New Hampshire Employment Contract Between an Employee and an Employer in the Technology Business

State:
Multi-State
Control #:
US-00725BG
Format:
Word; 
Rich Text
Instant download

Description

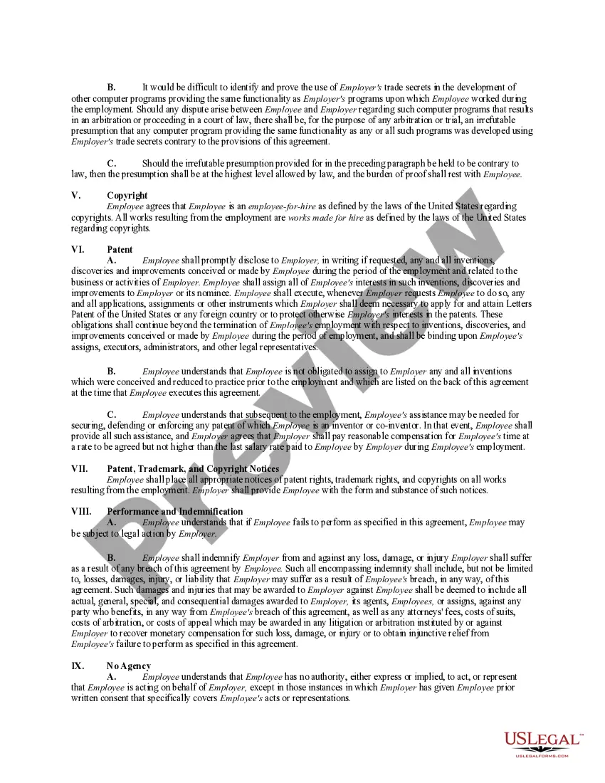
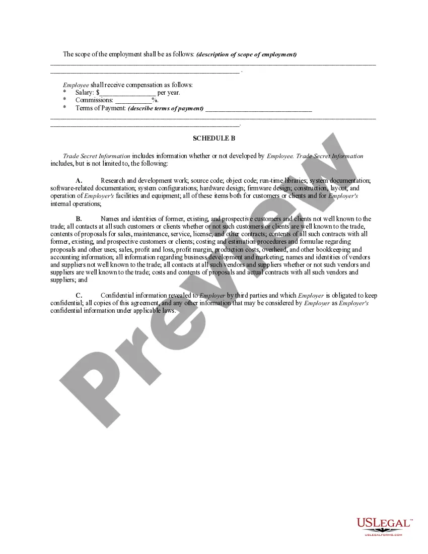
As the title indicates, this form is a sample of an employment contract between an employee and employer in the technology business. It contains both a nondisclosure section as well as a noncompetition section. This form also provides a definition of the phrase trade secrets.
Free preview
  • Preview Employment Contract Between an Employee and an Employer in the Technology Business
  • Preview Employment Contract Between an Employee and an Employer in the Technology Business
  • Preview Employment Contract Between an Employee and an Employer in the Technology Business
  • Preview Employment Contract Between an Employee and an Employer in the Technology Business
  • Preview Employment Contract Between an Employee and an Employer in the Technology Business

How to fill out Employment Contract Between An Employee And An Employer In The Technology Business?

Locating the appropriate authorized document template can be a challenge.

Certainly, there are numerous templates accessible online, but how can you discover the legal form you require.

Utilize the US Legal Forms website. This service provides a multitude of templates, including the New Hampshire Employment Agreement Between an Employee and an Employer in the Technology Sector, which you can use for both business and personal purposes.

You can preview the form using the Preview button and read the form description to confirm that it is suitable for you.

  1. All documents are examined by experts and comply with federal and state regulations.
  2. If you are already registered, sign in to your account and click the Download button to obtain the New Hampshire Employment Agreement Between an Employee and an Employer in the Technology Sector.
  3. Use your account to search for the legal documents you may have purchased previously.
  4. Visit the My documents section of your account to download another copy of the document you require.
  5. If you are a new user of US Legal Forms, here are basic steps to follow.
  6. First, ensure you have selected the correct form for your state/region.

Form popularity

FAQ

Yes, wrongful termination claims can arise in New Hampshire under certain circumstances, especially if the dismissal violates anti-discrimination laws or breaches the terms of a contract. If you believe you have experienced wrongful termination, consulting a legal professional about your New Hampshire Employment Contract Between an Employee and an Employer in the Technology Business is advisable. Understanding your rights can empower you to take appropriate actions in these situations.

While a termination letter is not legally mandated in New Hampshire, it is beneficial to have one. Receiving a termination letter can provide clarity about the end of employment and outline any final obligations or payments. A precise New Hampshire Employment Contract Between an Employee and an Employer in the Technology Business can address this and ensure both parties agree on the terms of separation.

The 72 hour rule in New Hampshire stipulates that employers must issue final paychecks, including accrued wages and benefits, within 72 hours of termination. This rule applies especially in the context of a New Hampshire Employment Contract Between an Employee and an Employer in the Technology Business, ensuring timely and fair compensation. Understanding this rule can protect employees' rights upon separation from their employer.

In New Hampshire, a termination letter is not legally required; however, it is highly recommended for clarity. A well-documented termination letter, as part of a New Hampshire Employment Contract Between an Employee and an Employer in the Technology Business, can provide a formal record of the employment end date and reasons for termination. This can help both the employer and employee maintain clear communication.

The New Hampshire employment agreement is a legal document that establishes a working relationship between an employee and an employer. Specifically for the technology business sector, this type of contract provides key terms such as salary, benefits, and work hours. Crafting a precise New Hampshire Employment Contract Between an Employee and an Employer in the Technology Business can protect both parties and foster positive working conditions.

The agreement between the employer and the employee in the context of a New Hampshire Employment Contract Between an Employee and an Employer in the Technology Business outlines the expectations and obligations of both parties. This contract typically includes details about job responsibilities, compensation, and other employment terms. Understanding this agreement is crucial for both employees and employers to clarify roles and prevent disputes.

In New Hampshire, there are no laws outright prohibiting employees from working seven days in a row. However, employers must ensure they adhere to fair labor standards and provide necessary breaks. An Employment Contract Between an Employee and an Employer in the Technology Business can establish guidelines for work schedules, encouraging a balanced approach to work. Clear contracts help employees understand their rights and what is expected of them.

The COBRA law provides employees and their families with the right to continue their health insurance coverage after leaving a job. In New Hampshire, this law applies to companies with 20 or more employees. The details regarding health insurance continuation can be integrated into the Employment Contract Between an Employee and an Employer in the Technology Business. By doing so, both employers and employees establish mutual understanding regarding health benefits during transitions.

New Hampshire law does not mandate a specific number of breaks that employers must provide, but it does require that employees be given breaks for certain work periods. Typically, employees may receive a 15-minute break for every four hours of work. For those in technology businesses, an Employment Contract Between an Employee and an Employer can specify break times to promote a healthy work-life balance. This clarity helps foster a supportive workplace environment.

In New Hampshire, full-time employment generally refers to positions that require 40 hours of work each week. However, some employers may consider 32 hours as full-time under specific circumstances, especially in the technology sector. It is crucial for an Employment Contract Between an Employee and an Employer in the Technology Business to clearly define the terms of full-time work. This ensures that both parties understand expectations regarding hours, benefits, and compensation.

Trusted and secure by over 3 million people of the world’s leading companies

New Hampshire Employment Contract Between an Employee and an Employer in the Technology Business