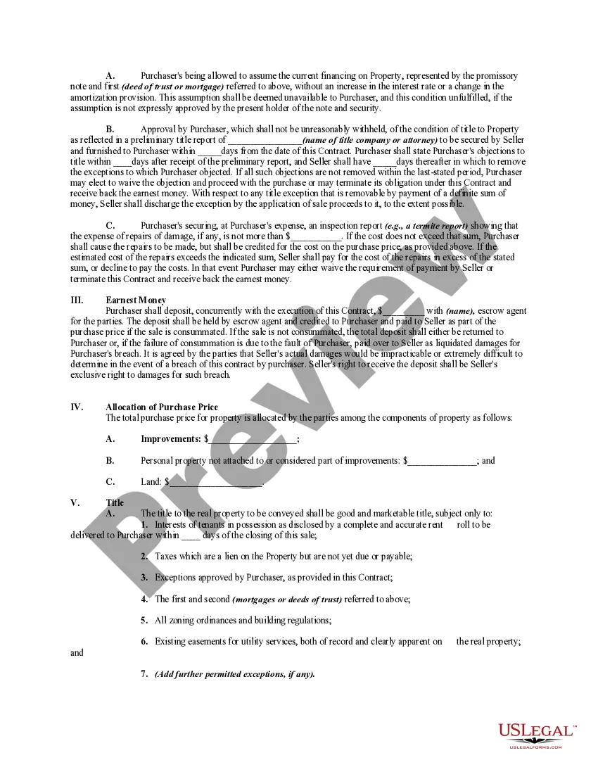
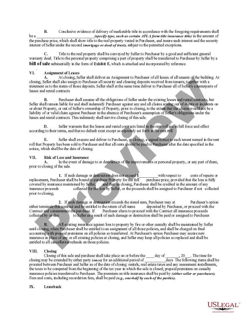
Pennsylvania Contract of Sale and Leaseback of Apartment Building with Purchaser Assuming Outstanding Note Secured by a Mortgage or Deed of Trust

State:
Multi-State
Control #:
US-00654BG
Format:
Word; 
Rich Text
Instant download

Description

This form deals with a sale of an apartment building. The purchaser is paying cash plus assuming the outstanding promissory note secured by the first deed of trust or mortgage covering the property. At the closing of the sale, the parties enter into a lease agreement with purchaser leasing the property to the seller.
Free preview
  • Preview Contract of Sale and Leaseback of Apartment Building with Purchaser Assuming Outstanding Note Secured by a Mortgage or Deed of Trust
  • Preview Contract of Sale and Leaseback of Apartment Building with Purchaser Assuming Outstanding Note Secured by a Mortgage or Deed of Trust
  • Preview Contract of Sale and Leaseback of Apartment Building with Purchaser Assuming Outstanding Note Secured by a Mortgage or Deed of Trust
  • Preview Contract of Sale and Leaseback of Apartment Building with Purchaser Assuming Outstanding Note Secured by a Mortgage or Deed of Trust

How to fill out Contract Of Sale And Leaseback Of Apartment Building With Purchaser Assuming Outstanding Note Secured By A Mortgage Or Deed Of Trust?

Discovering the right lawful record format might be a battle. Of course, there are a lot of layouts available on the Internet, but how will you find the lawful develop you want? Take advantage of the US Legal Forms website. The services gives a huge number of layouts, for example the Pennsylvania Contract of Sale and Leaseback of Apartment Building with Purchaser Assuming Outstanding Note Secured by a Mortgage or Deed of Trust, which can be used for enterprise and private demands. All the varieties are checked by pros and meet federal and state requirements.

In case you are previously authorized, log in to your bank account and then click the Acquire button to have the Pennsylvania Contract of Sale and Leaseback of Apartment Building with Purchaser Assuming Outstanding Note Secured by a Mortgage or Deed of Trust. Use your bank account to look with the lawful varieties you may have acquired formerly. Go to the My Forms tab of your respective bank account and acquire another backup of the record you want.

In case you are a new consumer of US Legal Forms, listed here are easy instructions so that you can stick to:

  • First, make certain you have chosen the correct develop for your personal city/area. You may check out the form while using Review button and browse the form description to make sure it is the best for you.
  • If the develop does not meet your needs, take advantage of the Seach industry to discover the proper develop.
  • Once you are certain that the form is suitable, select the Purchase now button to have the develop.
  • Pick the rates plan you would like and enter in the needed information. Design your bank account and pay money for the order making use of your PayPal bank account or Visa or Mastercard.
  • Select the data file formatting and acquire the lawful record format to your system.
  • Full, change and printing and sign the received Pennsylvania Contract of Sale and Leaseback of Apartment Building with Purchaser Assuming Outstanding Note Secured by a Mortgage or Deed of Trust.

US Legal Forms is definitely the biggest collection of lawful varieties in which you can find different record layouts. Take advantage of the service to acquire expertly-created files that stick to state requirements.

Form popularity

Trusted and secure by over 3 million people of the world’s leading companies

Pennsylvania Contract of Sale and Leaseback of Apartment Building with Purchaser Assuming Outstanding Note Secured by a Mortgage or Deed of Trust