North Carolina Release by Employee of Claims against Employer related to Terminated Employment Including the Release of Employee Benefit and Pension Plans and Funds

State:
Multi-State
Control #:
US-00552BG
Format:
Word; 
Rich Text
Instant download

Description

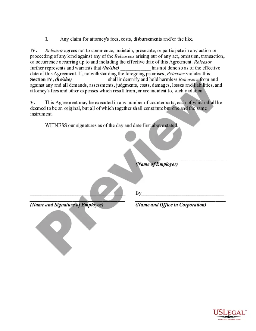
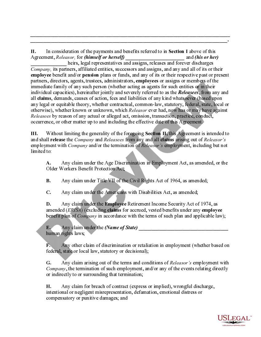
In this form, as a result of a lump sum settlement, a former employee is releasing a former employer from any and all claims for breach of contract or wrongful termination as well as any claim under the Employee Retirement Income Security Act of 1974, as amended (ERISA);
any claim under the Age Discrimination in Employment Act, as amended, or the Older Workers Benefit Protection Act; any claim under Title VII of the Civil Rights Act of 1964, as amended;
any claim under the Americans with Disabilities Act, as amended; and any other claim of discrimination or retaliation in employment (whether based on federal, state or local law, statutory or decisional);


This form is a generic example that may be referred to when preparing such a form for your particular state. It is for illustrative purposes only. Local laws should be consulted to determine any specific requirements for such a form in a particular jurisdiction.


Free preview
  • Preview Release by Employee of Claims against Employer related to Terminated Employment Including the Release of Employee Benefit and Pension Plans and Funds
  • Preview Release by Employee of Claims against Employer related to Terminated Employment Including the Release of Employee Benefit and Pension Plans and Funds
  • Preview Release by Employee of Claims against Employer related to Terminated Employment Including the Release of Employee Benefit and Pension Plans and Funds
  • Preview Release by Employee of Claims against Employer related to Terminated Employment Including the Release of Employee Benefit and Pension Plans and Funds

How to fill out Release By Employee Of Claims Against Employer Related To Terminated Employment Including The Release Of Employee Benefit And Pension Plans And Funds?

Are you currently in a position where you require documentation for both business or personal needs nearly every day.

There are numerous authentic document templates accessible online, but finding forms you can rely on can be challenging.

US Legal Forms offers a wide array of form templates, such as the North Carolina Release by Employee of Claims against Employer related to Terminated Employment Including the Release of Employee Benefit and Pension Plans and Funds, designed to comply with state and federal regulations.

Access all the document templates you have purchased in the My documents section. You can obtain an additional copy of the North Carolina Release by Employee of Claims against Employer related to Terminated Employment Including the Release of Employee Benefit and Pension Plans and Funds at any time, if required. Just go through the necessary form to download or print the document template.

Utilize US Legal Forms, one of the largest collections of legitimate forms, to save time and prevent mistakes. The service offers professionally crafted legal document templates that you can use for various purposes. Create your account on US Legal Forms and start simplifying your life.

  1. If you are already familiar with the US Legal Forms website and have an account, simply Log In.
  2. Then, you can download the North Carolina Release by Employee of Claims against Employer related to Terminated Employment Including the Release of Employee Benefit and Pension Plans and Funds template.
  3. If you do not have an account and wish to start using US Legal Forms, follow these steps.
  4. Locate the form you need and ensure it is for the correct city/region.
  5. Utilize the Review button to evaluate the form.
  6. Examine the details to ensure you have selected the accurate form.
  7. If the form is not what you are looking for, use the Research field to find the form that meets your needs and requirements.
  8. Once you find the suitable form, click Get now.
  9. Choose the pricing plan you want, complete the necessary information to create your account, and pay for your order using your PayPal or credit card.
  10. Select a convenient document format and download your copy.

Form popularity

FAQ

A release of claims is a legal contract where one party relinquishes the right to take legal action against another party for specific issues. In employment contexts, it often protects employers from lawsuits for matters like wrongful termination or discrimination. Including a North Carolina Release by Employee of Claims against Employer related to Terminated Employment Including the Release of Employee Benefit and Pension Plans and Funds ensures that employees and employers understand and agree on the implications of this release.

A release of liability for an employee is an agreement in which the employee waives their right to hold the employer responsible for certain actions or events that may cause harm or loss. This document is essential during termination or when significant changes to employment terms occur. Understanding a North Carolina Release by Employee of Claims against Employer related to Terminated Employment Including the Release of Employee Benefit and Pension Plans and Funds can help both parties navigate these agreements effectively.

An employer's release of claims to an employee typically involves the employer waiving their right to seek certain claims against the employee. This can include waiving rights to pursue financial retribution for losses caused by the employee's actions. It's critical for both parties to consider a North Carolina Release by Employee of Claims against Employer related to Terminated Employment Including the Release of Employee Benefit and Pension Plans and Funds to ensure legal clarity.

An employer release of claims against an employee is a legal document that protects the employer from legal action by the employee for claims arising during their employment. It is less common than employee releases but can be useful in specific situations, such as when an employer suspects misconduct. Having a comprehensive North Carolina Release by Employee of Claims against Employer related to Terminated Employment Including the Release of Employee Benefit and Pension Plans and Funds helps ensure that all legal concerns are addressed.

North Carolina law does not mandate a termination letter, but it is a best practice for employers to provide one to clarify the reasons for termination. A clear termination letter can avert misunderstandings and litigation. For a smoother process, utilizing resources like US Legal Forms can guide you in creating a North Carolina Release by Employee of Claims against Employer related to Terminated Employment Including the Release of Employee Benefit and Pension Plans and Funds.

An example of a release of claims is when an employee agrees not to sue their employer in exchange for a severance package. This agreement may include waiving rights to claim unpaid wages or benefits. It's essential to understand that a North Carolina Release by Employee of Claims against Employer related to Terminated Employment Including the Release of Employee Benefit and Pension Plans and Funds should be well-drafted to protect both parties from future disputes.

An employer release form is a legal document that an employee signs to relinquish their right to pursue legal action against an employer for claims related to their employment. This form typically addresses issues like wrongful termination and discrimination. In the context of a North Carolina Release by Employee of Claims against Employer related to Terminated Employment Including the Release of Employee Benefit and Pension Plans and Funds, it ensures that both parties are clear on their obligations and rights post-termination.

An employee termination and release agreement is a legal document that outlines the terms under which an employee separates from their employer. It typically includes a North Carolina Release by Employee of Claims against Employer related to Terminated Employment Including the Release of Employee Benefit and Pension Plans and Funds. This agreement serves to protect both the employee and the employer by clarifying the rights, responsibilities, and any benefits related to the termination. Utilizing platforms like US Legal Forms can help you easily create this agreement according to North Carolina regulations, ensuring compliance and peace of mind.

Trusted and secure by over 3 million people of the world’s leading companies

North Carolina Release by Employee of Claims against Employer related to Terminated Employment Including the Release of Employee Benefit and Pension Plans and Funds