Pennsylvania Agreement to Conduct Public Service Opinion and Attitude Survey

State:
Multi-State
Control #:
US-03353BG
Format:
Word; 
Rich Text
Instant download

Description

Public survey opinion research involves researching the publics views, abilities, and choices of potential products and/or services. These survey findings can then be analyzed in relation to the development of new products or services.

Free preview
  • Preview Agreement to Conduct Public Service Opinion and Attitude Survey
  • Preview Agreement to Conduct Public Service Opinion and Attitude Survey
  • Preview Agreement to Conduct Public Service Opinion and Attitude Survey
  • Preview Agreement to Conduct Public Service Opinion and Attitude Survey
  • Preview Agreement to Conduct Public Service Opinion and Attitude Survey
  • Preview Agreement to Conduct Public Service Opinion and Attitude Survey

How to fill out Agreement To Conduct Public Service Opinion And Attitude Survey?

You might spend hours online looking for the legal document template that meets the state and federal requirements you need.

US Legal Forms provides thousands of legal documents that can be evaluated by experts.

You can easily download or print the Pennsylvania Agreement to Conduct Public Service Opinion and Attitude Survey from their services.

To find another version of the document, use the Search field to locate the template that suits your needs.

  1. If you possess a US Legal Forms account, you can Log In and then click the Download button.
  2. After that, you can complete, edit, print, or sign the Pennsylvania Agreement to Conduct Public Service Opinion and Attitude Survey.
  3. Every legal document template you purchase is yours permanently.
  4. To obtain another copy of a purchased form, navigate to the My documents section and click the respective button.
  5. If you are using the US Legal Forms site for the first time, follow the simple instructions below.
  6. First, ensure you have selected the correct document template for your county/city of interest.
  7. Check the form description to confirm you have chosen the correct template.

Form popularity

FAQ

The PAYS survey, or Pennsylvania Youth Survey, aims to collect valuable data regarding the behaviors, attitudes, and opinions of Pennsylvania's youth. This survey helps identify trends and challenges affecting young people in the state, allowing organizations and communities to tailor their support accordingly. By utilizing the Pennsylvania Agreement to Conduct Public Service Opinion and Attitude Survey, stakeholders can leverage this data to foster positive change and promote the well-being of youth across Pennsylvania.

The youth survey is a comprehensive tool designed to gather insights about the opinions and attitudes of young individuals in Pennsylvania. This feedback is crucial for policymakers and organizations aiming to improve services and programs that impact the youth. Through the Pennsylvania Agreement to Conduct Public Service Opinion and Attitude Survey, stakeholders can better understand the needs and preferences of young people, leading to informed decision-making and enhanced community initiatives.

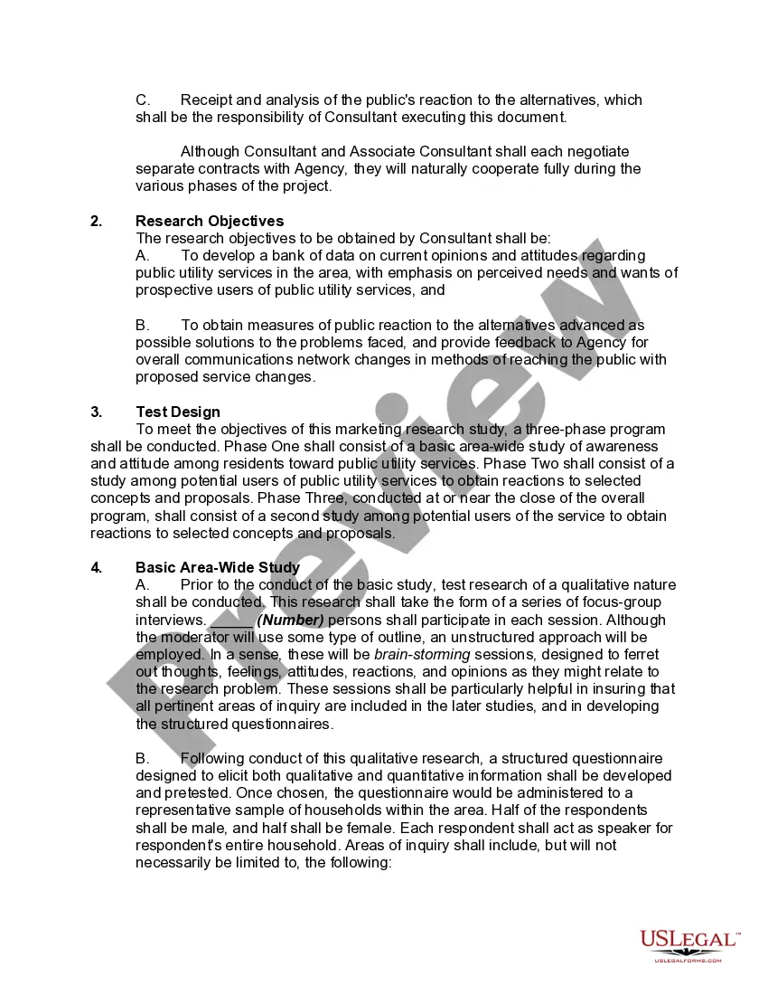
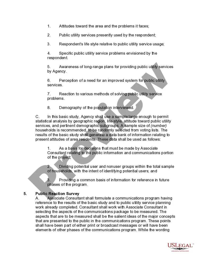
Questionnaire administration in a proper way and to chose the sample from population is important. It assists the researcher in incurring actual data. In addition it helps them in achieving the research questions and research objectives.

Methods of Administering SurveyPersonal Approach. A. Face-to-Face Structured Interview. Pros: Questions on the survey that are asked directly to the respondent by the researcher usually produces good response rates if visual materials are required during the survey.Self-Administered Approach. A. Paper-and-Pencil Survey.

Questionnaires can be self-administered or researcher-administered. Self-administered questionnaires can be delivered online or in paper-and-pen formats, in person or through mail. All questions are standardized so that all respondents receive the same questions with identical wording.

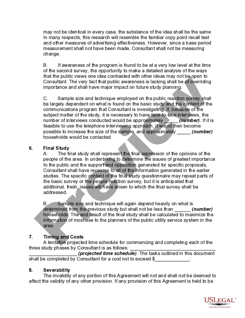
Six steps to good questionnaire design#1: Identify your research aims and the goal of your questionnaire.#2: Define your target respondents.#3: Develop questions.#4: Choose your question type.#5: Design question sequence and overall layout.#6: Run a pilot.

The consent document is the only record linking the subject with the research. Most survey research meets the requirements for waivers of signed consent, because surveys conducted outside of a research context rarely require written consent.

6 Steps To Conducting An Online SurveyDecide on your research goals. Before you can start your research, you will need to form a clear picture in your mind of your survey objectives and the expected outcome.Create a list of questions.Invite the participants.Gather your responses.Analyse the results.Write a report.

Main modes of questionnaire administration include: Face-to-face questionnaire administration, where an interviewer presents the items orally. Paper-and-pencil questionnaire administration, where the items are presented on paper. Computerized questionnaire administration, where the items are presented on the computer.

As can be seen in the above sample, the consent form should at least include the following information:Information about the researcher or research institution.Research purpose.Potential risks & hazards.Duration subject's participation.Contact information.A statement that the agreement is voluntary.

Trusted and secure by over 3 million people of the world’s leading companies

Pennsylvania Agreement to Conduct Public Service Opinion and Attitude Survey