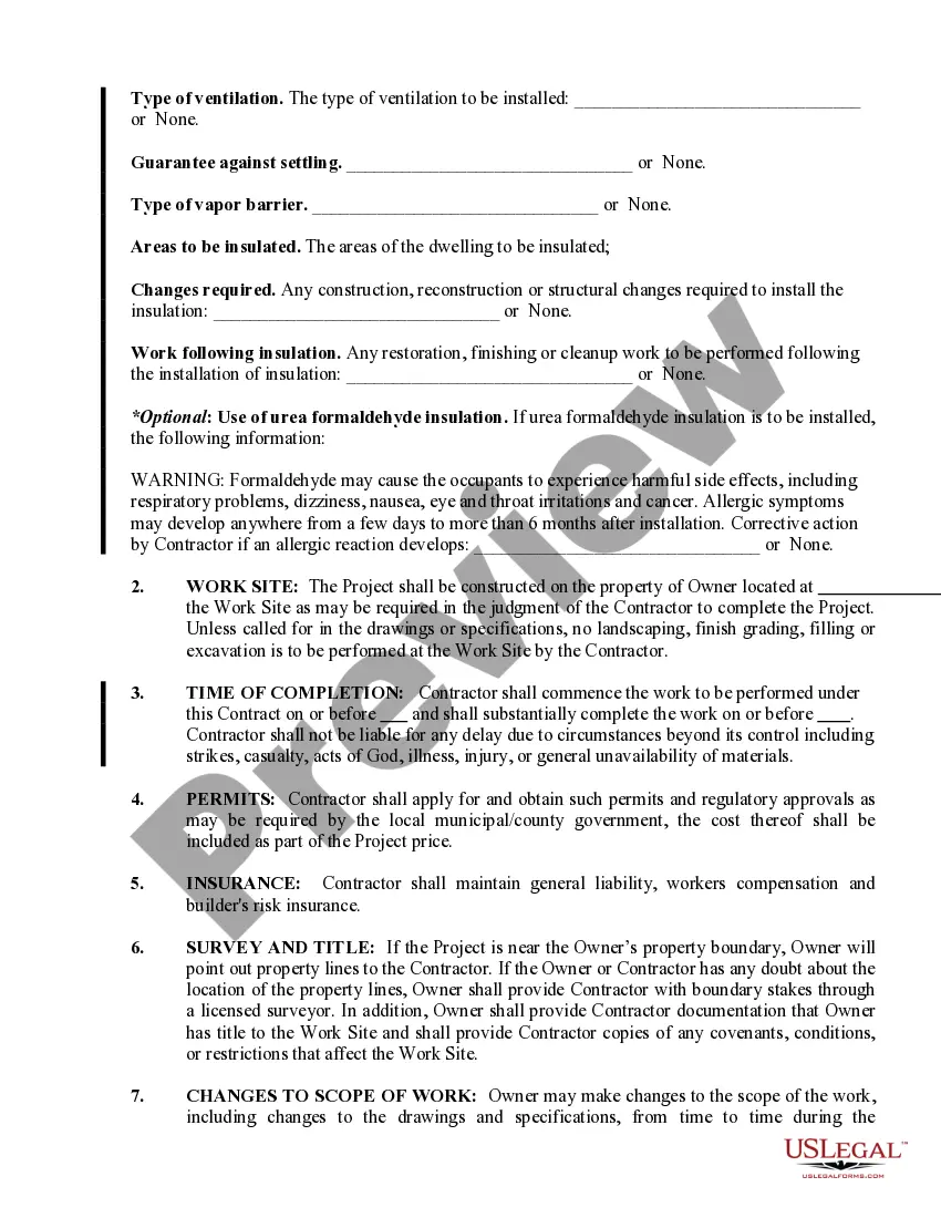
The Insulation Contract for Contractor is a legal document designed to establish a clear agreement between insulation contractors and property owners. This contract outlines the terms for the installation of insulation, including payment arrangements, warranty details, and insurance obligations. Unlike generic contracts, this form is specifically tailored to comply with the laws of the State of Maine, ensuring it meets local regulations and protects the rights of both parties involved.
This insulation contract should be used when a property owner hires an insulation contractor for installation projects. It is ideal for both new constructions and renovation projects where insulation is needed. Use this form to protect both parties by clearly defining work scope, payment details, and legal obligations.
This form does not typically require notarization unless specified by local law. However, it is recommended that both parties keep copies for their records after signing to ensure clear communication moving forward.
Our built-in tools help you complete, sign, share, and store your documents in one place.
Make edits, fill in missing information, and update formatting in US Legal Forms—just like you would in MS Word.
Download a copy, print it, send it by email, or mail it via USPS—whatever works best for your next step.
Sign and collect signatures with our SignNow integration. Send to multiple recipients, set reminders, and more. Go Premium to unlock E-Sign.
If this form requires notarization, complete it online through a secure video call—no need to meet a notary in person or wait for an appointment.
We protect your documents and personal data by following strict security and privacy standards.

Make edits, fill in missing information, and update formatting in US Legal Forms—just like you would in MS Word.

Download a copy, print it, send it by email, or mail it via USPS—whatever works best for your next step.

Sign and collect signatures with our SignNow integration. Send to multiple recipients, set reminders, and more. Go Premium to unlock E-Sign.

If this form requires notarization, complete it online through a secure video call—no need to meet a notary in person or wait for an appointment.

We protect your documents and personal data by following strict security and privacy standards.
The Insulation Contract for Contractor is designed to be a legally binding document that protects the interests of both the property owner and the contractor. It serves as a clear point of reference in case of disputes or legal issues arising from the insulation work.
Are you a licensed installer? Can I speak with your references? What warranty or guarantee do you provide for your insulation? What personal protective equipment do you require for your workers? Do you carry liability insurance and workers comp insurance? What type of insulation products do you offer?
For existing walls, the most common types of insulation are loose-fill or blow-in insulation and spray foam insulation. The installation process is similar for both types. The insulation is inserted into your home's existing external walls from the inside via small holes, which are later patched.
The average can range between $4500-$5000 for spray foam insulation see the example below. In average terms, the spray foam insulation cost for a whole home can vary between $0.44 to $0.65 per board foot for open cell spray foam insulation, and between $1.00 to $1.50 per board foot for closed cell foam.
Spray foam insulation is typically two to three times more expensive than cellulose or fiberglass insulation.Spray foam insulation does cost more than traditional options, but over time it pays you back in energy savings, and you can't really put a price on the comfort of your family.
Generally, insulators charge about $50 to $80 per hour. To help you calculate the cost of insulation, consider the size of the installation, the shape of the ceiling and additional services incurred. For accurate pricing, have a professional insulation installer take measurements and provide cost estimates.
Cost Polyicynene and polyurethane are about $1.50 per square foot, including labor, if the wall is open, and $2.25 per square foot for existing walls. Cementitious foam costs about $1.40 to $2 per square foot. Installers can also spray a thin layer of foam to seal leaks, then fill in with less expensive insulation.
A rough estimate for hiring someone to blow insulation into a flat roof, cathedral ceiling or wall cavities is $2-$3.50 a square foot, or $1,000-$3,500 for filling 1,000 square feet of empty wall or roof space.
There is little learning curve involved with the application, and a DIY job will cost you about $500. Calling in the pros, on the other hand, will run you about $1,500 to $2,000 for an average 1500 square foot home.
A closed-cell insulation product can cost roughly $1.00 to $1.50 per board foot. These costs should be regarded as a guide only. As with most building products, the cost of spray foam insulation will be influenced by different factors, such as: quantity.