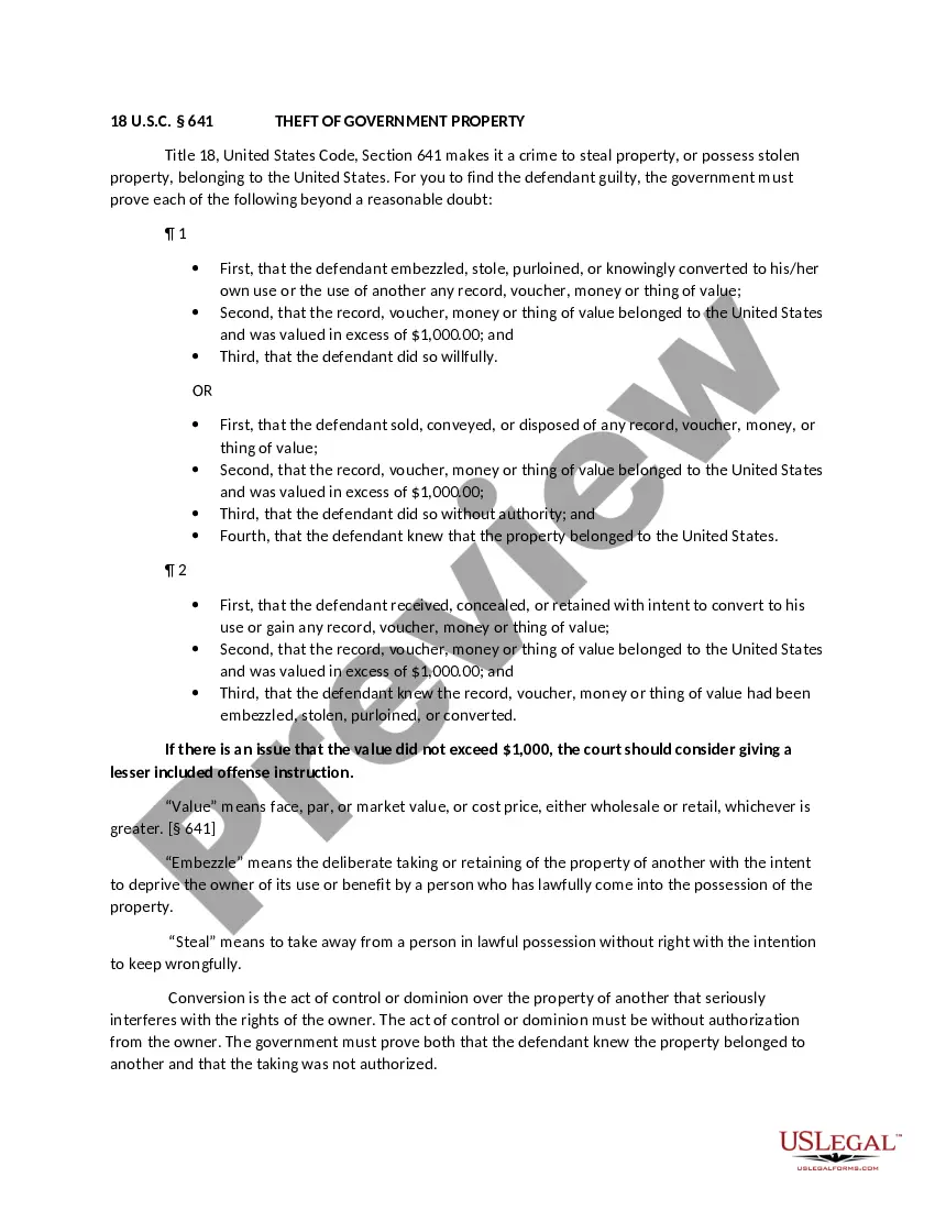
South Carolina THEFT FROM AN INTERSTATE SHIPMENT

State:
South Carolina
Control #:
SC-FEDDC-JURY-18-659-CR
Format:
Word
Instant download
This website is not affiliated with any governmental entity
Public form

Description

Official Pattern Jury Instructions for Criminal Cases in Federal District Court of South Carolina. All converted to Word format. Please see the official site for addional information. http://www.scd.uscourts.gov/pji/

South Carolina Theft from an Interstate Shipment is a specific type of theft crime that involves the taking of goods or money from a shipment traveling in interstate commerce. In South Carolina, this crime is a felony punishable by up to 10 years in prison and a fine of up to $10,000. There are two types of South Carolina Theft from an Interstate Shipment: (1) Theft of Merchandise from an Interstate Shipment; and (2) Theft of Money from an Interstate Shipment. Theft of Merchandise from an Interstate Shipment is defined as the taking of goods, products, or items that are being transported or shipped from one state to another. Theft of Money from an Interstate Shipment involves the taking of cash or currency that is being shipped between states. In both cases, the person committing the theft must have the intent to deprive the owner of the goods or money, and the theft must have occurred during an interstate shipment.

How to fill out South Carolina THEFT FROM AN INTERSTATE SHIPMENT?

Working with official paperwork requires attention, precision, and using properly-drafted templates. US Legal Forms has been helping people countrywide do just that for 25 years, so when you pick your South Carolina THEFT FROM AN INTERSTATE SHIPMENT template from our service, you can be certain it complies with federal and state laws.

Working with our service is simple and fast. To obtain the required document, all you’ll need is an account with a valid subscription. Here’s a brief guide for you to get your South Carolina THEFT FROM AN INTERSTATE SHIPMENT within minutes:

  1. Make sure to attentively look through the form content and its correspondence with general and legal requirements by previewing it or reading its description.
  2. Search for another official template if the previously opened one doesn’t suit your situation or state regulations (the tab for that is on the top page corner).
  3. ​Log in to your account and download the South Carolina THEFT FROM AN INTERSTATE SHIPMENT in the format you need. If it’s your first experience with our website, click Buy now to proceed.
  4. Create an account, select your subscription plan, and pay with your credit card or PayPal account.
  5. Decide in what format you want to obtain your form and click Download. Print the blank or upload it to a professional PDF editor to submit it electronically.

All documents are created for multi-usage, like the South Carolina THEFT FROM AN INTERSTATE SHIPMENT you see on this page. If you need them in the future, you can fill them out without re-payment - simply open the My Forms tab in your profile and complete your document any time you need it. Try US Legal Forms and accomplish your business and personal paperwork quickly and in full legal compliance!

Form popularity

FAQ

(A) It is unlawful for a person to buy, receive, or possess stolen goods, chattels, or other property if the person knows or has reason to believe the goods, chattels, or property is stolen. A person is guilty of this offense whether or not anyone is convicted of the property theft.

(A) It is unlawful for a person to buy, receive, or possess stolen goods, chattels, or other property if the person knows or has reason to believe the goods, chattels, or property is stolen. A person is guilty of this offense whether or not anyone is convicted of the property theft.

As you can see, Class A felonies are the most serious crimes in South Carolina's classification system. Class A felonies primarily include serious violent offenses such as voluntary manslaughter, attempted murder, first-degree criminal sexual conduct, and carjacking resulting in great bodily injury.

A person commits grand larceny, a felony, when the value of the stolen property is over $2,000. South Carolina divides grand larceny into two categories, depending on the value of the taken property. Class F felony.

Penalties for Larceny in South Carolina The crime of petit larceny in South Carolina is a misdemeanor punishable by a maximum period of incarceration of 30 days in the county jail and/or a one thousand dollar fine.

It prohibits the theft or fraudulent acquisition of goods that are part of an interstate or international shipment, whether from the carrier or a holding area, and also the wilful buying, selling or possession of goods obtained in this way.

Shoplifting Felonies Merchandise value falls between $2,000 and $10,000 ? This is a felony offense punishable by 5 years in jail and a maximum fine of $1,000. Merchandise value exceeds $10,000 ? This is a felony offense punishable by up to 10 years in jail and possible fines.

If the item taken has a value greater than $2,000, the crime is defined and grand larceny in South Carolina. Grand larceny is a felony criminal charge. If the item taken has a value less than $2,000, the crime is defined as petit larceny in SC. Petit larceny is punishable as a misdemeanor offense.

Trusted and secure by over 3 million people of the world’s leading companies

South Carolina THEFT FROM AN INTERSTATE SHIPMENT