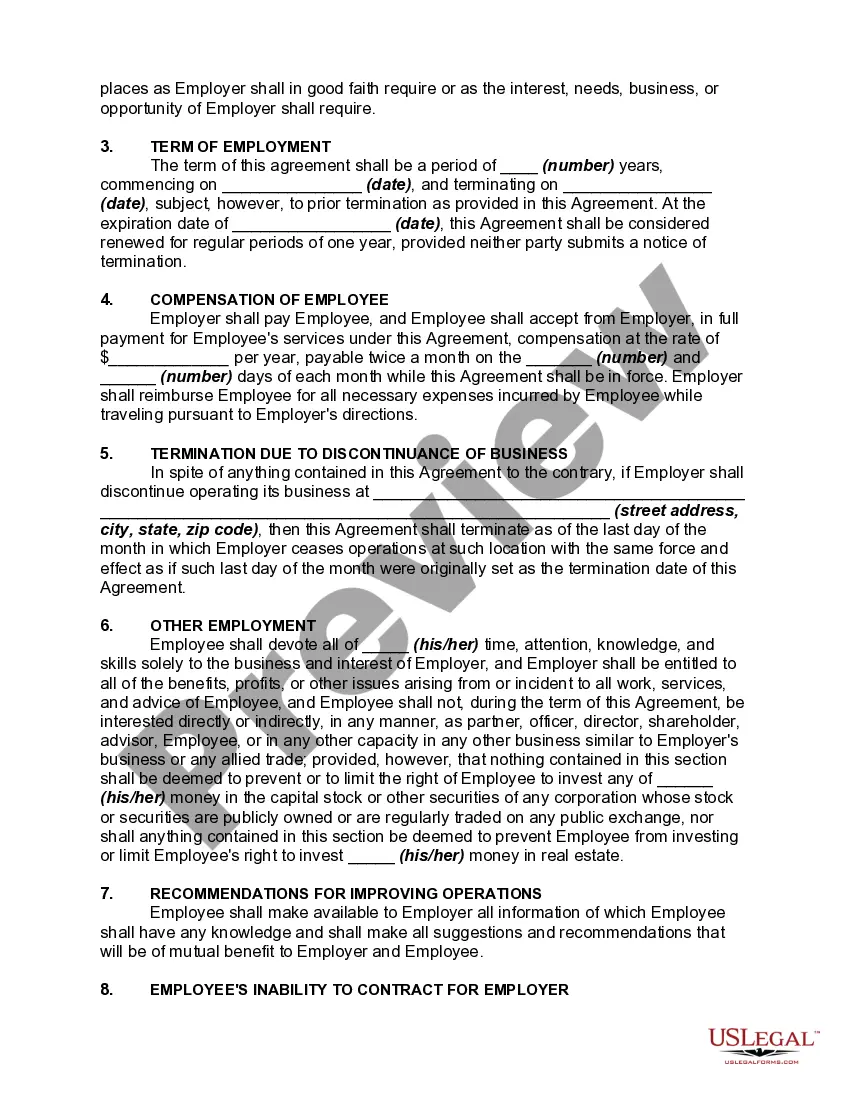
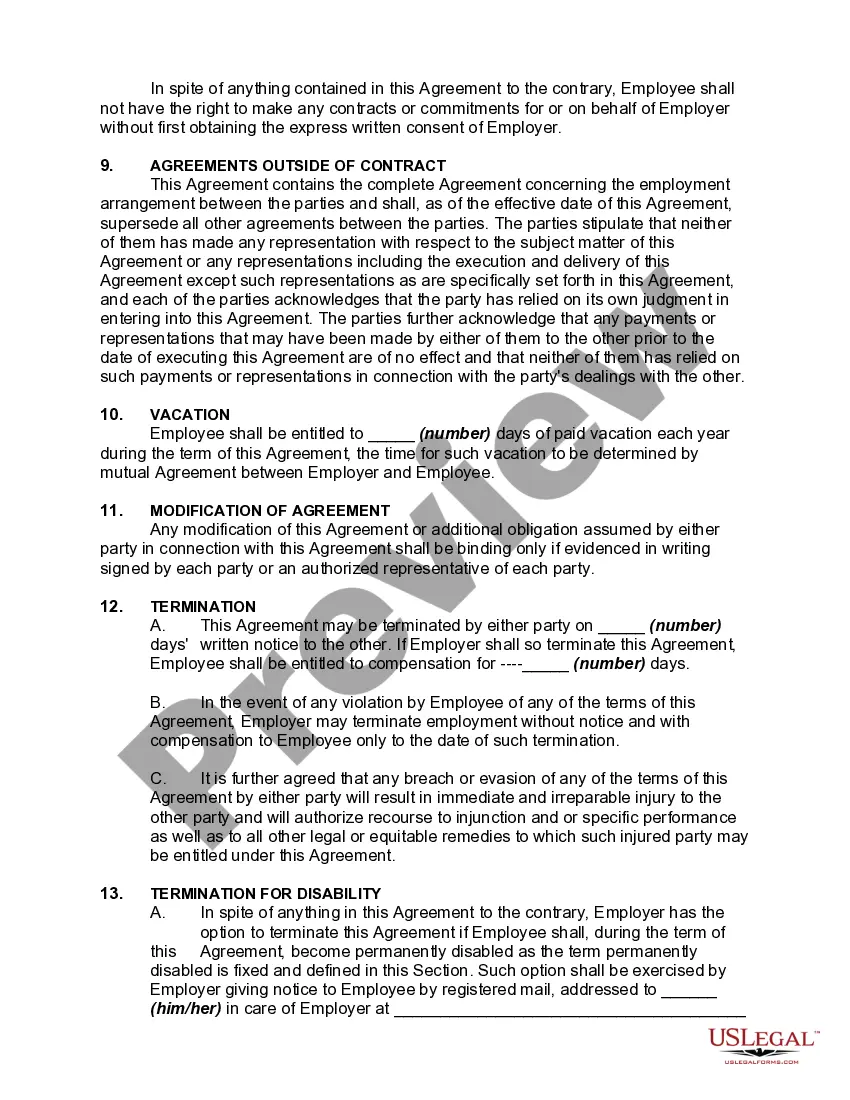
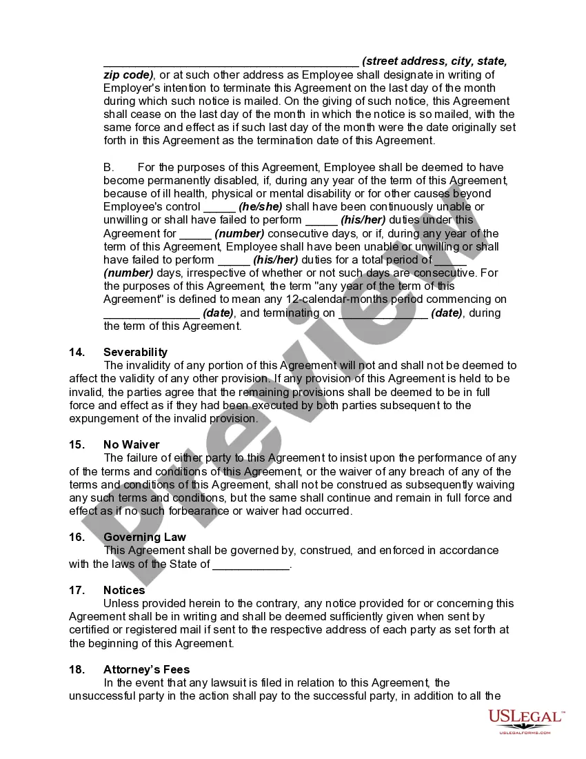
Pennsylvania General Form of Employment Agreement

State:
Multi-State
Control #:
US-04066BG
Format:
Word; 
Rich Text
Instant download

Description

This form is a generic employment agreement.

Free preview
  • Preview General Form of Employment Agreement
  • Preview General Form of Employment Agreement
  • Preview General Form of Employment Agreement
  • Preview General Form of Employment Agreement
  • Preview General Form of Employment Agreement

How to fill out General Form Of Employment Agreement?

Are you currently in the location where you require paperwork for either business or personal purposes nearly every day.

There are numerous legal document templates available online, but locating ones you can rely on isn’t easy.

US Legal Forms provides thousands of form templates, including the Pennsylvania General Form of Employment Agreement, which are designed to meet state and federal requirements.

If you find the correct form, click Buy now.

Choose the pricing plan you want, fill in the necessary information to create your account, and pay for your order using your PayPal or credit card. Select a convenient document format and download your copy. Access all the document templates you have purchased in the My documents section. You can obtain an additional copy of the Pennsylvania General Form of Employment Agreement at any time if needed. Simply select the required form to download or print the document template. Use US Legal Forms, the largest collection of legal forms, to save time and avoid mistakes. The service offers properly crafted legal document templates that can be used for various purposes. Create an account on US Legal Forms and start making your life easier.

  1. If you are currently familiar with the US Legal Forms website and have an account, simply Log In.
  2. Then, you can download the Pennsylvania General Form of Employment Agreement template.
  3. If you do not have an account and wish to start using US Legal Forms, follow these steps.
  4. Obtain the form you need and confirm it is for the correct area/county.
  5. Use the Preview button to examine the form.
  6. Review the description to ensure you have selected the correct form.
  7. If the form isn’t what you are looking for, use the Search box to find the form that fits your needs and requirements.

Form popularity

FAQ

A contract position fills holes in a client's workforce, and is an increasingly popular element of staffing management plans for employers. Usually, a contract worker does work for a company and is legally employed by a staffing agency or employer of record partner.

Thus, an employment agreement is simply a type of contract formed between an employee and employer, which governs the terms of employment. Once both parties have signed the employment agreement, the contract will become binding and legally enforceable in court.

An employment contract is a signed agreement between an individual employee and an employer or a labor union. It establishes both the rights and responsibilities of the two parties: the worker and the company.

Types of Employment Contracts: Permanent employment, temporary employment and independent contractors.

Types of Employment ContractsFull-Time Employment Contracts. Full-time employees have ongoing employment and generally work 38 ordinary hours per week or an average of 38 ordinary hours a week.Part-Time Employment Contracts.Casual Employment Contracts.Fixed-Term Employment Contracts.Independent Contractor.

Employment contracts generally have specific contract terms such as effective date, type of employment, notice, termination, dispute process, applicable law and severability.

An employment agreement is a binding document between an employer and an employee, freelancer, independent contractor, or subcontractor. The agreement should include the terms of employment and ensure that parties to the agreement understand what is expected of them.

Specific Contract Terms To IncludeIdentification: The parties must be identified completely, including full name, address, and other information. Effective date: The effective date is the date both parties have signed. Pay and benefits: Give details of pay rate, pay dates, and benefits provided by the company.

Types of employees:Full-Time Employees.Part-Time Employees.Seasonal Employees.Temporary Employees.

How to write an employment contractTitle the employment contract.Identify the parties.List the term and conditions.Outline the job responsibilities.Include compensation details.Use specific contract terms.Consult with an employment lawyer.

Trusted and secure by over 3 million people of the world’s leading companies

Pennsylvania General Form of Employment Agreement