• US Legal Forms

Assignment of Right to Renew Copyright by Creator of Intellectual Property

State:
Multi-State
Control #:
US-13409523BG
Format:
Word; 
Rich Text
Instant download

Description

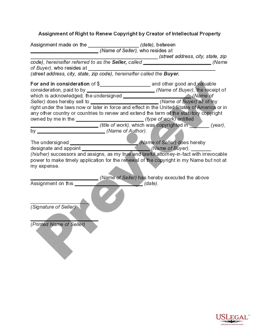
Generally, under 17 U.S.C.A. § 304(a), a copyright the first term of which is subsisting on January 1, 1978 may be renewed for 67 years. Further, 17 U.S.C.A. § 304(c) provides that the grant or transfer of the renewal copyright, or any right under it, executed before January 1, 1978, by an individual author or the author's surviving spouse, surviving children, executor, or next of kin may be terminated under enumerated conditions.

An Assignment of Right to Renew Copyright by Creator of Intellectual Property is a legal document that transfers the right to renew a copyright from the copyright holder (the creator of the intellectual property) to another party. This document is often used when the creator of the intellectual property is no longer interested in retaining the right to renew the copyright, or when the copyright holder wishes to transfer the right to renew for financial compensation. Types of Assignment of Right to Renew Copyright by Creator of Intellectual Property include: 1. Full Assignment: A full assignment is a complete transfer of the right to renew the copyright from the copyright holder to another party. 2. Part Assignment: A part assignment is the transfer of a portion of the right to renew the copyright from the copyright holder to another party. 3. Exclusive Assignment: An exclusive assignment is the transfer of the entire right to renew the copyright from the copyright holder to one party, allowing the assignee to renew the copyright exclusively. 4. Non-Exclusive Assignment: A non-exclusive assignment is the transfer of the right to renew the copyright from the copyright holder to multiple parties, allowing all assignees to renew the copyright.

Free preview
  • Preview Assignment of Right to Renew Copyright by Creator of Intellectual Property
  • Preview Assignment of Right to Renew Copyright by Creator of Intellectual Property

How to fill out Assignment Of Right To Renew Copyright By Creator Of Intellectual Property?

How much time and resources do you usually spend on composing official paperwork? There’s a greater option to get such forms than hiring legal experts or wasting hours searching the web for a proper blank. US Legal Forms is the leading online library that offers professionally designed and verified state-specific legal documents for any purpose, such as the Assignment of Right to Renew Copyright by Creator of Intellectual Property.

To get and complete a suitable Assignment of Right to Renew Copyright by Creator of Intellectual Property blank, adhere to these simple instructions:

  1. Examine the form content to ensure it meets your state laws. To do so, read the form description or use the Preview option.
  2. If your legal template doesn’t meet your needs, find another one using the search tab at the top of the page.
  3. If you already have an account with us, log in and download the Assignment of Right to Renew Copyright by Creator of Intellectual Property. Otherwise, proceed to the next steps.
  4. Click Buy now once you find the correct blank. Opt for the subscription plan that suits you best to access our library’s full service.
  5. Register for an account and pay for your subscription. You can make a transaction with your credit card or through PayPal - our service is absolutely reliable for that.
  6. Download your Assignment of Right to Renew Copyright by Creator of Intellectual Property on your device and complete it on a printed-out hard copy or electronically.

Another advantage of our service is that you can access previously acquired documents that you securely store in your profile in the My Forms tab. Get them anytime and re-complete your paperwork as frequently as you need.

Save time and effort completing formal paperwork with US Legal Forms, one of the most reliable web services. Sign up for us today!

Form popularity

FAQ

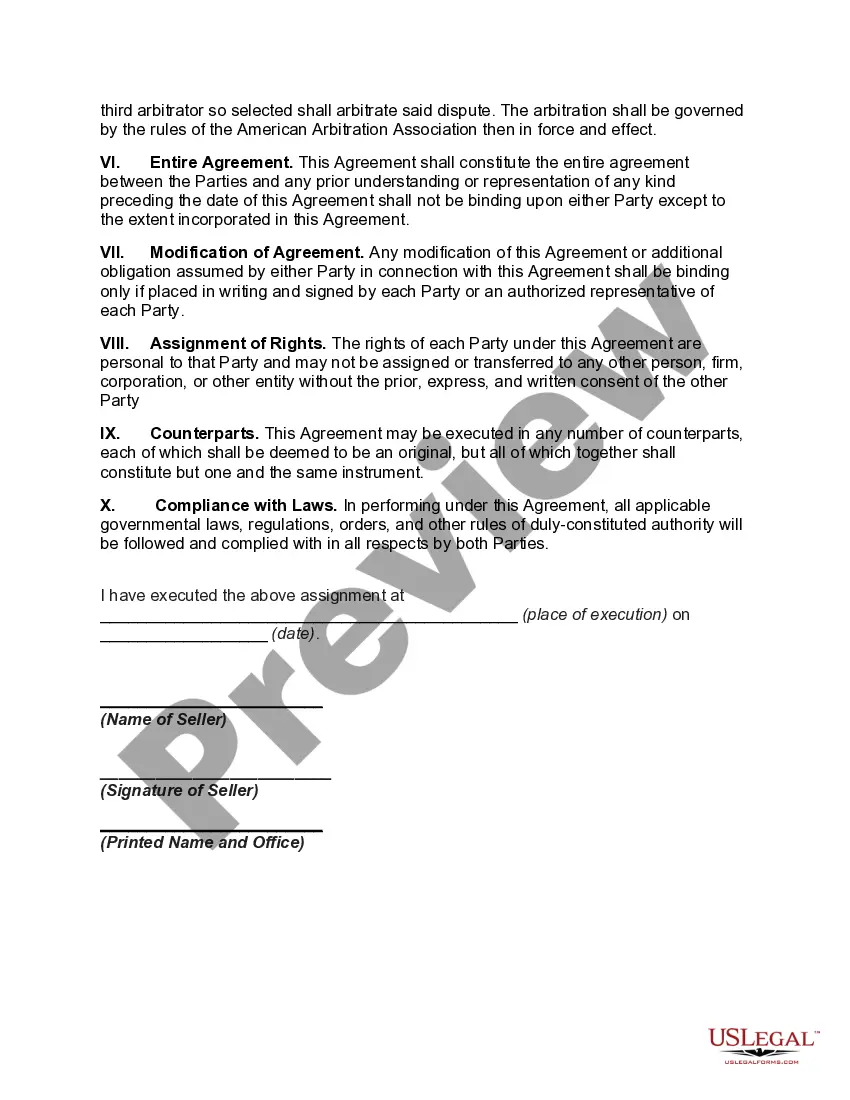
The assignor is the party giving up its ownership interest and the assignee is the party receiving it. Recitals offer up key background information about the parties involved. This section is known as the whereas clause because it explains the intent to transfer intellectual property rights.

Copyright in a work created on or after January 1, 1978, subsists from its creation and, except as provided by the following subsections, endures for a term consisting of the life of the author and 70 years after the author's death.

As a general rule, for works created after January 1, 1978, copyright protection lasts for the life of the author plus an additional 70 years.

No, once a work enters the public domain, an individual cannot copyright that work. Even though this rule is simple, a bit of clarifying is in order.

Once that period of time expires, or if the creator failed to comply with any legal formalities required at the time of creation or thereafter, the work enters the public domain - meaning it belongs to everyone, without restriction.

First, there are only certain people who can claim copyright renewal: the author or, if the author is dead, the surviving spouse and/or the author's children.

An IP assignment is a transfer of ownership of an intellectual property right, such as a patent, trade mark or copyright, from one party (the assignor) to another party (the assignee). This infographic adds together the benefits, risks and the key elements of assignment agreements.

Works Created on or after January 1, 1978 The law automatically protects a work that is created and fixed in a tangible medium of expression on or after Janu- ary 1, 1978, from the moment of its creation and gives it a term lasting for the author's life plus an additional 70 years.

Trusted and secure by over 3 million people of the world’s leading companies

Assignment of Right to Renew Copyright by Creator of Intellectual Property