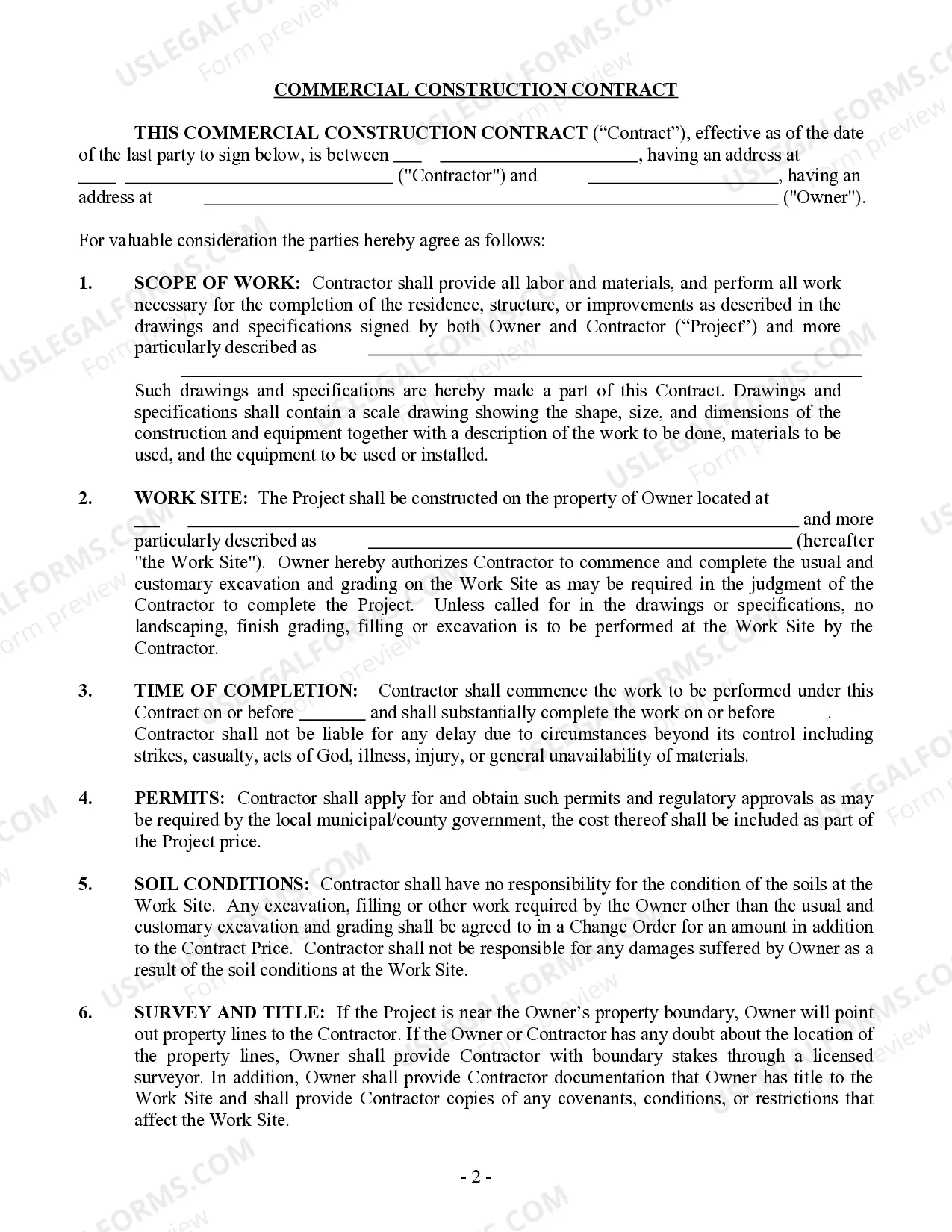
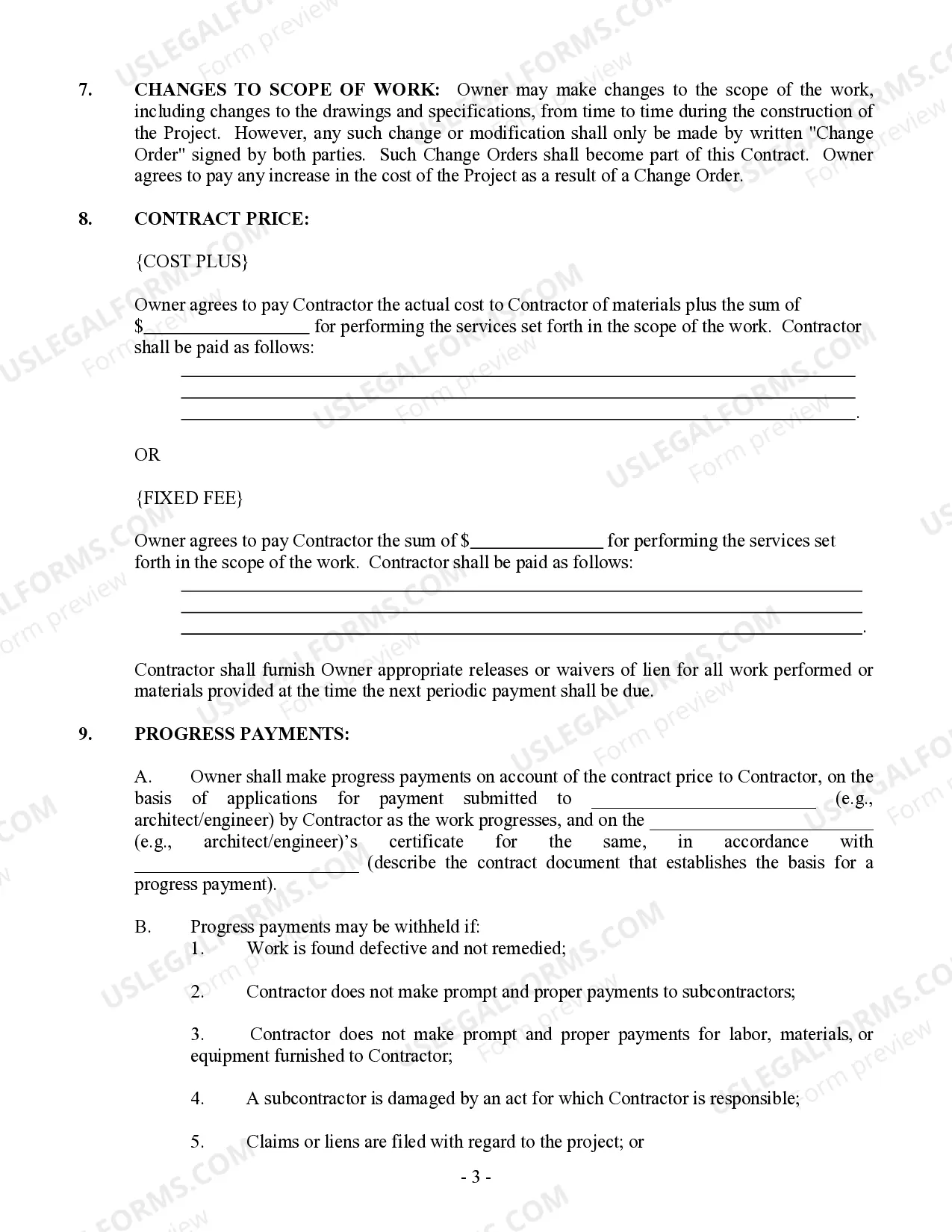
The Commercial Contract for Contractor is a legal document used to formalize agreements between commercial contractors and property owners in Wisconsin. This contract can be tailored for both cost-plus and fixed fee payment arrangements. It addresses critical areas such as change orders, work site conditions, insurance, and warranties, ensuring clarity and legal compliance throughout the project. Unlike general construction contracts, this form is specifically designed to meet the legal requirements of commercial projects in Wisconsin.
This form is essential when engaging a commercial contractor for a construction project. Use it when you need to define the terms of the agreement, including payment arrangements, work scope, and conditions under which changes or additional work may be requested. It is particularly useful for property owners and contractors involved in large-scale projects or developments that require legal documentation to protect both parties' interests.
This form does not typically require notarization unless specified by local law. However, having the document notarized can provide an additional layer of verification and security for both parties involved.
Our built-in tools help you complete, sign, share, and store your documents in one place.
Make edits, fill in missing information, and update formatting in US Legal Forms—just like you would in MS Word.
Download a copy, print it, send it by email, or mail it via USPS—whatever works best for your next step.
Sign and collect signatures with our SignNow integration. Send to multiple recipients, set reminders, and more. Go Premium to unlock E-Sign.
If this form requires notarization, complete it online through a secure video call—no need to meet a notary in person or wait for an appointment.
We protect your documents and personal data by following strict security and privacy standards.

Make edits, fill in missing information, and update formatting in US Legal Forms—just like you would in MS Word.

Download a copy, print it, send it by email, or mail it via USPS—whatever works best for your next step.

Sign and collect signatures with our SignNow integration. Send to multiple recipients, set reminders, and more. Go Premium to unlock E-Sign.

If this form requires notarization, complete it online through a secure video call—no need to meet a notary in person or wait for an appointment.

We protect your documents and personal data by following strict security and privacy standards.