Nebraska Agreement and Declaration of Real Estate Business Trust - Massachusetts Nominee Realty Trust - Trustees to Act only as Directed by Beneficiaries

State:
Multi-State
Control #:
US-02026BG
Format:
Word; 
Rich Text
Instant download

Description

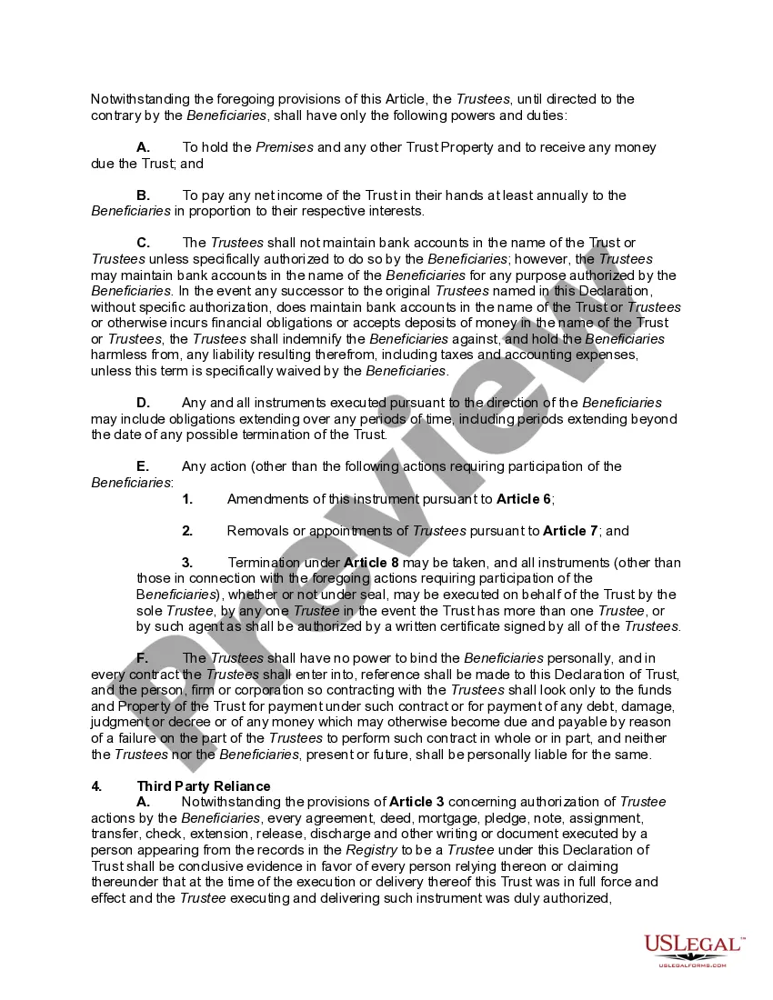
A Massachusetts nominee trust is (a) in writing, (b) has one or more persons or corporations named as trustees, (c) has an identified corpus, (d) has beneficiaries identified on a written schedule held by the trustees but not disclosed to the public, and (e) contains various trustee powers as to corpus dispositions that can only be exercised when authorized by the beneficiaries.


The beneficiaries are the owners of the corpus for all purposes, including income, gift and estate taxation, except being the owners of record of the corpus. There is a Principal/Agent relationship between the Trustees and the Beneficiaries, and it is somewhat the reverse where usually in a Grantor Trust, the Trustee instructs the Beneficiaries on what he will/is allowed to do for them, but in a Nominee Trust the Beneficiaries direct the Trustee.


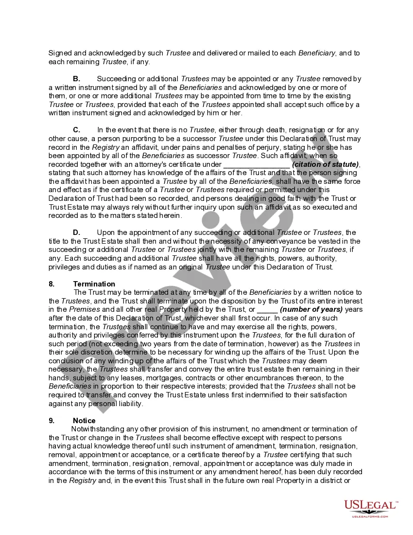
The nominee trust was conceived as an estate-planning vehicle to allow a decedent's real estate to pass to beneficiaries without the necessity of it being probated, e.g., the undisclosed beneficiaries would be also be the trustees of the Nominee trust (you can't have the same trustee be the only beneficiary, but the same two trustees can be the same two beneficiaries!)


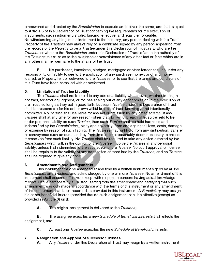
The trustees have liability in tort but not in contract if the trust has appropriate language stating that those dealing with the trust may look only to trust property when a dispute arises with the trustee and giving the trustee ostensible authority to deal with the trustee.

Free preview
  • Preview Agreement and Declaration of Real Estate Business Trust - Massachusetts Nominee Realty Trust - Trustees to Act only as Directed by Beneficiaries
  • Preview Agreement and Declaration of Real Estate Business Trust - Massachusetts Nominee Realty Trust - Trustees to Act only as Directed by Beneficiaries
  • Preview Agreement and Declaration of Real Estate Business Trust - Massachusetts Nominee Realty Trust - Trustees to Act only as Directed by Beneficiaries
  • Preview Agreement and Declaration of Real Estate Business Trust - Massachusetts Nominee Realty Trust - Trustees to Act only as Directed by Beneficiaries
  • Preview Agreement and Declaration of Real Estate Business Trust - Massachusetts Nominee Realty Trust - Trustees to Act only as Directed by Beneficiaries
  • Preview Agreement and Declaration of Real Estate Business Trust - Massachusetts Nominee Realty Trust - Trustees to Act only as Directed by Beneficiaries

How to fill out Agreement And Declaration Of Real Estate Business Trust - Massachusetts Nominee Realty Trust - Trustees To Act Only As Directed By Beneficiaries?

You might invest time online trying to locate the legitimate document template that satisfies the state and federal requirements you need.

US Legal Forms offers thousands of legal forms that are assessed by experts.

It is easy to download or print the Nebraska Agreement and Declaration of Real Estate Business Trust - Massachusetts Nominee Realty Trust - Trustees to Act only as Directed by Beneficiaries from my services.

First, ensure that you have selected the correct document template for the state/area that you choose. Read the form description to confirm you have chosen the proper template. If available, use the Review button to check the document template as well.

  1. If you possess a US Legal Forms account, you can Log In and click the Acquire button.
  2. After that, you can complete, modify, print, or sign the Nebraska Agreement and Declaration of Real Estate Business Trust - Massachusetts Nominee Realty Trust - Trustees to Act only as Directed by Beneficiaries.
  3. Every legal document template you purchase is yours forever.
  4. To obtain an additional copy of any purchased form, visit the My documents tab and click the corresponding button.
  5. If you are using the US Legal Forms site for the first time, follow the simple instructions below.

Form popularity

FAQ

A nominee trust agreement is a legal framework where one party, the trustee, holds property for the benefit of another, the beneficiary. Specifically, in the Nebraska Agreement and Declaration of Real Estate Business Trust - Massachusetts Nominee Realty Trust - Trustees to Act only as Directed by Beneficiaries, this agreement clarifies how trustees operate solely at the direction of the beneficiaries. This structure provides flexibility and security in managing real estate assets while ensuring that the beneficiaries’ interests are protected and prioritized.

A nominee agreement serves to define the role of a nominee in a real estate transaction. In the context of the Nebraska Agreement and Declaration of Real Estate Business Trust - Massachusetts Nominee Realty Trust - Trustees to Act only as Directed by Beneficiaries, it establishes how the nominee holds property on behalf of the beneficiaries. This arrangement provides clarity in ownership and allows beneficiaries to retain control over the property without being directly named as owners, which can enhance privacy and simplify management.

A declaration of a trust is not the same as a trust; rather, it is a specific document that establishes and governs a trust. While a trust encompasses the overall concept of asset management for beneficiaries, the declaration articulates specific guidelines and rules. Recognizing this difference is crucial, particularly in the context of the Nebraska Agreement and Declaration of Real Estate Business Trust - Massachusetts Nominee Realty Trust - Trustees to Act only as Directed by Beneficiaries.

Another name for a declaration of trust is a trust agreement or trust declaration. These terms effectively convey the legal instrument that outlines how the trust operates and the responsibilities of all parties involved. It's important to use the right terminology, especially when referring to instruments like the Nebraska Agreement and Declaration of Real Estate Business Trust - Massachusetts Nominee Realty Trust - Trustees to Act only as Directed by Beneficiaries.

One of the biggest mistakes parents make when setting up a trust fund is failing to communicate their intentions clearly with their beneficiaries. This lack of communication can lead to misunderstandings and conflicts down the line. With the Nebraska Agreement and Declaration of Real Estate Business Trust - Massachusetts Nominee Realty Trust - Trustees to Act only as Directed by Beneficiaries, open discussions about the trust's purpose can prevent such issues.

The use of a declaration of trust centers around establishing a clear structure for managing and protecting assets. It allows trustees to act according to the terms agreed upon, benefitting the beneficiaries while adhering to legal obligations. When integrating the Nebraska Agreement and Declaration of Real Estate Business Trust - Massachusetts Nominee Realty Trust - Trustees to Act only as Directed by Beneficiaries, this document is vital for ensuring transparency and security.

A trust is a general framework for managing assets and benefits for beneficiaries, while a declaration of trust specifies how that trust is administered. The declaration outlines the roles of trustees and beneficiaries in detail. Within the context of the Nebraska Agreement and Declaration of Real Estate Business Trust - Massachusetts Nominee Realty Trust - Trustees to Act only as Directed by Beneficiaries, the declaration serves as the foundational document guiding operations.

One potential disadvantage of a nominee trust lies in its transparency, as it can expose the beneficiaries to more scrutiny due to public records. Additionally, nominees may not always shield assets from creditors effectively. It's vital to consider these disadvantages, especially when setting up your Nebraska Agreement and Declaration of Real Estate Business Trust - Massachusetts Nominee Realty Trust - Trustees to Act only as Directed by Beneficiaries.

A nominee trust primarily acts as a holding entity for property, with the beneficiaries retaining control. In contrast, a realty trust operates with specific directives for managing real estate and may include additional provisions. Understanding these distinctions is crucial when considering the Nebraska Agreement and Declaration of Real Estate Business Trust - Massachusetts Nominee Realty Trust - Trustees to Act only as Directed by Beneficiaries to ensure it meets your needs.

A declaration of trust in Massachusetts serves as a legal document outlining the terms and conditions under which the trust operates. It typically identifies the trustees and beneficiaries, defining their roles and responsibilities. Specifically, the Nebraska Agreement and Declaration of Real Estate Business Trust - Massachusetts Nominee Realty Trust - Trustees to Act only as Directed by Beneficiaries establishes clear guidelines for managing the trust's assets.

Trusted and secure by over 3 million people of the world’s leading companies

Nebraska Agreement and Declaration of Real Estate Business Trust - Massachusetts Nominee Realty Trust - Trustees to Act only as Directed by Beneficiaries