• US Legal Forms

Money Laundering - Knowledge that Property Represents Proceeds of Some Form of Unlawful Activity Defined

State:
Multi-State
Control #:
US-3RDCIR-6-18-1956-4-CR
Format:
Word
Instant download
This website is not affiliated with any governmental entity
Public form

Description

Money Laundering - Knowledge that Property Represents Proceeds of Some Form of Unlawful Activity Defined Source: http://www.ca3.uscourts.gov/model-criminal-jury-table-contents-and-instructions

Money laundering is the process of disguising the origins of illegally obtained money by passing it through a complex sequence of transactions or financial institutions. It is a crime that is often associated with organized crime, drug trafficking, and terrorism. Money laundering is a global problem, estimated to involve hundreds of billions of dollars a year. There are three main types of money laundering. The first is placement, which is the process of introducing illegal funds into legitimate financial institutions and businesses. The second is layering, which is the use of complex financial transactions to obscure the original source of the funds. The third is integration, which is the process of disguising the proceeds of crime as legitimate income. Money laundering is illegal in most countries, and can be punishable by fines or imprisonment. It is important to understand the legal implications of money laundering, as well as the methods used by criminals to launder money. It is also important to recognize the signs of money laundering, such as suspicious financial transactions, and to report any suspicious activity to the relevant authorities.

How to fill out Money Laundering - Knowledge That Property Represents Proceeds Of Some Form Of Unlawful Activity Defined?

US Legal Forms is the most simple and profitable way to locate appropriate legal templates. It’s the most extensive online library of business and individual legal paperwork drafted and checked by legal professionals. Here, you can find printable and fillable blanks that comply with federal and local regulations - just like your Money Laundering - Knowledge that Property Represents Proceeds of Some Form of Unlawful Activity Defined.

Getting your template requires just a few simple steps. Users that already have an account with a valid subscription only need to log in to the website and download the form on their device. Afterwards, they can find it in their profile in the My Forms tab.

And here’s how you can obtain a professionally drafted Money Laundering - Knowledge that Property Represents Proceeds of Some Form of Unlawful Activity Defined if you are using US Legal Forms for the first time:

  1. Look at the form description or preview the document to ensure you’ve found the one corresponding to your needs, or locate another one utilizing the search tab above.
  2. Click Buy now when you’re sure of its compatibility with all the requirements, and judge the subscription plan you like most.
  3. Create an account with our service, log in, and pay for your subscription using PayPal or you credit card.
  4. Select the preferred file format for your Money Laundering - Knowledge that Property Represents Proceeds of Some Form of Unlawful Activity Defined and download it on your device with the appropriate button.

After you save a template, you can reaccess it whenever you want - just find it in your profile, re-download it for printing and manual fill-out or import it to an online editor to fill it out and sign more proficiently.

Take full advantage of US Legal Forms, your reliable assistant in obtaining the corresponding official documentation. Give it a try!

Form popularity

FAQ

Specified unlawful activities include over 250 crimes in six categories: (1) most RICO predicate offenses; (2) certain offenses against foreign nations; (3) acts constituting a criminal enterprise under the Controlled Substances Act; (4) miscellaneous offenses against persons and property; (5) federal health care

More precisely, Section 1956(a)(1)15 outlaws financial transactions involving the proceeds of other certain crimes?predicate offenses referred to as "specified unlawful activities" (sometimes known as SUA)?committed or attempted (1) with the intent to promote further predicate offenses; (2) with the intent to evade

See §§ 1956(c)(7)(A), 1957(f)(3), and 1961(1)(B) ("Specified unlawful activity" is defined as any act or activity constituting an offense listed in section 1961(1), which includes both mail and wire fraud statutes.).

Each individual money laundering stage can be extremely complex due to the criminal activity involved. Placement. Layering. Integration. Examples of the Money Laundering Stages.

There are three stages introducing laundered funds into the financial system: Placement. Layering. Integration/extraction.

Specified unlawful activities include over 250 crimes in six categories: (1) most RICO predicate offenses; (2) certain offenses against foreign nations; (3) acts constituting a criminal enterprise under the Controlled Substances Act; (4) miscellaneous offenses against persons and property; (5) federal health care

§1956. Laundering of monetary instruments. (ii) to avoid a transaction reporting requirement under State or Federal law, shall be sentenced to a fine of not more than $500,000 or twice the value of the property involved in the transaction, whichever is greater, or imprisonment for not more than twenty years, or both.

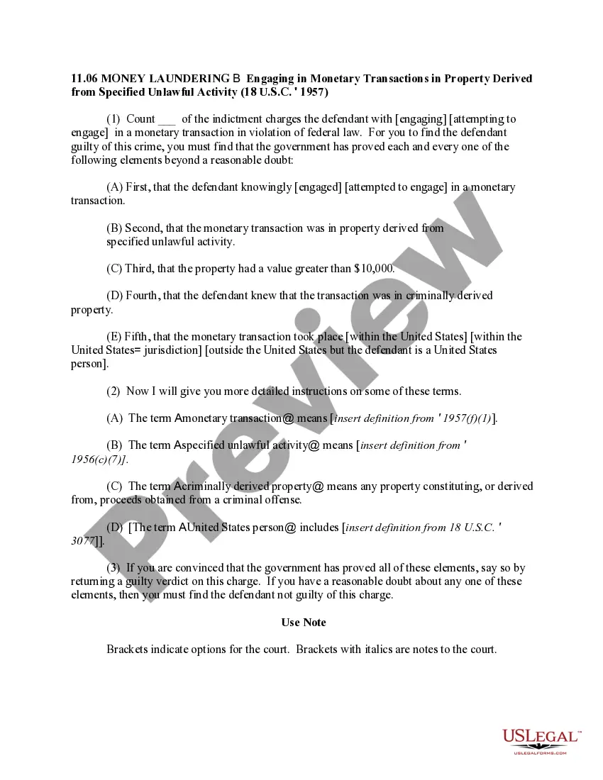
Money Laundering - Engaging in Monetary Transactions in Property Derived From Specified Unlawful Activity.

Trusted and secure by over 3 million people of the world’s leading companies

Money Laundering - Knowledge that Property Represents Proceeds of Some Form of Unlawful Activity Defined