Nebraska Application and Agreement for Clubhouse of Condominium Association

State:
Multi-State
Control #:
US-02398BG
Format:
Word; 
PDF; 
Rich Text
Instant download

Description

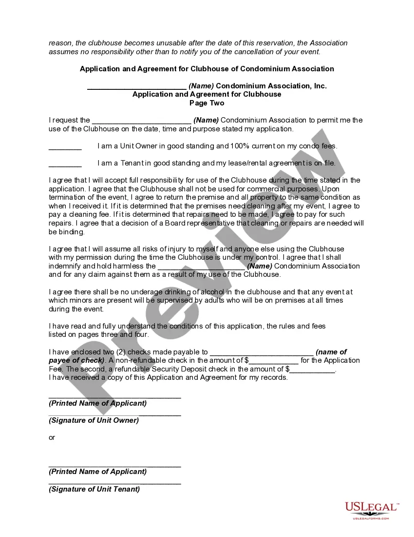
This is a form to rent the Clubhouse of a Condominium Association by a member or tenant of the Condominium.
Free preview
  • Preview Application and Agreement for Clubhouse of Condominium Association
  • Preview Application and Agreement for Clubhouse of Condominium Association
  • Preview Application and Agreement for Clubhouse of Condominium Association
  • Preview Application and Agreement for Clubhouse of Condominium Association
  • Preview Application and Agreement for Clubhouse of Condominium Association
  • Preview Application and Agreement for Clubhouse of Condominium Association

How to fill out Application And Agreement For Clubhouse Of Condominium Association?

Are you in a position where you require paperwork for either business or personal purposes nearly every day.

There is a multitude of legal document templates available online, but finding reliable ones can be challenging.

US Legal Forms offers a vast selection of form templates, including the Nebraska Application and Agreement for Clubhouse of Condominium Association, designed to comply with federal and state regulations.

Once you locate the correct form, just click Purchase now.

Select the pricing plan you prefer, fill in the required information to create your account, and process the order using your PayPal or credit card. Choose a convenient file format and download your copy. You can find all the document templates you have purchased in the My documents menu. You can obtain an additional copy of the Nebraska Application and Agreement for Clubhouse of Condominium Association at any time, if needed. Simply select the desired form to download or print the document template. Utilize US Legal Forms, the most extensive collection of legal forms, to save time and avoid errors. The service provides professionally crafted legal document templates that you can use for a variety of purposes. Create an account on US Legal Forms and begin simplifying your life.

  1. If you are already familiar with the US Legal Forms website and possess an account, simply Log In.
  2. Afterward, you may download the Nebraska Application and Agreement for Clubhouse of Condominium Association template.
  3. If you do not have an account and wish to begin using US Legal Forms, follow these instructions.
  4. Obtain the form you need and ensure it corresponds to your appropriate area/state.
  5. Utilize the Preview button to examine the document.
  6. Check the description to verify that you have selected the correct form.
  7. If the form does not meet your expectations, use the Search area to find the document that fulfills your requirements.

Form popularity

FAQ

A condo association agreement outlines the responsibilities and rights of the condo association and its owners. It typically includes rules for property maintenance, financial obligations, and decision-making processes. The Nebraska Application and Agreement for Clubhouse of Condominium Association serves as a foundation for creating an effective agreement. This legal document helps ensure transparency and collaboration among all members.

To form a condominium association, begin by organizing owners and defining your governance structure. Next, draft bylaws and create a declaration that details how the association will operate. The Nebraska Application and Agreement for Clubhouse of Condominium Association is an excellent resource for obtaining the proper legal format. Engaging with all owners in this process can foster cooperation and smooth operations in the future.

The time it takes for condo association approval can vary depending on several factors, including the specific association’s processes and the complexity of the application. Typically, the Nebraska Application and Agreement for Clubhouse of Condominium Association is reviewed within a few weeks. However, it's best to consult the association directly for a more accurate timeline. Having all necessary documents prepared can help speed up the process.

Yes, you need a registered agent for your LLC in Nebraska. The registered agent receives important legal documents on behalf of your business. You can act as your own registered agent, or you might consider a professional service to help you manage these responsibilities. This way, you can focus on utilizing tools like the Nebraska Application and Agreement for Clubhouse of Condominium Association to streamline your business setup.

To get a DBA, or 'Doing Business As,' in Nebraska, start by choosing your desired business name. You will need to check the availability of this name through the Nebraska Secretary of State's website. Once confirmed, you can complete the Nebraska Application and Agreement for Clubhouse of Condominium Association online or in person. This ensures that your business name is officially registered and offers protection for your brand.

No, a Certificate of Organization and an operating agreement are distinct documents. The Certificate establishes your LLC's existence legally, while the operating agreement outlines the internal management structure and operating procedures. Understanding this difference is key when preparing your Nebraska Application and Agreement for Clubhouse of Condominium Association and managing your LLC effectively.

In Nebraska, HOA covenants do not automatically expire, but can be subject to specific timeframes as outlined in the original documents. These covenants remain enforceable unless formally amended or revoked. It's vital to refer back to your documents to understand their terms, including any relevant bylaws related to agreements like the Nebraska Application and Agreement for Clubhouse of Condominium Association.

To obtain a certificate of good standing in Nebraska, you must request it through the Secretary of State’s office. You’ll need to provide your LLC’s name and possibly other identifying information. Once you have ensured your compliance with all state regulations—like filing the Nebraska Application and Agreement for Clubhouse of Condominium Association—you can obtain this important document.

A certificate of formation is the document you file to legally establish your LLC. Essentially, this document is foundational, but it is not the LLC itself; rather, it marks the creation of your LLC in Nebraska. Understanding the difference is crucial, especially when preparing your Nebraska Application and Agreement for Clubhouse of Condominium Association.

You can obtain a certificate of organization in Nebraska by filing online or by mail with the Secretary of State. The application will require details about your LLC, including its official name and purpose. Using the Nebraska Application and Agreement for Clubhouse of Condominium Association can guide you through the required steps, ensuring you submit everything correctly.

Trusted and secure by over 3 million people of the world’s leading companies

Nebraska Application and Agreement for Clubhouse of Condominium Association