You are able to invest hrs online attempting to find the lawful papers web template that suits the state and federal specifications you need. US Legal Forms provides 1000s of lawful forms which are examined by experts. It is simple to download or printing the Utah Employee Evaluation Form for HR Assistant from your assistance.
If you have a US Legal Forms profile, you can log in and then click the Down load option. After that, you can comprehensive, modify, printing, or sign the Utah Employee Evaluation Form for HR Assistant. Each and every lawful papers web template you buy is the one you have eternally. To get another duplicate of any purchased kind, visit the My Forms tab and then click the corresponding option.
If you work with the US Legal Forms website the very first time, stick to the basic instructions below:
Down load and printing 1000s of papers themes making use of the US Legal Forms website, which provides the most important assortment of lawful forms. Use expert and status-particular themes to take on your business or person demands.
1. HR managers should be present during negative reviews. Since negative reviews can generate unpredictable feedback, up to and including lawsuits, HR managers should stay close to the process to protect the company from exposure.
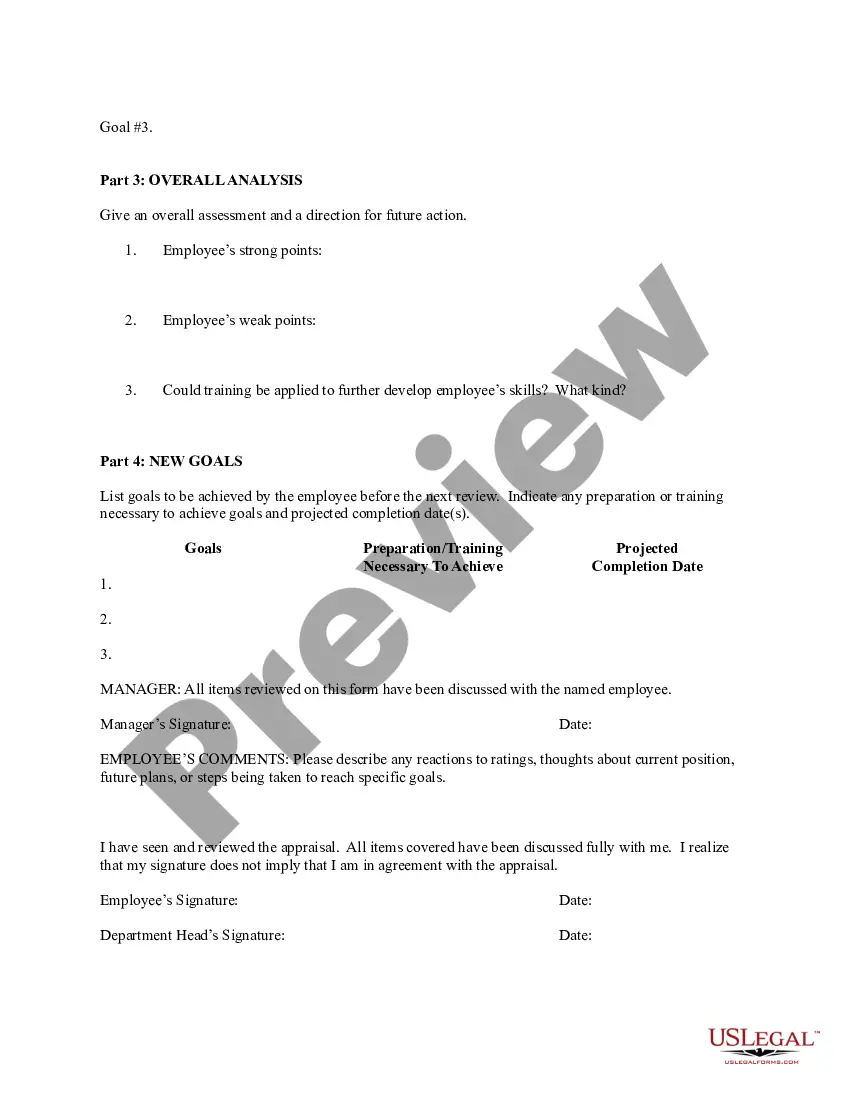
What to Include in an Employee Evaluation Form?Employee and reviewer information. The form must have basic information about both parties involved.Review period.An easy-to-understand rating system.Evaluation points.Goals.Extra space for comments.Signatures.Scorecard.More items...?
For most staff positions, the job performance areas that should be included on a performance evaluation form are job knowledge and skills, quality of work, quantity of work, work habits and attitude.
Step 1: Set goals, monitor goals, provide feedback, and document feedback and progress throughout the evaluation period.Step 2: Review Position Description.Step 3: Employee's Self Evaluation.Step 4: Review Goals.Step 5: Optional Evaluation of the University Core Competencies.Step 6: Rate Overall Performance.More items...
Human resource department plays an important role in designing and implementing performance appraisals. Infact, the HR team acts as mediator between the functional heads or reviewing authorities and the employee. It is the human resource team's responsibility to ensure a smooth implementation of the appraisal process.
Here's a step-by-step guide to effectively evaluating employees:Set Performance Standards.Set Specific Goals.Take Notes Throughout the Year.Be Prepared.Be Honest and Specific with Criticism.Don't Compare Employees.Evaluate the Performance, Not the Personality.Have a Conversation.More items...
Approaches to HR Evaluation. There are several approaches to human resource evaluation. The most prominent of them are: audit approach, analytical approach, qualitative and quantitative approach, balanced scorecard perspective, and benchmarking.
Quality of Work.Goals and Target Achievement.Level of Productivity.Initiative and Motivation.Teamwork and Leadership Skills.Ability to Problem Solve.Written and Verbal Communication Skills.Performance Self-Appraisal.
The form should include clear guidelines and instructions to allow managers and employees to know exactly what information to provide, the meaning of the ratings, and how to get the information they need. When designing your evaluation form, consider your primary purpose for conducting performance reviews.
What to Include in an Employee Evaluation Form?Employee and reviewer information. The form must have basic information about both parties involved.Review period.An easy-to-understand rating system.Evaluation points.Goals.Extra space for comments.Signatures.Scorecard.More items...?


