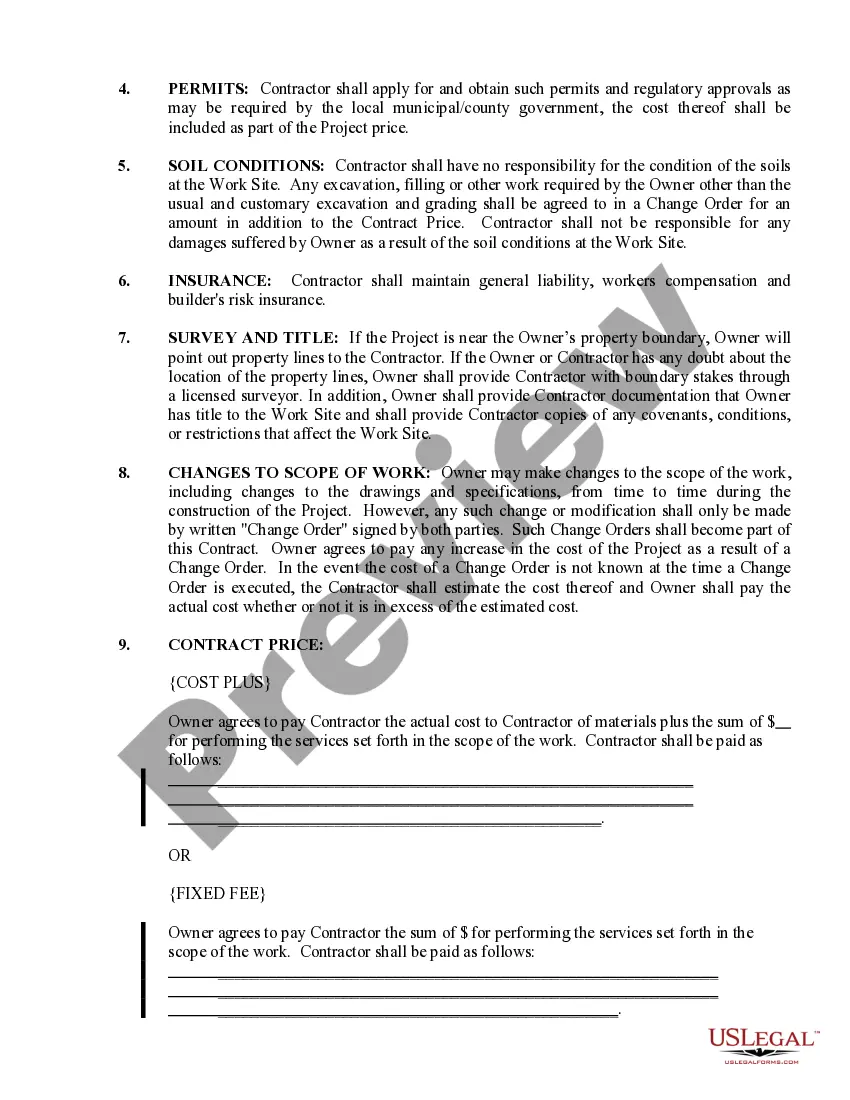
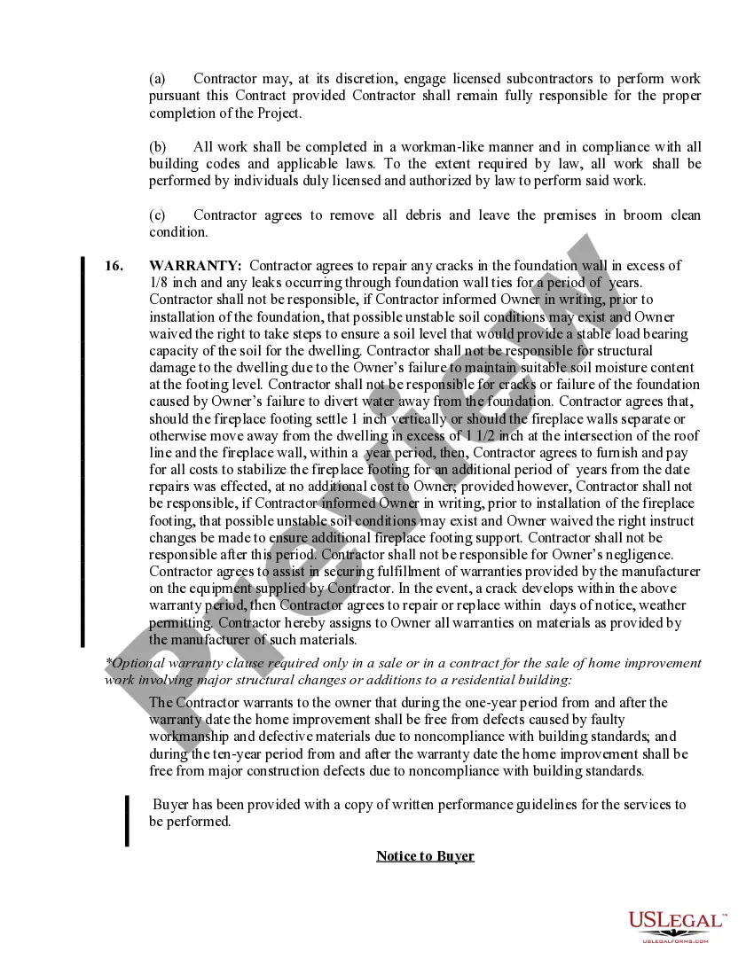
The Foundation Contract for Contractor is a legal agreement specifically designed for use between foundation contractors and property owners. It establishes clear terms regarding payment arrangementsâeither cost plus or fixed feeâand outlines essential topics such as change orders, work site information, warranties, and insurance. This contract is tailored to ensure compliance with Minnesota's legal requirements, providing a solid foundation for both parties' expectations and responsibilities throughout the project.
This form should be used when a property owner engages a foundation contractor for construction or renovation projects. It is essential when establishing the terms of the project to ensure clarity on responsibilities, payment, and other important legal matters. Utilize this contract in situations involving new foundation work, major renovations requiring foundation alterations, or projects where clear change order processes are needed.
This form does not typically require notarization unless specified by local law. Ensure to review any specific stipulations related to notarization in Minnesota or any other relevant jurisdiction.
Our built-in tools help you complete, sign, share, and store your documents in one place.
Make edits, fill in missing information, and update formatting in US Legal Forms—just like you would in MS Word.
Download a copy, print it, send it by email, or mail it via USPS—whatever works best for your next step.
Sign and collect signatures with our SignNow integration. Send to multiple recipients, set reminders, and more. Go Premium to unlock E-Sign.
If this form requires notarization, complete it online through a secure video call—no need to meet a notary in person or wait for an appointment.
We protect your documents and personal data by following strict security and privacy standards.

Make edits, fill in missing information, and update formatting in US Legal Forms—just like you would in MS Word.

Download a copy, print it, send it by email, or mail it via USPS—whatever works best for your next step.

Sign and collect signatures with our SignNow integration. Send to multiple recipients, set reminders, and more. Go Premium to unlock E-Sign.

If this form requires notarization, complete it online through a secure video call—no need to meet a notary in person or wait for an appointment.

We protect your documents and personal data by following strict security and privacy standards.
In Minnesota, while an operating agreement is not legally required for all business types, it is highly recommended, especially for limited liability companies (LLCs). An operating agreement outlines the management structure and operational guidelines of the business. By incorporating a Minnesota Foundation Contract for Contractor, you can further define the roles and responsibilities within your organization, enhancing clarity and preventing misunderstandings.
Drafting a contractor contract involves several key steps. First, clearly outline the scope of work, payment terms, and timelines. It is essential to include clauses that address potential issues or disputes. Utilizing a Minnesota Foundation Contract for Contractor can provide a solid framework for your agreement, making the drafting process easier and more comprehensive.
The new law for unlicensed contractors in Minnesota establishes stricter regulations to protect consumers. Under this law, contractors must meet specific criteria to legally operate, ensuring they possess the necessary skills and knowledge. This change emphasizes the importance of using a Minnesota Foundation Contract for Contractor, as it can help ensure compliance and safeguard both parties in a project.
A contractor contract should include the names and addresses of both parties, a detailed description of the work, payment terms, and timelines. It is also essential to outline dispute resolution methods and any warranties or guarantees. By ensuring these elements are present in your Minnesota Foundation Contract for Contractor, you promote clarity and protect the interests of all involved. Resources from uslegalforms can assist in drafting comprehensive contracts.
Filling out a contractor agreement involves entering the relevant details such as the names of the parties, the scope of work, and payment terms. Be thorough when detailing the responsibilities and deadlines to avoid misunderstandings. When drafting your Minnesota Foundation Contract for Contractor, consider using a template to ensure you don’t miss essential components. Platforms like uslegalforms provide helpful resources for this purpose.
For a contract to be legally binding in Minnesota, it must contain an offer, acceptance, and consideration. Additionally, both parties must have the capacity to contract, meaning they are of legal age and sound mind. Your Minnesota Foundation Contract for Contractor should also comply with state laws and not involve illegal terms. Ensuring these elements are present will help reinforce the contract's validity.
A contractor typically needs to complete various forms, including a contractor agreement, tax forms, and any necessary licensing documents. For a Minnesota Foundation Contract for Contractor, ensure you have the correct local permits and insurance documentation. Gathering all required paperwork upfront can save time and prevent complications later. Utilizing platforms like uslegalforms can help you identify and complete necessary forms efficiently.
Writing a simple contract agreement involves clearly defining the parties involved, the work to be completed, and payment arrangements. Focus on using straightforward language to avoid confusion, especially in your Minnesota Foundation Contract for Contractor. Make sure to include start and end dates and any special conditions. A simple, well-structured contract helps promote transparency and trust.
To write a contractor agreement, start by outlining the scope of work, payment terms, and timelines. Include any necessary legal requirements specific to Minnesota, ensuring your Minnesota Foundation Contract for Contractor is compliant with state laws. Using a template can streamline this process and ensure all essential components are included. Consider platforms like uslegalforms for reliable templates and resources.
Minnesota has recently updated contractor laws to enhance protections for both contractors and clients. These changes focus on ensuring transparency, requiring written agreements, and improving dispute resolution processes. Understanding the implications of these laws is essential when drafting a Minnesota Foundation Contract for Contractor. Staying informed can prevent legal issues and promote fair business practices.