You might spend hours online searching for the valid document template that complies with the national and local requirements you need.
US Legal Forms offers thousands of valid documents that are reviewed by experts.
You can easily download or print the Mississippi Agreement to Advertise on Different Platforms and by Various Methods from the platform.
If available, use the Preview button to browse the document template as well.
Advertising MethodsPrint Advertising.Billboards and Public Transit Ads.TV Commercials.Radio.Event Advertising.Direct Mail.Digital Advertising.
Types of advertisingNewspaper. Newspaper advertising can promote your business to a wide range of customers.Magazine. Advertising in a specialist magazine can reach your target market quickly and easily.Radio.Television.Directories.Outdoor and transit.Direct mail, catalogues and leaflets.Online.More items...?
11 Items to include in your contract agreementNames and addresses of the agency and client.Outline the contract's duration.Make your scope of work bulletproof.Set a clear payment schedule.Don't be a pushover with late payments.If a client wants to add on work, write down your conditions.More items...?
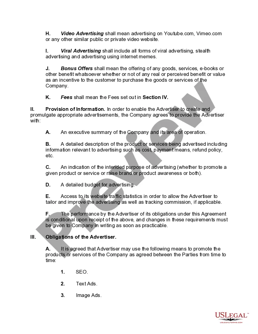
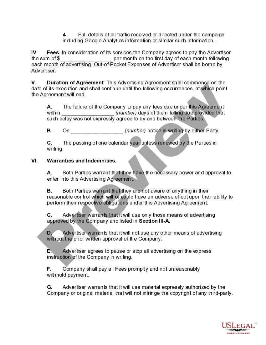
A basic advertising contract should include the following: name of publication, station, website or advertising vehicle; your business name; price for the ad or ad schedule; date, issues or shows in which the ad is to run; placement in a print publication or time the ad is to run; payment due date; number of insertions
Basic techniques used in propaganda transfer successfully to advertising and remain the most frequently employed.The Use of Repetition.Claims Relating to a Product.Association and Connection with the Customer.Convincing Customers to Join the Bandwagon.Promotions and Rewards.
Advertising can be broadly broken down into four major components:Strategy. Focuses on the message, customer segment to be targeted, integrated marketing communication (IMC) channels and the budget which is core of the advertising campaign.Media.Creative idea.Creative execution.9 Sept 2021
What are the 4 types of AdvertisingDisplay Advertising.Video Advertising.Mobile Advertising.Native Advertising.
Social media advertising If you search for what are the 4 types of advertising, you will find social media to be popularly used. It is because it can be used for your targeted audience and also is cost-effective. You can narrow down your audience within a specific area.
Here are some of the best types of advertising used by small businesses to promote a product, service or content:Social Media Advertising.Pay-Per-Click Advertising.Mobile Advertising.Print Advertising.Broadcast Advertising.Out-of-Home Advertising.Direct Mail Advertising.






