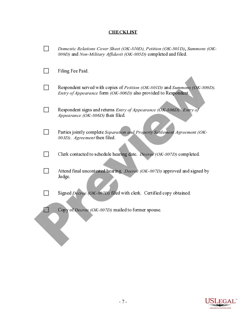
Oklahoma No-Fault Uncontested Agreed Divorce Package for Dissolution of Marriage with Adult Children and with or without Property and Debts
Notes: This summary is not intended to be an all-inclusive
summary of the laws of divorce in the State of Oklahoma, but does contain
basic and other procedures.
Grounds
Oklahoma law permits divorces based upon several different causes.
Among them are:
4. When wife at time of marriage is pregnant from someone
other than her husband.
9. Gross neglect of duty.
10. Imprisonment for the commission of a felony.
11. The procurement of a final divorce decree without this state by a husband or wife which does not in this state release the other party from the obligations of the marriage.
12. Insanity for a period of five (5) years. OSA 43-101
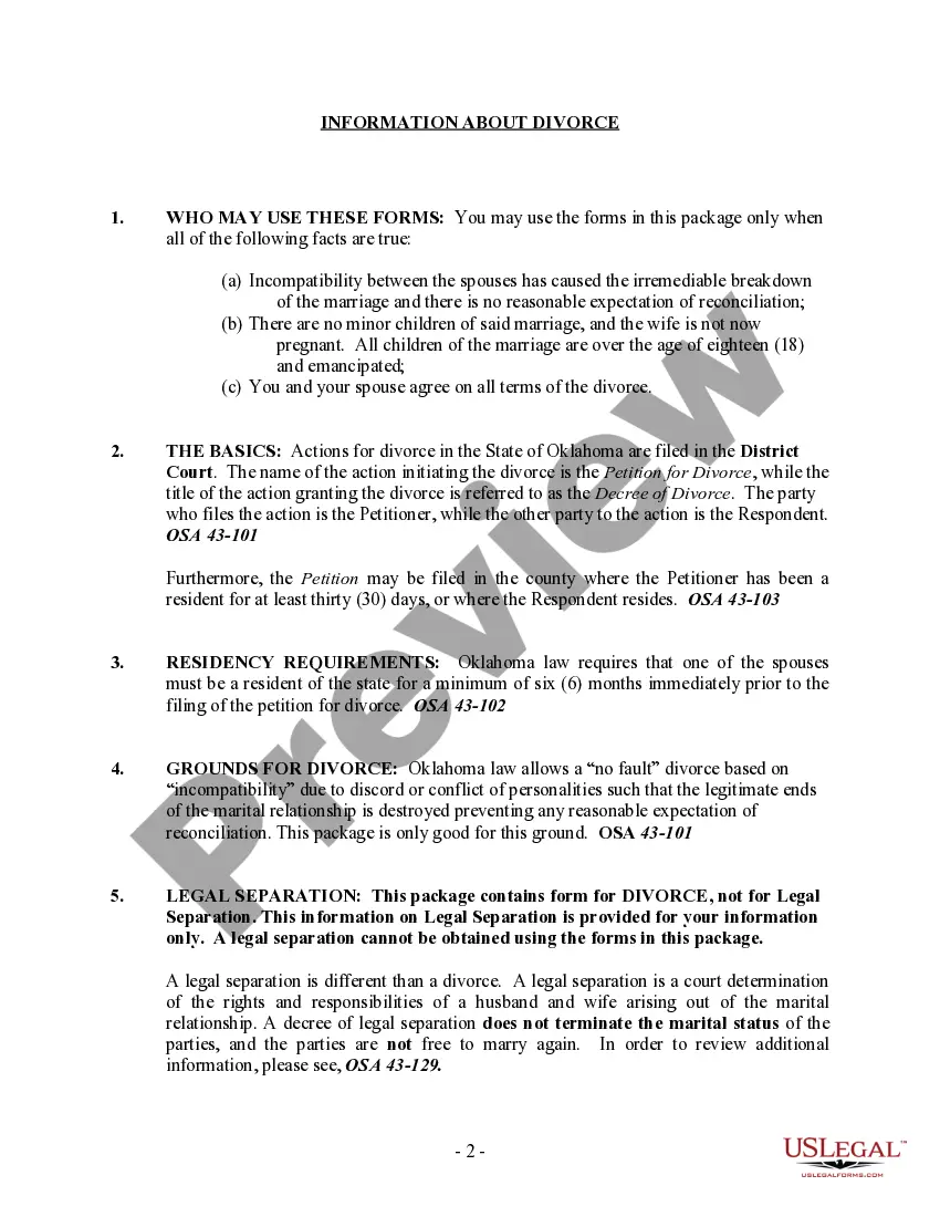
Residency requirements
Oklahoma law requires that one of the spouses must be a resident
of the state for a minimum of six (6) months immediately prior to the filing
of the petition for divorce. Provided, any person who has been a resident of any United States army post or military reservation within the State of Oklahoma, for six (6)
months next preceding the filing of the petition, may bring action for
divorce or may be sued for divorce.OSA 43-102
Venue
An action for divorce or annulment of a marriage may be filed in
the county in which the plaintiff has been a resident for the thirty
(30) days immediately preceding the filing of the petition or in the
county in which the defendant is a resident; provided, the action may
be assigned for trial in any county within the judicial district by
the chief judge of the district; and OSA 43-103
Name of court and title of action/parties
Actions for divorce in the State of Oklahoma are filed in the District
Court. The name of the action initiating the divorce is the Petition
for Divorce, while the title of the action granting the divorce is
referred to as the Decree of Divorce. The party who files
the action is the Plaintiff, while the other party to the action
is the Defendant. OSA 43-101
Legal separation
Oklahoma law permits a spouse to bring an action for alimony against
the other spouse without a divorce. The defenses to this action are the
same as for a divorce action. OSA 43-129
Waiting period
In a divorce action involving minor children, the court will not issue a decree of divorce until ninety (90) days have elapsed from the date of the filing of the petition which ninety (90) days may be waived by the court for good cause shown and without objection by either party. It shall be unlawful for either party to an action for divorce whose former husband or wife is living to marry in this state a person other than the divorced spouse within six (6) months from date of decree of divorce granted in this state, or to cohabit with such other person in this state during said period if the marriage took place in another state; and if an appeal be commenced from said decree, it shall be unlawful for either party to such cause to marry any other person and cohabit with such person in this state until the expiration of thirty 30) days from the date on which final judgment shall be rendered pursuant to such appeal. Any person violating the provisions of this section by such marriage shall be deemed guilty of the felony of bigamy. Any person violating the provisions of this section by such cohabitation shall be deemed guilty of the felony of adultery.. OSA 43-107.1, 43-123
Alimony
Either spouse may be awarded alimony out of real and personal property
of the other spouse as the court deems reasonable. The court shall make
such award either in a lump sum or in installments, as it deems just and equitable.
The obligation to pay alimony terminates upon the death
or remarriage of the recipient or upon the voluntary cohabitation of the
recipient with a member of the opposite sex. OSA 43-121
Distribution of property
Oklahoma is an equitable distribution state. This means that the
court will divide the marital property between the parties as it deems
equitable and just. The court may divide the property in kind, or by setting
aside the property to one party and requiring the other party to be paid
in such amount as may be fair and just to effect an equitable division.
The court may set apart a portion of the separate estate of a spouse to the
other spouse for the support of the children of the marriage where custody
resides with that spouse.
OSA 43-121
Child custody
Oklahoma courts will decide the issue of custody based upon the
best interests of the child. Custody may be granted to either parent or
to both parents jointly. When awarding custody, the court shall consider
which parent is more likely to allow the child frequent and continuing
contact with the other parent. Gender of the parties shall not be a consideration
in determining custody of the child. If either or both parents have
requested joint custody, the party so requesting shall submit to the court
parenting plans detailing the arrangements for the care of the child. Such
plans shall include provisions relating to the medical and dental care
of the child, school placement, physical living arrangements for the child,
child support obligations, and visitation rights. In determining
custody, the child may express his or her preference, although the court
shall not be bound by the preference expressed by the child. The
court may require the parties to a divorce involving minor children to
attend an educational program concerning the impact of divorce on children
and conflict resolution between parents. The court may also order individual
counseling, as it deems appropriate. OSA 43-112
In every case involving the custody of, guardianship of or visitation
with a child, the court shall consider evidence of ongoing domestic
abuse which is properly brought before it. If the occurrence of
ongoing domestic abuse is established by clear and convincing
evidence, there shall be a rebuttable presumption that it is not in
the best interests of the child to have custody, guardianship or
unsupervised visitation granted to the abusive person. 43-112.2
Child support
The Oklahoma legislature has established child support guidelines
which establish the presumptive correct amount of child support. Deviation
from the guidelines require a specific finding by the court that application
of the guidelines would be unjust or inappropriate and such findings must
be included in the judgment. Child support orders may be modified
upon a showing of material change in circumstances of the parties.
A child shall be entitled to support until the child reaches eighteen (18) years
of age. No hearing shall be required to extend such support through the
age of eighteen (18) if the child is regularly and continuously attending high school.
OSA 43-112
Name change
When a divorce is granted, the court may restore the wife to her
maiden or former name if she so desires. OSA 43-121