Nebraska Agreement with Sales Representative

State:
Multi-State
Control #:
US-0140BG
Format:
Word; 
Rich Text
Instant download

Description

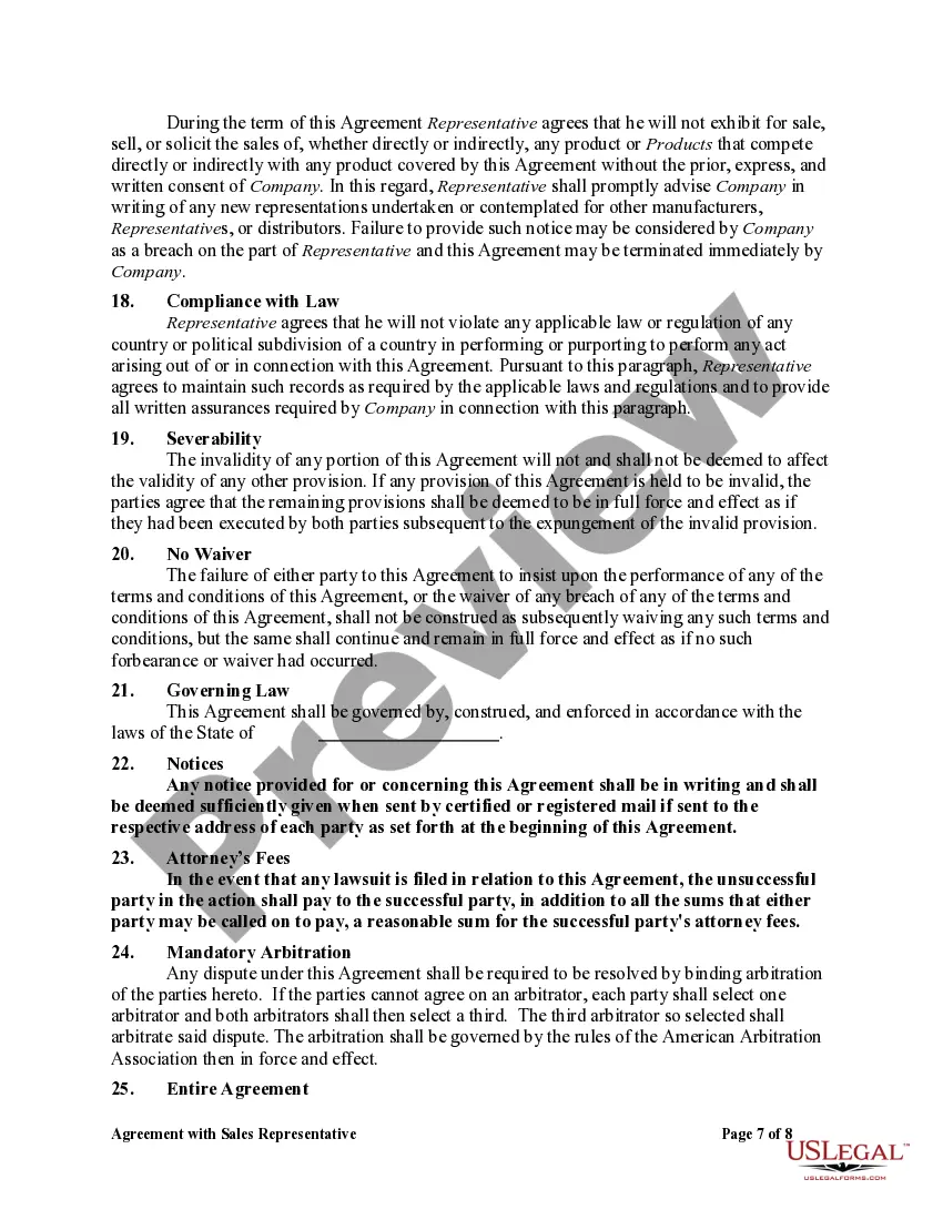
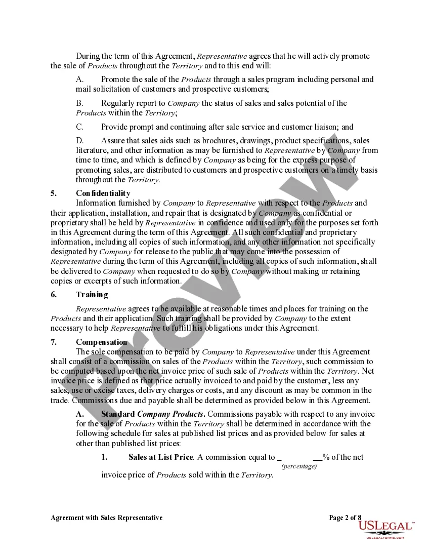
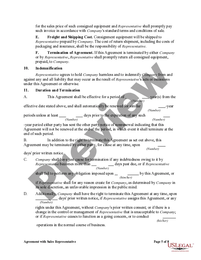
This agreement appoints a person as a sales representative for a company, and emphasizes that this is an “exclusive” appointment. The agreement limits the Representative’s duties to certain territories and products, and attaches a list of the particular products to be sold by the representative. The agreement provides both a definition of confidential information and a reminder of the representative’s duty not to disclose that information. The sole compensation to be paid by the company to the representative consists of a commission on sales of the products within the territory of the representative.
Free preview
  • Preview Agreement with Sales Representative
  • Preview Agreement with Sales Representative
  • Preview Agreement with Sales Representative
  • Preview Agreement with Sales Representative
  • Preview Agreement with Sales Representative
  • Preview Agreement with Sales Representative
  • Preview Agreement with Sales Representative
  • Preview Agreement with Sales Representative

How to fill out Agreement With Sales Representative?

Are you presently in a scenario where you frequently require documents for various business or personal reasons.

There is an assortment of official document templates accessible online, but finding trustworthy versions can be challenging.

US Legal Forms offers a vast collection of form templates, such as the Nebraska Agreement with Sales Representative, designed to comply with federal and state regulations.

Once you locate the suitable form, click Get now.

Select the payment plan that you prefer, fill in the required information to create your account, and complete your order using your PayPal or credit card.

  1. If you are already familiar with the US Legal Forms website and possess an account, simply sign in.
  2. Next, you can download the Nebraska Agreement with Sales Representative template.
  3. If you don’t have an account and wish to start using US Legal Forms, follow these steps.
  4. Identify the form you need and verify that it’s for your correct state/region.
  5. Use the Preview button to examine the template.
  6. Read the description to ensure that you have selected the right form.
  7. If the form does not meet your needs, utilize the Search field to find the form that fits you and your requirements.

Form popularity

FAQ

A sales representative agreement is similar to a sales rep agreement but often encompasses broader terms such as territory, exclusivity, and compensation. This document serves as a foundation for your business relationship with the sales rep, detailing important aspects like goals and expectations. For individuals in Nebraska, using a Nebraska Agreement with Sales Representative ensures compliance with state laws while establishing a clear framework for collaboration.

A sales rep agreement is a formal document that establishes the relationship between a company and a sales representative. This agreement typically covers responsibilities, commission rates, and termination conditions. When creating a Nebraska Agreement with Sales Representative, including these elements provides clarity and helps foster a successful partnership.

Many states, including Nebraska, have specific requirements for commission agreements to protect both sales representatives and employers. These agreements can prevent disputes over payment terms and commission structures. As you explore the Nebraska Agreement with Sales Representative, ensure that you are aware of any state-specific regulations that apply to your situation.

A commission contract for a sales representative outlines the terms under which a sales rep earns commissions on sales they facilitate. This contract typically details commission rates, payment schedules, and performance metrics. For those considering a Nebraska Agreement with Sales Representative, it is essential to clearly define these aspects to avoid future misunderstandings.

If you choose not to notarize a document, it remains valid as long as all parties involved agree to its terms. However, without notarization, it may be harder to prove the authenticity of signatures if disputes arise regarding the Nebraska Agreement with Sales Representative. To avoid complications, maintaining clear, transparent communication and keeping good records is recommended.

A sales agreement is valid when it includes certain key elements: an offer, acceptance, consideration, and the intent to create a legal relationship. In the context of a Nebraska Agreement with Sales Representative, clarity and mutual consent are crucial. Make sure that all terms are explicitly defined, and both parties agree to adhere to them.

Yes, a contract can still be legal and enforceable even if it is not notarized. What matters most is that both parties willingly agree to the terms outlined in the Nebraska Agreement with Sales Representative. To ensure clarity and prevent legal disputes, clearly outline all expectations and responsibilities within the contract.

No, a sales agreement generally does not require notarization in Nebraska for it to be valid. While notarization is not a strict requirement, it can help in enforcing the Nebraska Agreement with Sales Representative in case of a dispute. It's often advisable to create a clear and thoroughly documented agreement to avoid misunderstandings down the line.

In Nebraska, a sales agreement does not necessarily need to be notarized to be enforceable. However, notarization can provide an additional layer of legal protection for both parties involved. If you are concerned about the authenticity of a Nebraska Agreement with Sales Representative, consider utilizing a notary to confirm the identities of those signing the document.

Regulation 1 007 in Nebraska provides guidelines for the taxation of services. It outlines which services are subject to sales tax and clarifies exemptions. For companies operating under a Nebraska Agreement with Sales Representative, familiarizing themselves with Reg 1 007 is essential to remain compliant and take advantage of any relevant exemptions.

Trusted and secure by over 3 million people of the world’s leading companies

Nebraska Agreement with Sales Representative