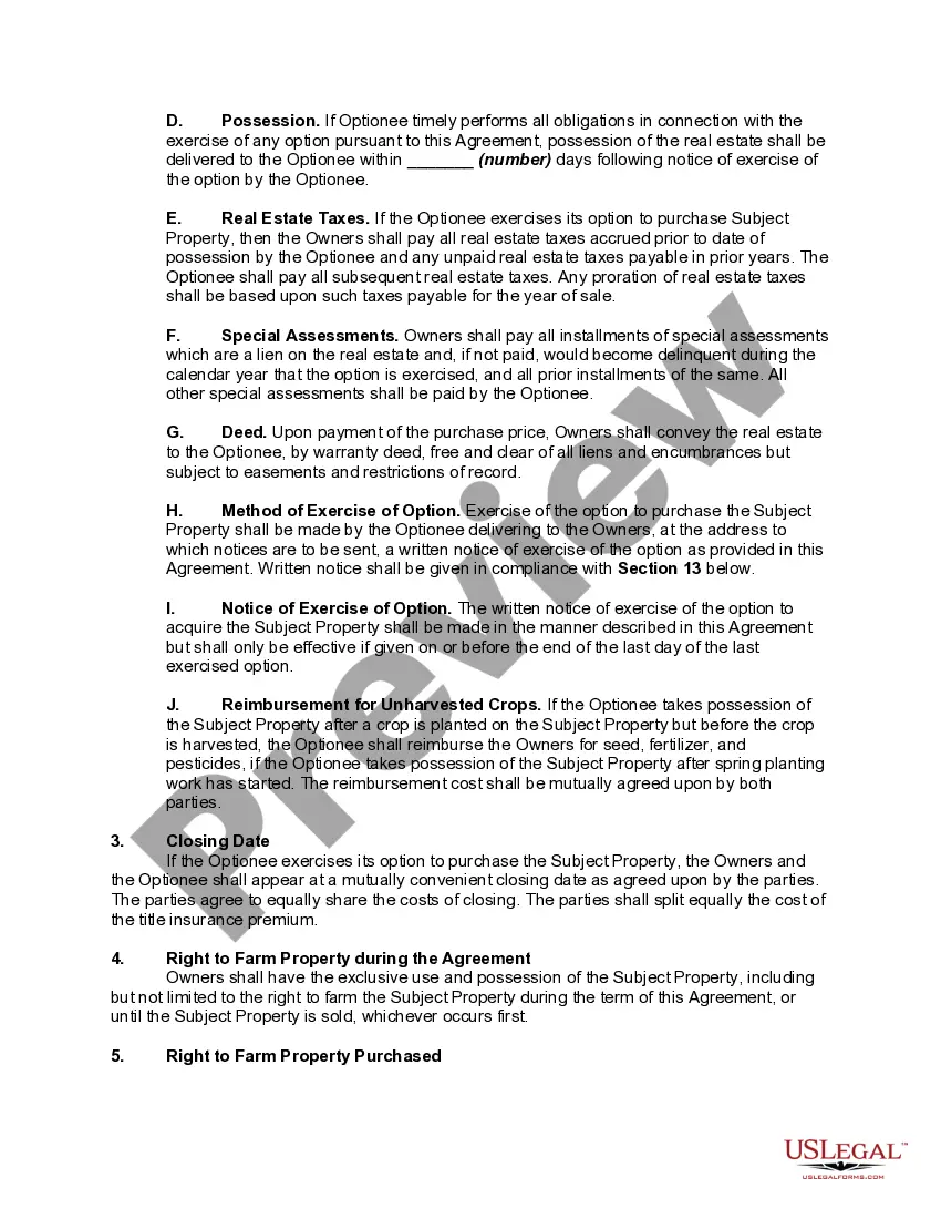
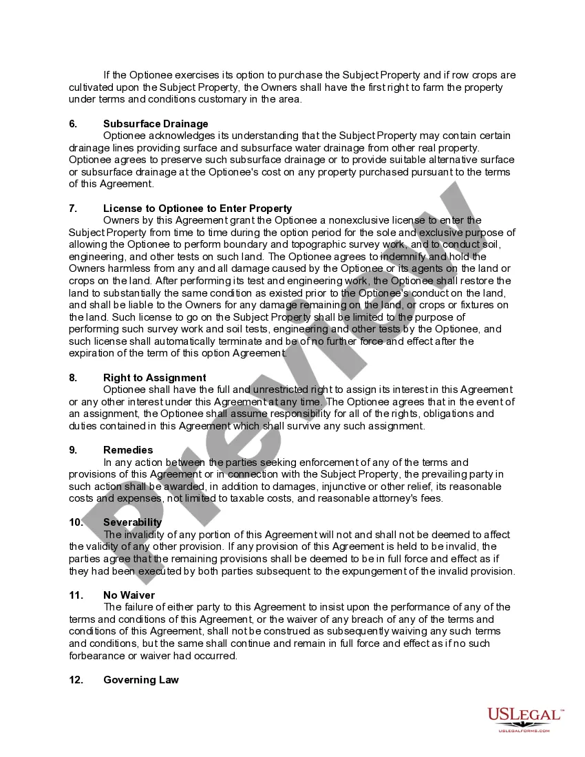
Nebraska Option to Purchase Farm Land to be Developed for Industrial or Commercial Purposes

State:
Multi-State
Control #:
US-02257BG
Format:
Word; 
Rich Text
Instant download

Description

Option to Purchase Farm Land to be Developed for Industrial or Commercial Purposes
Free preview
  • Preview Option to Purchase Farm Land to be Developed for Industrial or Commercial Purposes
  • Preview Option to Purchase Farm Land to be Developed for Industrial or Commercial Purposes
  • Preview Option to Purchase Farm Land to be Developed for Industrial or Commercial Purposes
  • Preview Option to Purchase Farm Land to be Developed for Industrial or Commercial Purposes
  • Preview Option to Purchase Farm Land to be Developed for Industrial or Commercial Purposes

How to fill out Option To Purchase Farm Land To Be Developed For Industrial Or Commercial Purposes?

If you need to finalize, acquire, or print sanctioned document templates, utilize US Legal Forms, the largest collection of legal forms available online.

Take advantage of the site's simple and user-friendly search to find the documents you require.

Various templates for business and personal purposes are categorized by types and states, or keywords. Utilize US Legal Forms to obtain the Nebraska Option to Purchase Farm Land to be Developed for Industrial or Commercial Purposes with just a few clicks.

Every legal document template you purchase is yours forever. You have access to every form you downloaded in your account. Click on the My documents section and select a form to print or download again.

Complete and download, and print the Nebraska Option to Purchase Farm Land to be Developed for Industrial or Commercial Purposes with US Legal Forms. There are millions of professional and state-specific forms you can use for your business or personal needs.

  1. If you are currently a US Legal Forms subscriber, Log In to your account and click on the Acquire button to locate the Nebraska Option to Purchase Farm Land to be Developed for Industrial or Commercial Purposes.
  2. You can also access forms you previously downloaded in the My documents section of your account.
  3. If you are using US Legal Forms for the first time, follow the instructions below.
  4. Step 1. Ensure you have selected the form for the correct city/region.
  5. Step 2. Use the Review option to evaluate the form's content. Be sure to read the description.
  6. Step 3. If you are not satisfied with the form, utilize the Search area at the top of the screen to find other versions of the legal form template.
  7. Step 4. Once you have located the form you need, click the Get now button. Choose the pricing plan you prefer and enter your credentials to register for an account.
  8. Step 5. Process the purchase. You can use your credit card or PayPal account to complete the transaction.
  9. Step 6. Select the format of your legal form and download it to your device.
  10. Step 7. Complete, modify, and print or sign the Nebraska Option to Purchase Farm Land to be Developed for Industrial or Commercial Purposes.

Form popularity

FAQ

Half of all habitable land is used for agriculture. This leaves only 37% for forests; 11% as shrubs and grasslands; 1% as freshwater coverage; and the remaining 1% a much smaller share than many suspect is built-up urban area which includes cities, towns, villages, roads and other human infrastructure.

2022 Farm saved seed exception or exemption (also known as farmers' privilege) refers to the. optional exception permitted by the breeder's right in Article 15(2) of the 1991 Act of the. UPOV Convention which within reasonable limits and subject to the safeguarding of the.

"Nebraska is home to a wide variety of land uses, from irrigated row crops and winter wheat in the western part of the state to dryland corn and soybeans in the east.

The number of and function of the house you want to build means the difference between getting your building approved or not if you can prove that the building is for farming purposes (like living on-site to tend to crops or livestock), you'll likely get permission to build your house on agricultural land.

Annually, production agriculture contributes more than $25 billion to Nebraska's economy, thanks to the hard work of Nebraska farmers and ranchers working on 49,100 farms and ranches spread across more than 45 million acres. In fact, farms and ranches use 92 percent of Nebraska's total land area.

Form 13 is a fairly simple form that can be found online under Forms on the Nebraska Department of Revenue website, . It must be filed with each retailer you purchase agricultural supplies and parts from.

The sale, lease, or rental of depreciable agricultural machinery and equipment for use directly in commercial agriculture is exempt from Nebraska and local sales and use taxes.

Form 13 is a fairly simple form that can be found online under Forms on the Nebraska Department of Revenue website, . It must be filed with each retailer you purchase agricultural supplies and parts from.

A farm is any tract of land over ten acres in area used for or devoted to the commercial production of farm products.

Trusted and secure by over 3 million people of the world’s leading companies

Nebraska Option to Purchase Farm Land to be Developed for Industrial or Commercial Purposes