• US Legal Forms

Maine Certificate Authorizing Release of Benefit Information

State:
Maine
Control #:
ME-SKU-0765
Format:
PDF
Instant download
This website is not affiliated with any governmental entity
Public form
Sorry, the form is currently unavailable.Try our extended search for alternatives that meet your needs.

Description

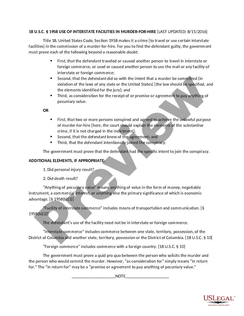
Certificate Authorizing Release of Benefit Information

Maine Certificate Authorizing Release of Benefit Information is a document that is issued by the Maine Department of Health and Human Services (HHS) to authorize the release of confidential information regarding benefits received by an individual. The certificate is used to allow the release of information to other entities, such as creditors or employers, for the purpose of verifying benefits or establishing eligibility. There are two types of Maine Certificate Authorizing Release of Benefit Information: the Authorization for Release of Information (APRI) and the Authorization for Release of Benefit Verification (ABV). The APRI allows the release of information regarding an individual's eligibility for benefits, such as Social Security, Medicare, or unemployment benefits, while the ABV allows the release of information regarding the amount of benefits received. Both types of certificates must be signed by the individual and provided to HHS.

How to fill out Maine Certificate Authorizing Release Of Benefit Information?

Preparing legal paperwork can be a real burden unless you have ready-to-use fillable templates. With the US Legal Forms online library of formal documentation, you can be certain in the blanks you find, as all of them correspond with federal and state regulations and are checked by our specialists. So if you need to prepare Maine Certificate Authorizing Release of Benefit Information, our service is the perfect place to download it.

Getting your Maine Certificate Authorizing Release of Benefit Information from our library is as simple as ABC. Previously authorized users with a valid subscription need only sign in and click the Download button after they locate the correct template. Later, if they need to, users can use the same blank from the My Forms tab of their profile. However, even if you are new to our service, registering with a valid subscription will take only a few moments. Here’s a brief guideline for you:

  1. Document compliance check. You should carefully review the content of the form you want and check whether it satisfies your needs and fulfills your state law requirements. Previewing your document and looking through its general description will help you do just that.
  2. Alternative search (optional). If there are any inconsistencies, browse the library using the Search tab above until you find a suitable template, and click Buy Now when you see the one you want.
  3. Account creation and form purchase. Register for an account with US Legal Forms. After account verification, log in and choose your preferred subscription plan. Make a payment to proceed (PayPal and credit card options are available).
  4. Template download and further usage. Select the file format for your Maine Certificate Authorizing Release of Benefit Information and click Download to save it on your device. Print it to complete your papers manually, or use a multi-featured online editor to prepare an electronic copy faster and more effectively.

Haven’t you tried US Legal Forms yet? Subscribe to our service now to obtain any formal document quickly and easily every time you need to, and keep your paperwork in order!

Form popularity

Trusted and secure by over 3 million people of the world’s leading companies

Maine Certificate Authorizing Release of Benefit Information