Montana Agreement for Purchase and Sale of Rights to Cooperative Apartment

State:
Multi-State
Control #:
US-03488BG
Format:
Word; 
Rich Text
Instant download

Description

An apartment cooperative will typically involved a corporation renting apartments to people who are also owners of stock in the corporation. The apartment complex is owned by the corporation.


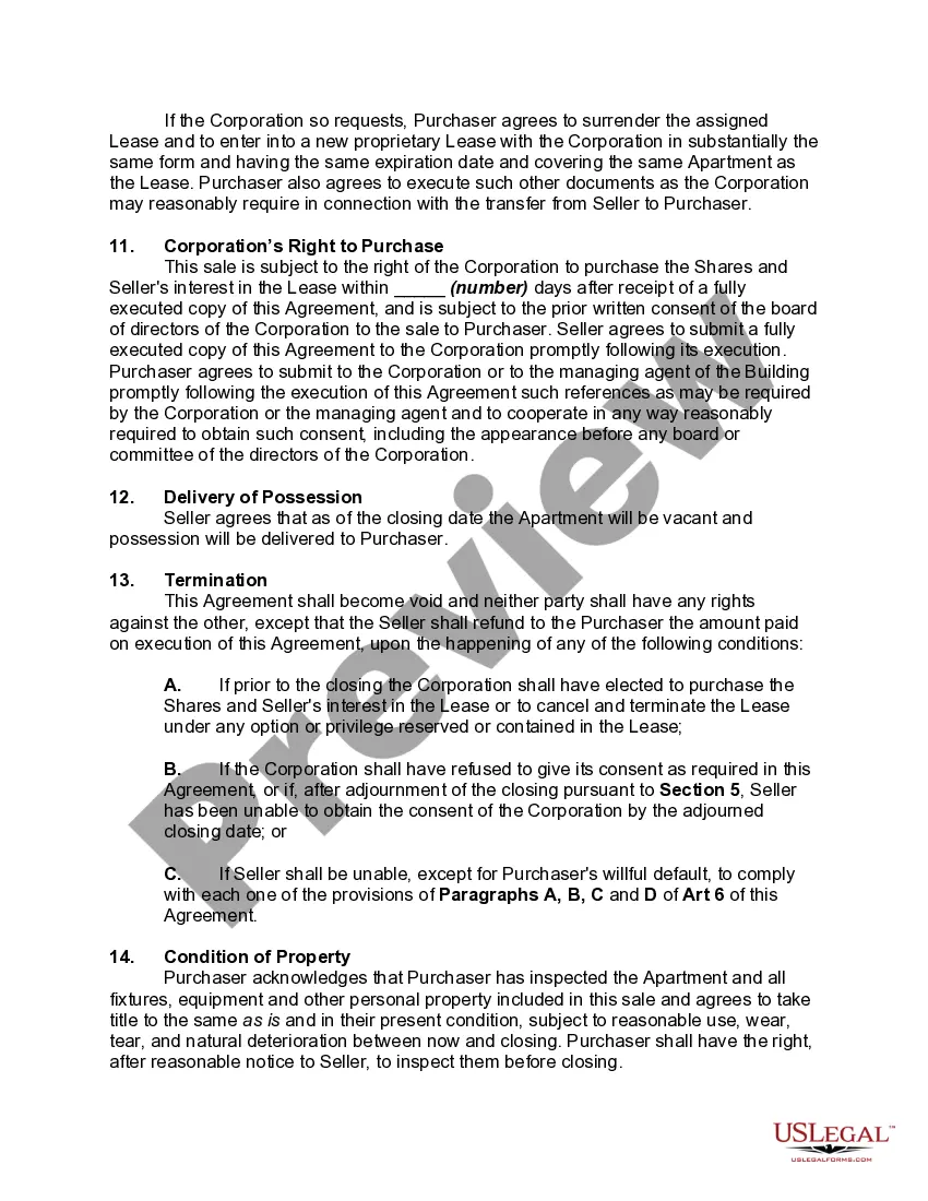
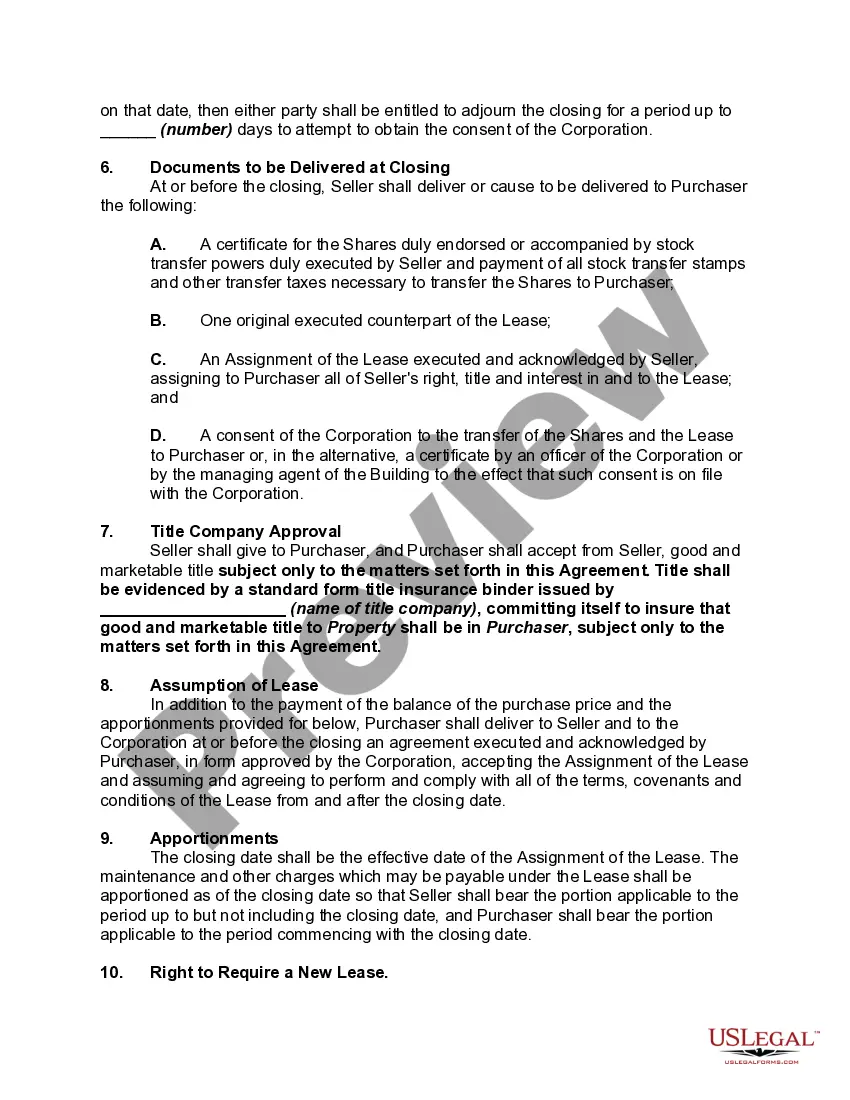
Two basic documents are ordinarily involved in the transfer of a member's or stockholder's interest in a cooperative apartment corporation: (1) an agreement for the purchase and sale of the proprietary lease and the appurtenant membership or stock; and (2) the instrument of assignment.


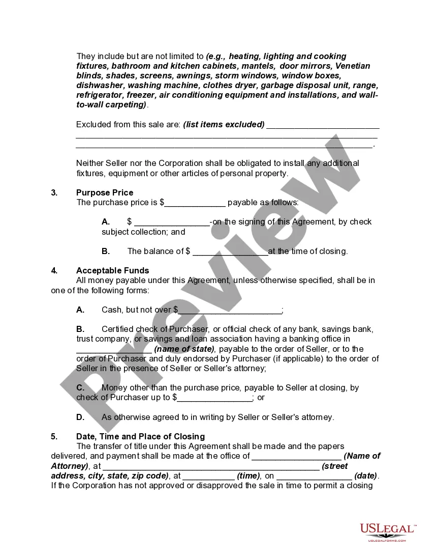
The agreement of purchase and sale is similar in format to an agreement for the sale of real property. The seller agrees to assign all rights under the proprietary lease covering the unit, and to sell the membership or stock in the corporation. The seller also agrees to procure the consent of the corporation to the transfer if this is required in the proprietary lease. The purchaser agrees to pay the purchase price and to submit references to the corporation and otherwise cooperate in procuring its consent to the transfer, and also promises to execute an agreement in a form approved by the corporation by which the purchaser assumes and agrees to be bound by all covenants and conditions of the proprietary lease.


The instrument of assignment does not differ materially from an ordinary assignment of a lease of real property, except that the assignor's interest in the membership or stock in the corporation is assigned together with interests under the proprietary lease. Ordinarily, the assignor declares that there are no liens or other claims outstanding against the lease or the shares to be assigned, that there are no undischarged bankruptcy proceedings or unsatisfied judgments or tax liens outstanding against the assignor, and that the assignor has full right and authority to assign the lease and shares.

Free preview
  • Preview Agreement for Purchase and Sale of Rights to Cooperative Apartment
  • Preview Agreement for Purchase and Sale of Rights to Cooperative Apartment
  • Preview Agreement for Purchase and Sale of Rights to Cooperative Apartment
  • Preview Agreement for Purchase and Sale of Rights to Cooperative Apartment
  • Preview Agreement for Purchase and Sale of Rights to Cooperative Apartment
  • Preview Agreement for Purchase and Sale of Rights to Cooperative Apartment
  • Preview Agreement for Purchase and Sale of Rights to Cooperative Apartment
  • Preview Agreement for Purchase and Sale of Rights to Cooperative Apartment

How to fill out Agreement For Purchase And Sale Of Rights To Cooperative Apartment?

Finding the appropriate legal document template can be challenging.

Of course, there are numerous templates available online, but how can you find the legal form you require.

Utilize the US Legal Forms website.

If you are a new user of US Legal Forms, here are simple steps to follow: First, ensure you have selected the correct form for your state/region. You can review the form using the Review button and examine the form description to confirm it suits your needs. If the form does not meet your requirements, use the Search field to find the right form. Once you are certain that the form is correct, click the Acquire now button to obtain the form. Choose the pricing plan you prefer and input the necessary information. Create your account and pay for the order using your PayPal account or credit card. Select the file format and download the legal document template to your device. Complete, modify, and print as well as sign the obtained Montana Agreement for Purchase and Sale of Rights to Cooperative Apartment. US Legal Forms is the largest repository of legal forms where you can access numerous document templates. Utilize the service to download professionally crafted documents that comply with state regulations.

  1. The service offers a vast array of templates, including the Montana Agreement for Purchase and Sale of Rights to Cooperative Apartment, suitable for both business and personal needs.
  2. All templates are reviewed by professionals and comply with federal and state regulations.
  3. If you are already a registered user, Log In to your account and click on the Download button to access the Montana Agreement for Purchase and Sale of Rights to Cooperative Apartment.
  4. Use your account to browse the legal templates you have previously purchased.
  5. Visit the My documents tab of your account to get an additional copy of the document you require.

Form popularity

FAQ

Some of the common triggers include death, disability, retirement or other termination of employment, the desire to sell an interest to a non-owner, dissolution of marriage or domestic partnership, bankruptcy or insolvency, disputes among owners, and the decision by some owners to expel another owner.

But, there are 12 states that are still considered non-disclosure: Alaska, Idaho, Kansas, Louisiana, Mississippi, Missouri (some counties), Montana, New Mexico, North Dakota, Texas, Utah and Wyoming. In a non-disclosure state, transaction sale prices are not available to the public.

A buy and sell agreement is a legally binding contract that stipulates how a partner's share of a business may be reassigned if that partner dies or otherwise leaves the business. Most often, the buy and sell agreement stipulates that the available share be sold to the remaining partners or to the partnership.

(Rupees ), will be received by the FIRST PARTY from the SECOND PARTY, at the time of registration of the Sale Deed, the FIRST PARTY doth hereby agree to grant, convey, sell, transfer and assign all his rights, titles and interests in the said portion of the said property, fully

When does a business need a buy-sell agreement? Every co-owned business needs a buy-sell, or buyout agreement the moment the business is formed or as soon after that as possible. A buy-sell, or buyout agreement, protects business owners when a co-owner wants to leave the company (and protects the owner who's leaving).

It establishes procedures for the sale and purchase of shares, minimising possibilities of unhappiness and eventual litigation in future. For example, in the absence of a buy-sell agreement, a spouse of an outgoing owner who was never involved in the business may inherit the shares.

1 is the bonafide allottee/owner in possession of property bearing numberout of his bonafide needs and requirements, has agreed to sell the aforesaid flat for a sum of Rs. and Party No. 2 has agreed to purchase the said flat from Party No. 1.

Hi, There is no minimum amount it must be paid as an advance to the Seller. 2. It is all about purchaser and seller agreed to each other. 1) you can make payment of 10%of sale consideration as advance .

Unregistered Sale Agreement is enforceable in Law, and any shortage of stamp charges can be paid through the Court's order. Such an agreement will be valid for three years from the execution date.

A Montana residential real estate purchase and sale agreement is a document used to present an offer for a piece of real estate and is executed by two (2) parties: a buyer and a seller.

Trusted and secure by over 3 million people of the world’s leading companies

Montana Agreement for Purchase and Sale of Rights to Cooperative Apartment