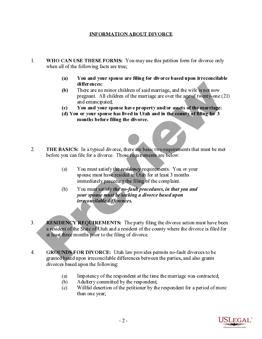
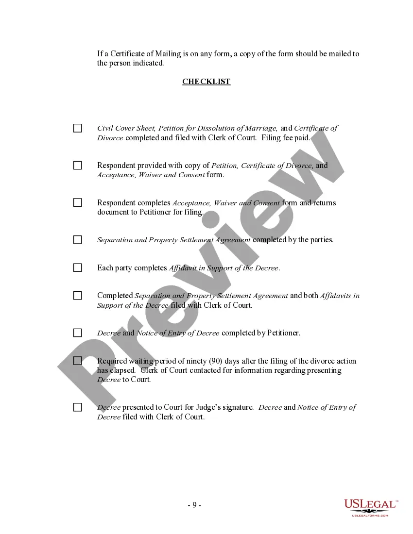
The Utah No-Fault Uncontested Agreed Divorce Package for Dissolution of Marriage with Adult Children and with or without Property and Debts is a comprehensive set of legal documents designed for couples seeking a no-fault divorce in Utah. This package simplifies the divorce process by providing all necessary forms, detailed instructions, and a checklist to guide you through each step, ensuring compliance with state laws without needing extensive legal knowledge or representation.
This form package is ideal for couples who meet the following conditions:
Some forms in this package need notarization to be legally binding. Our online notarization service, powered by Notarize, lets you verify and sign documents remotely through an encrypted video session, available 24/7.
Our built-in tools help you complete, sign, share, and store your documents in one place.
Make edits, fill in missing information, and update formatting in US Legal Forms—just like you would in MS Word.
Download a copy, print it, send it by email, or mail it via USPS—whatever works best for your next step.
Sign and collect signatures with our SignNow integration. Send to multiple recipients, set reminders, and more. Go Premium to unlock E-Sign.
If this form requires notarization, complete it online through a secure video call—no need to meet a notary in person or wait for an appointment.
We protect your documents and personal data by following strict security and privacy standards.

Make edits, fill in missing information, and update formatting in US Legal Forms—just like you would in MS Word.

Download a copy, print it, send it by email, or mail it via USPS—whatever works best for your next step.

Sign and collect signatures with our SignNow integration. Send to multiple recipients, set reminders, and more. Go Premium to unlock E-Sign.

If this form requires notarization, complete it online through a secure video call—no need to meet a notary in person or wait for an appointment.

We protect your documents and personal data by following strict security and privacy standards.
By Melissa Heinig. In Oklahoma, it is possible to obtain an uncontested divorce in as little as ten days through a process known as a "waiver divorce." A waiver divorce is an uncontested procedure that allows couples to end their marriage without the cost and delay common to traditional divorce.
You aren't required to use an attorney in order to file for divorce in Utah. However, the legal issues surrounding divorce are often complicated, and you may face obstacles representing yourself if there are any complex matters such as child custody or division of significant assets.
Summary of Utah Divorce Costs Filing fee The Court's filing fee is $318. Uncontested divorce On average firms will charge $999 - $2000, but it can be as low as $450. Contested divorce These divorces are billed on an hourly rate. The average cost is $2000 - $6,000.
A waiver of service or summons means that a party voluntarily enters a lawsuit without requiring the opposing party to serve them with a summons and petition.
A contested divorce can cause the divorce to enter into litigation because spouses will need to have decisions made for them by a judge. Since they are not able to decide on marital issues for their family, a judge will have to do so in court.
According to a recent survey, the cost of an average Utah divorce is $13,200. While this may shock you, many divorces that are initially thought to be a simple open and close case end up being highly contested, making the process longer and more expensive than anticipated.
Filing Fees The filing fee for a divorce in Utah is $333. That fee is paid directly to the Court when you file your divorce papers. Our fee for the Do-It-Yourself Divorce without minor children (for an action not involving custody of minor children) is $375.00.
Uncontested divorces, or divorces where spouses agree on all of the final terms they wish to be included in their divorce, can resolve within 30 days, but more typically are finalized between 60-90 days.