Maryland Split-Dollar Agreement - Non-Equity Collateral Assignment Arrangement - Economic Benefit Approach-Minority Owner orSplit-Dollar Agreement -- Non-Equity Collateral Assignment Arrangement - Economic Benefit Approach - Minority Owner or Key Executive Owned

State:
Multi-State
Control #:
US-0900BG
Format:
Word; 
Rich Text
Instant download

Description

A split-dollar arrangement is a strategy in which a life insurance policy's premium, cash
values, and/or death benefits are split between two parties (owner and non-owner). It
is not a type of life insurance or a reason for buying life insurance; rather, it is a method
of financing the purchase of life insurance. Split-dollar is generally most appropriate
when one party (the company) has the cash to pay the premiums for life insurance
and the other party (the employee) has the need for life insurance. Depending upon
the method of split dollar used, the policy owner may be the employer, the insured/
employee, and the insured's trust or a third party.

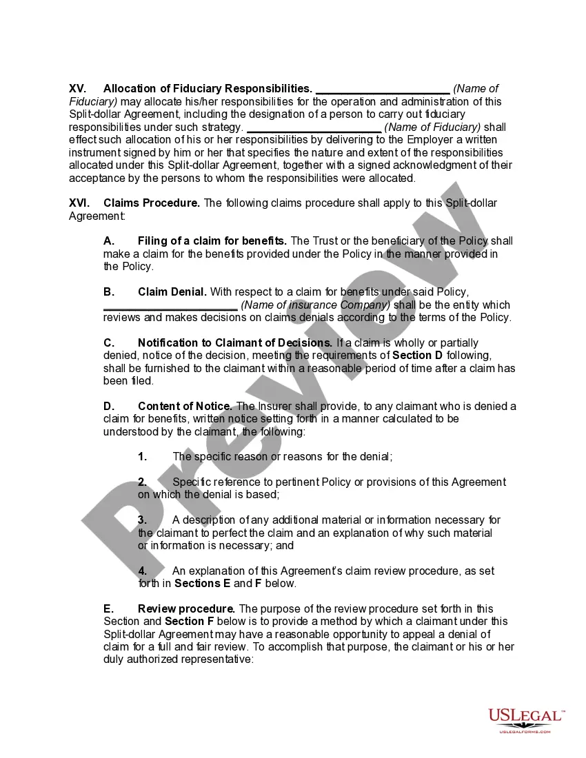
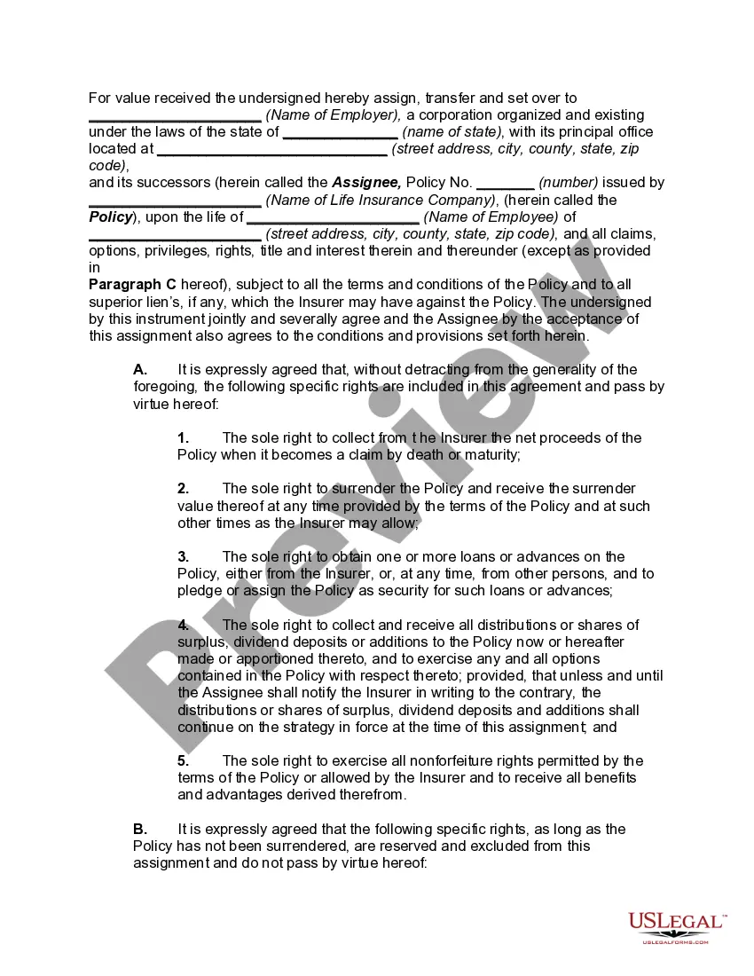
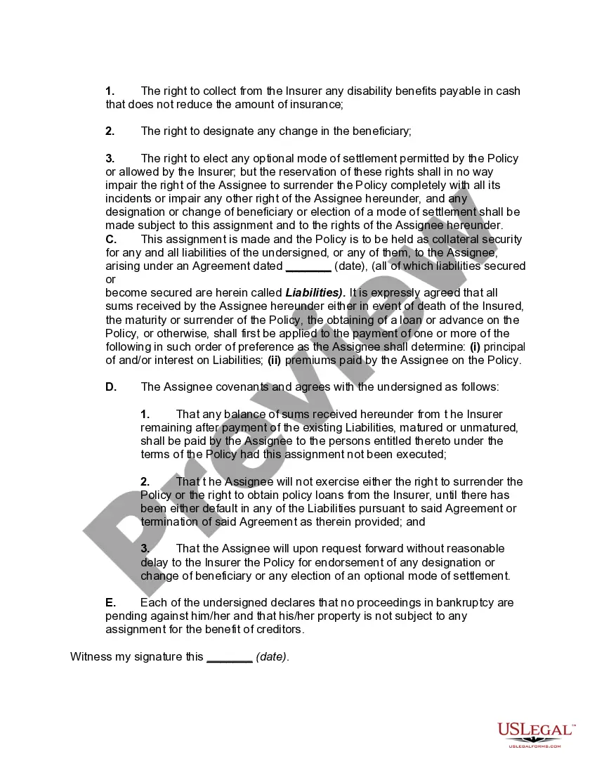
With the collateral assignment split-dollar arrangement, the employee or the
employee's trust is designated the owner of the policy. The employee's spouse, other
family member, or the trust is named beneficiary of the policy. The employer's premium
payments are secured by a collateral assignment on the policy. As in the endorsement
method, the rights and duties of the two parties are spelled out in a split-dollar agreement.

Typically, collateral assignment arrangements are used for two reasons:

1. First, it is generally easier to keep the death benefit out of the estate of a controlling shareholder.

2. Second, the collateral assignment method makes it somewhat easier for the employee to take over the policy unencumbered.

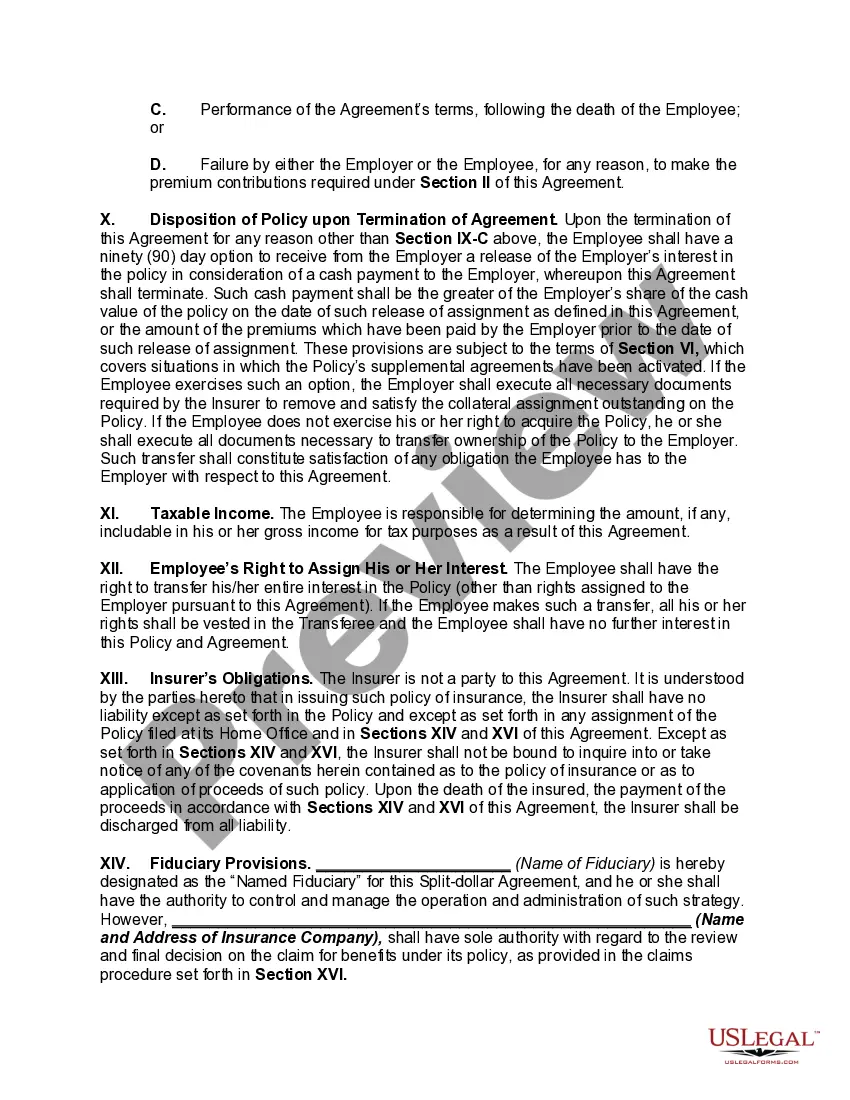
Since the employee owns the policy from the outset, it is not necessary to transfer ownership from the corporation to the employee, though the collateral assignment would be released when the split dollar is terminated and taxation would result.
Free preview
  • Preview Split-Dollar Agreement - Non-Equity Collateral Assignment Arrangement - Economic Benefit Approach-Minority Owner orSplit-Dollar Agreement -- Non-Equity Collateral Assignment Arrangement - Economic Benefit Approach - Minority Owner or Key Executive Owned
  • Preview Split-Dollar Agreement - Non-Equity Collateral Assignment Arrangement - Economic Benefit Approach-Minority Owner orSplit-Dollar Agreement -- Non-Equity Collateral Assignment Arrangement - Economic Benefit Approach - Minority Owner or Key Executive Owned
  • Preview Split-Dollar Agreement - Non-Equity Collateral Assignment Arrangement - Economic Benefit Approach-Minority Owner orSplit-Dollar Agreement -- Non-Equity Collateral Assignment Arrangement - Economic Benefit Approach - Minority Owner or Key Executive Owned
  • Preview Split-Dollar Agreement - Non-Equity Collateral Assignment Arrangement - Economic Benefit Approach-Minority Owner orSplit-Dollar Agreement -- Non-Equity Collateral Assignment Arrangement - Economic Benefit Approach - Minority Owner or Key Executive Owned
  • Preview Split-Dollar Agreement - Non-Equity Collateral Assignment Arrangement - Economic Benefit Approach-Minority Owner orSplit-Dollar Agreement -- Non-Equity Collateral Assignment Arrangement - Economic Benefit Approach - Minority Owner or Key Executive Owned
  • Preview Split-Dollar Agreement - Non-Equity Collateral Assignment Arrangement - Economic Benefit Approach-Minority Owner orSplit-Dollar Agreement -- Non-Equity Collateral Assignment Arrangement - Economic Benefit Approach - Minority Owner or Key Executive Owned
  • Preview Split-Dollar Agreement - Non-Equity Collateral Assignment Arrangement - Economic Benefit Approach-Minority Owner orSplit-Dollar Agreement -- Non-Equity Collateral Assignment Arrangement - Economic Benefit Approach - Minority Owner or Key Executive Owned
  • Preview Split-Dollar Agreement - Non-Equity Collateral Assignment Arrangement - Economic Benefit Approach-Minority Owner orSplit-Dollar Agreement -- Non-Equity Collateral Assignment Arrangement - Economic Benefit Approach - Minority Owner or Key Executive Owned

Form popularity

Trusted and secure by over 3 million people of the world’s leading companies

Maryland Split-Dollar Agreement - Non-Equity Collateral Assignment Arrangement - Economic Benefit Approach-Minority Owner orSplit-Dollar Agreement -- Non-Equity Collateral Assignment Arrangement - Economic Benefit Approach - Minority Owner or Key Executive Owned