US Legal Forms - one of the largest collections of legal documents in the United States - offers a vast selection of legal document templates you can download or print.
By using the site, you can access thousands of forms for business and personal purposes, categorized by type, state, or keywords. You can find the most recent versions of forms like the Tennessee Affiliate Program Operating Agreement in just moments.
If you already have a subscription, Log In and download the Tennessee Affiliate Program Operating Agreement from the US Legal Forms repository. The Download button will appear on each form you view. You can access all previously obtained forms in the My documents section of your account.
Proceed with the purchase. Use your credit card or PayPal account to complete the transaction.
Choose the format and download the form onto your device. Make amendments. Complete, edit, and print the Tennessee Affiliate Program Operating Agreement. Every template you add to your account does not expire and is yours to keep indefinitely. Thus, if you wish to download or print another copy, simply navigate to the My documents section and click on the form you need.
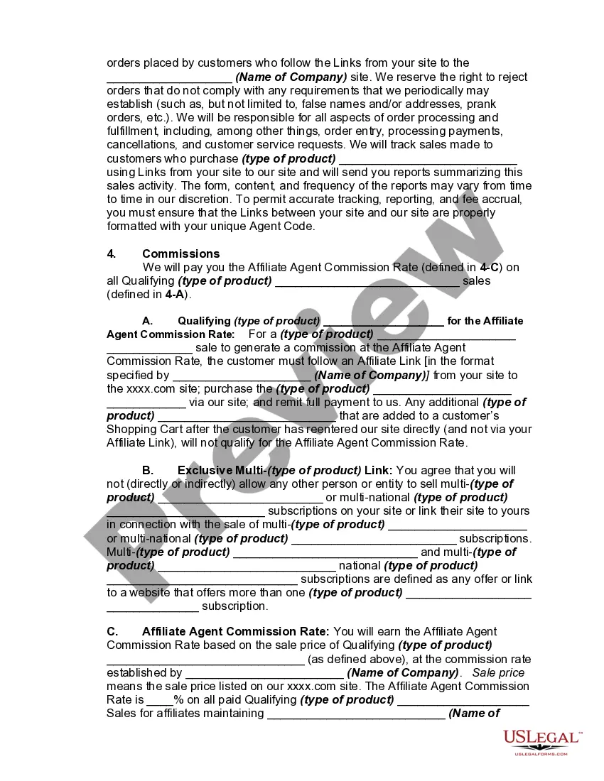
Completing a Tennessee Affiliate Program Operating Agreement involves detailing ownership percentages, roles, and responsibilities of each member. Start by outlining the business purpose and management structure. You can gather necessary information through discussions among members to ensure clarity. Platforms like uslegalforms can provide templates and guidance to make this process smoother and more efficient.
While the state of Tennessee does not legally require an operating agreement, having one is beneficial for proper business management. A well-crafted Tennessee Affiliate Program Operating Agreement protects your interests and clarifies the arrangement among members. It can also enhance your credibility with banks and potential investors. Consider using ulegalforms as a resource to simplify the drafting process.
To form an LLC in Tennessee, you must file Articles of Organization with the Secretary of State. Additionally, obtaining an Employer Identification Number (EIN) from the IRS is essential. While not required, drafting a Tennessee Affiliate Program Operating Agreement can further define the roles and responsibilities of members, promoting smoother operations. Be sure to comply with local regulations and maintain necessary licenses.
In Tennessee, operating agreements are not legally mandated for LLCs. However, having a Tennessee Affiliate Program Operating Agreement is highly recommended to outline the management structure and operational details of your LLC. This document provides clarity and can help prevent disputes among members. Ultimately, it creates a solid foundation for your business operations.
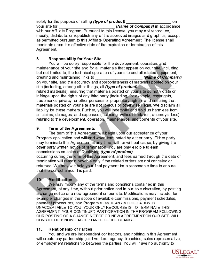
If your LLC lacks an operating agreement, you may face challenges regarding management and decision-making. Without a Tennessee Affiliate Program Operating Agreement, state default laws may apply, which may not align with your goals. It’s best to establish an agreement as soon as possible to ensure clarity and structure. US Legal Forms can provide resources to help you create an effective operating agreement.
You have the option to create your own written agreement. The key to a successful Tennessee Affiliate Program Operating Agreement is clarity and thoroughness in its terms. While it is possible to draft one on your own, using tools and templates from US Legal Forms can streamline the process, ensuring that all critical elements are included.
Certainly, you can create your own operating agreement. However, it’s important to ensure that it includes all vital provisions specific to your LLC's needs. A well-prepared Tennessee Affiliate Program Operating Agreement can help prevent misunderstandings among members. US Legal Forms offers templates and guidance to assist you in drafting an agreement that stands up to legal scrutiny.
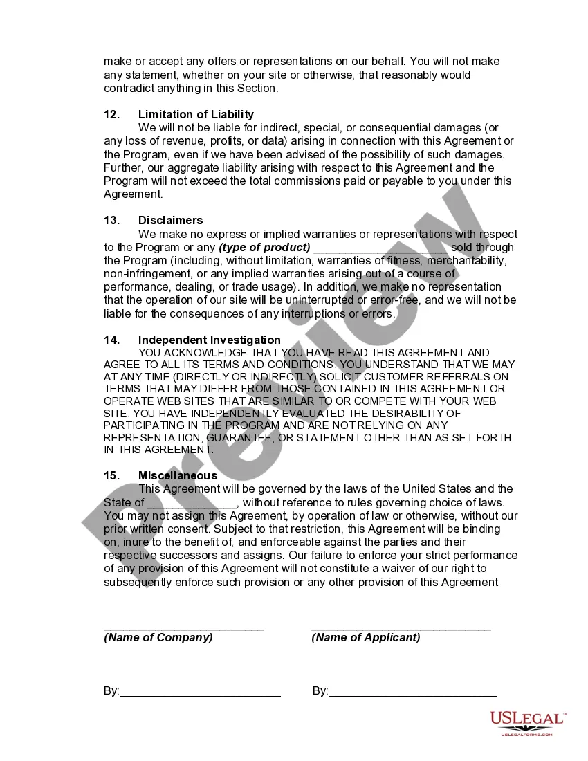
Yes, you can write your own operating agreement, but it’s wise to approach this with care. Your Tennessee Affiliate Program Operating Agreement should cover all necessary details like member roles, voting rights, and profit distribution. To make sure your document is comprehensive, you may want to refer to templates available on US Legal Forms as a helpful starting point.
Typically, the members of the LLC draw up the operating agreement. It's essential for the agreement to accurately reflect the intentions and agreements of all members. In some cases, hiring a legal professional can ensure that your Tennessee Affiliate Program Operating Agreement meets all regulatory requirements. Consider using a reliable platform like US Legal Forms for guidance and resources.
If a Tennessee Affiliate Program Operating Agreement was never signed, you may face challenges in enforcing the terms of your affiliate arrangements. In this case, consider creating and signing a new agreement to formalize the existing partnership dynamics. Utilizing US Legal Forms can simplify this process by providing you with ready-to-use templates, allowing you to establish clear guidelines and protect your interests moving forward. It's crucial to document your agreements for future reference.





