US Legal Forms - one of the largest collections of legal documents in the United States - provides a range of legal template options that you can download or print.
By utilizing the website, you can obtain thousands of forms for business and personal purposes, organized by categories, states, or keywords.
You can access the latest versions of forms such as the Oregon Computer System Acquisition Agreement for Health Care Services within moments.
If the form does not meet your requirements, utilize the Lookup field at the top of the screen to find one that does.
When you are satisfied with the form, confirm your selection by pressing the Buy now button, then choose your preferred pricing plan and provide your information to register for an account.
No health coverage: 8.5% of population (2018). Medicare: payroll tax shared by employees and employers; premiums; federal general tax revenue. Medicaid: Federal and state taxes. Private insurance: premiums paid to insurers; federal tax-financed subsidies for plans sold on exchanges.
The nation's health dollar comes from the taxes and insurance premiums we pay, as well as from our co-payments and out-of-pocket expenditures.
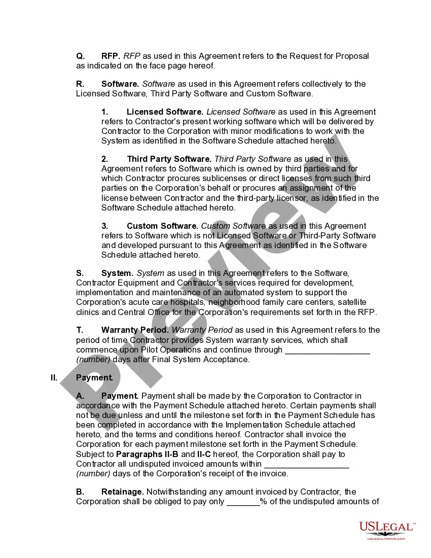
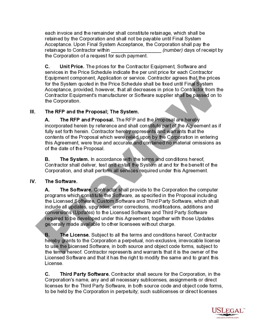
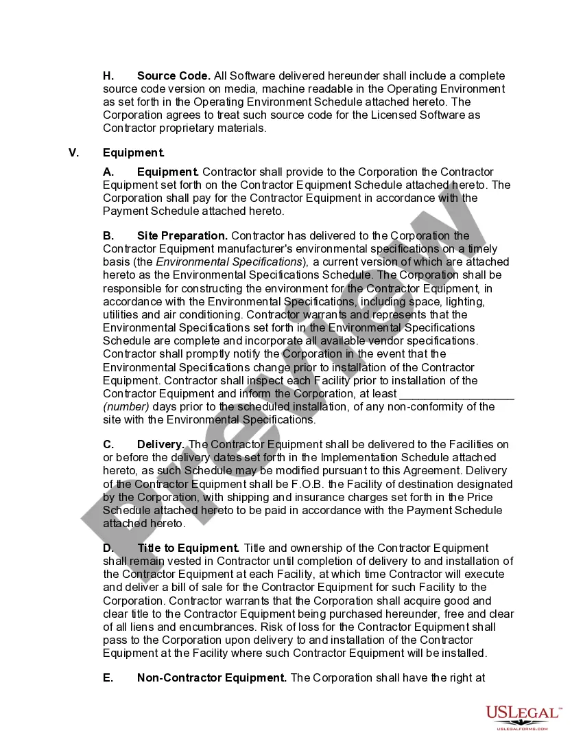
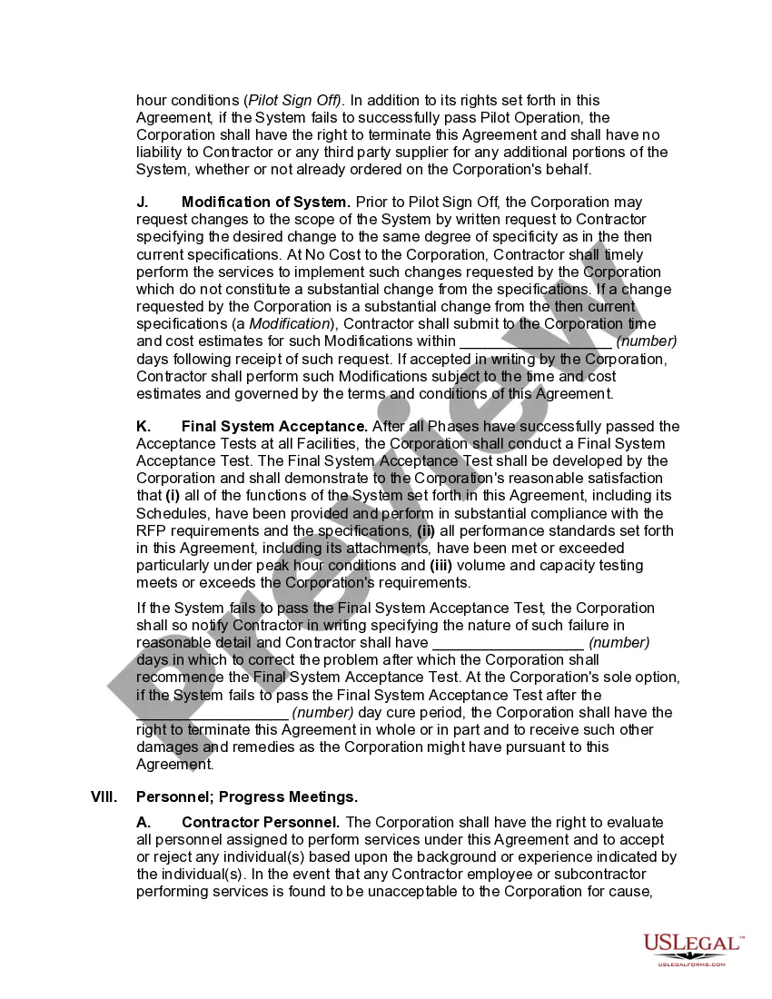
A medical service agreement must provide specific information using clear, understandable language. Although there is no structural standard, most agreements adopt a formal contract structure. Articles separate information into sections, while numbers and letters further divide each main section into subsections.
How do I write a Service Agreement?State how long the services are needed.Include the state where the work is taking place.Describe the service being provided.Provide the contractor's and client's information.Outline the compensation.State the agreement's terms.Include any additional clauses.More items...?
Important clausesProfessional component and Medical administrative services.Management services and duties.Compensation.Relationship of the Parties.No Connection to Referrals.Term and Termination.Proprietor Confidential Information and Trade Secrets.Assignment.More items...?26-Oct-2020
9 Basic Healthcare ContractsPhysician Employment Contract.Physician Recruitment Contract.Managed Services Contract.Medical Director Contract.Care Transfer Agreements.Contracts Related to the Use of Medical Technology.Compensation and Benefits Contracts.Joint Venture Contracts.More items...?04-Sept-2019
The four basic modes of paying for health care are out-of-pocket payment, individual private insurance, employment-based group private insurance, and government financing (Table 2-1).
Payer contracts define and explain a provider's reimbursement arrangement for delivering healthcare services to patients covered by a specific health plan. The contracts cover everything from reimbursement rates and provider networks to medical necessity and provider credentialing.
Traditionally, there have been three main forms of reimbursement in the healthcare marketplace: Fee for Service (FFS), Capitation, and Bundled Payments / Episode-Based Payments. The structure of these reimbursement approaches, along with potential unintended consequences, are described below.
Four payment methods (fee-for-service, discounted fee-for-service, capitation, and salary) and three payment adjustments (withholds, bonuses, and retrospective utilization targets) are the basis for nearly all contracts between health plans and your physicians, and they are described below.










