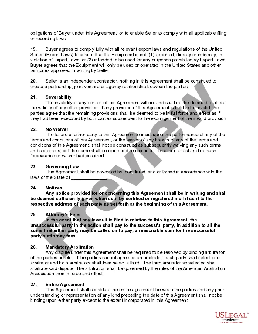
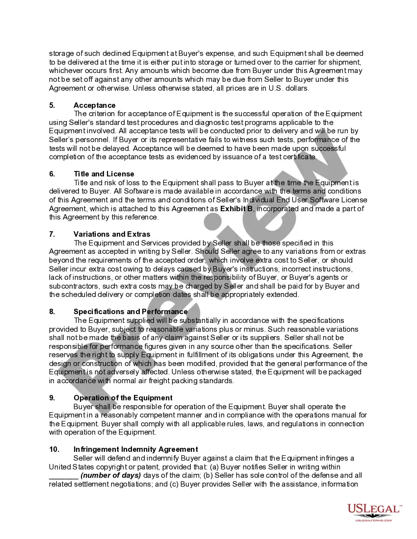
Nebraska Agreement for Sale Equipment and Related Software

State:
Multi-State
Control #:
US-02276BG
Format:
Word; 
Rich Text
Instant download

Description

This form is a generic example that may be referred to when preparing such a form for your particular state. It is for illustrative purposes only. Local laws should be consulted to determine any specific requirements for such a form in a particular jurisdiction.

Free preview
  • Preview Agreement for Sale Equipment and Related Software
  • Preview Agreement for Sale Equipment and Related Software
  • Preview Agreement for Sale Equipment and Related Software
  • Preview Agreement for Sale Equipment and Related Software
  • Preview Agreement for Sale Equipment and Related Software
  • Preview Agreement for Sale Equipment and Related Software
  • Preview Agreement for Sale Equipment and Related Software

How to fill out Agreement For Sale Equipment And Related Software?

Locating the correct legal document template may be a challenge.

Clearly, there are numerous templates accessible online, but how can you locate the legal form that you require.

Utilize the US Legal Forms website. This platform offers a wide selection of templates, such as the Nebraska Agreement for Sale of Equipment and Related Software, which can be used for both business and personal purposes.

You can preview the document using the Review button and check the document description to confirm it’s the right one for you.

  1. All of the documents are reviewed by experts and comply with state and federal regulations.
  2. If you are already registered, Log In to your account and click on the Acquire button to access the Nebraska Agreement for Sale of Equipment and Related Software.
  3. Use your account to browse the legal documents you have purchased in the past.
  4. Go to the My documents section of your account to download another copy of the form you need.
  5. If you are a new user of US Legal Forms, follow these simple steps.
  6. First, ensure you have selected the correct form for your city/state.

Form popularity

FAQ

In Nebraska, digital products such as software or digital downloads may be taxable, depending on their nature and how they are delivered. When engaging in a Nebraska Agreement for Sale Equipment and Related Software, it's essential to review the rules surrounding digital product taxation. This understanding can help you avoid unexpected costs. Consulting with tax professionals is a good way to remain compliant and informed.

In Nebraska, various items are not subject to sales tax, which can include certain food products, prescription drugs, and some educational materials. Understanding these exemptions can be particularly beneficial when you are considering a Nebraska Agreement for Sale Equipment and Related Software. Always check the most current regulations, as tax laws can change frequently. Employing this knowledge can help you make more informed purchasing decisions.

Certain equipment purchases may qualify for tax exemption in Nebraska, especially if they relate to manufacturing or specific types of business operations. If you enter into a Nebraska Agreement for Sale Equipment and Related Software, you might be able to leverage tax-exempt status under specific conditions. It is essential to do your research and possibly consult with a tax advisor to explore your eligibility. This approach can lead to significant savings for your business.

Nebraska form 13 is a crucial document, also known as the 'Claim for Exemption from Sales and Use Tax.' This form is essential for businesses looking to claim tax exemption on specific equipment purchases. When applying for a Nebraska Agreement for Sale Equipment and Related Software, using form 13 could help save on sales tax. We recommend carefully reviewing the eligibility criteria before submission.

In Nebraska, the sales tax on equipment generally falls within a range of 5.5% to 7.5%, depending on local jurisdictions. When acquiring equipment under a Nebraska Agreement for Sale Equipment and Related Software, it is vital to account for this tax. Understanding the applicable sales tax rates can help you budget more effectively for your equipment purchases. Always consult official resources or tax experts to ensure compliance.

To obtain government manufacturing contracts, focus on identifying upcoming opportunities and understanding agency needs. Developing a compelling proposal that includes a Nebraska Agreement for Sale Equipment and Related Software can set you apart from competitors. It's also essential to establish strong relationships with procurement officers. Regularly attending industry events and workshops can give you insights into best practices and current trends, further enhancing your chances.

To secure a government manufacturing contract, begin by identifying the specific needs of government agencies. Ensure your products align with these needs and prepare a Nebraska Agreement for Sale Equipment and Related Software to streamline your proposal. Registering in government procurement databases can increase visibility for your offerings. Additionally, responsive communication and thorough compliance with application requirements can enhance your prospects.

A government contractor is typically an individual or company that has entered into a contractual agreement with a government entity. Qualifications can vary based on the nature of the contract, but generally include compliance with federal regulations and relevant licenses. A Nebraska Agreement for Sale Equipment and Related Software may help ensure that your operations meet contractual obligations. Understanding these requirements is key to qualifying in this competitive space.

Securing government contracts can be complex, but it is manageable with the right approach. Many businesses find that understanding the requirements and preparing necessary documents, like a Nebraska Agreement for Sale Equipment and Related Software, greatly simplifies the process. Insights into bidding procedures and compliance can increase your chances of success. Consider using resources that guide you through each step of this journey.

Calculating Nebraska sales tax is done by multiplying the taxable amount by the state's sales tax rate, which is currently 5.5%. For local taxes, you may need to add additional rates based on the location of the sale. Including this information in your Nebraska Agreement for Sale Equipment and Related Software can ensure you or your clients account for total costs accurately.

Trusted and secure by over 3 million people of the world’s leading companies

Nebraska Agreement for Sale Equipment and Related Software