Iowa Owner Financing Contract for Land

State:
Multi-State
Control #:
US-01326BG-1
Format:
Word; 
Rich Text
Instant download

Description

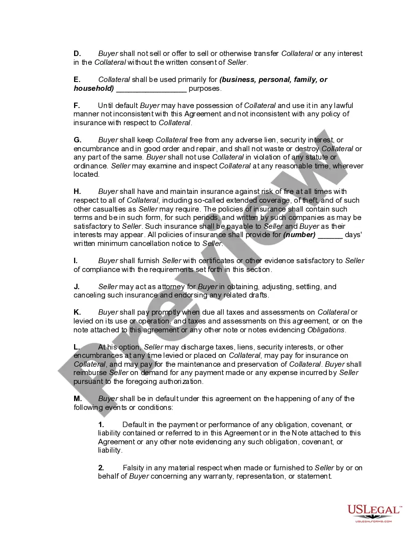
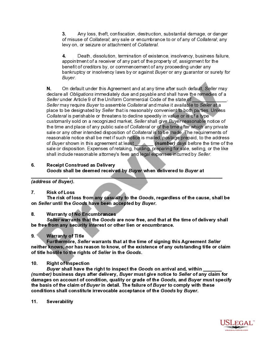
This agreement contains a security agreement creating a security interest in the property being sold. A security interest refers to the property rights of a lender or creditor whose right to collect a debt is secured by property.
Free preview
  • Preview Owner Financing Contract for Land
  • Preview Owner Financing Contract for Land
  • Preview Owner Financing Contract for Land
  • Preview Owner Financing Contract for Land
  • Preview Owner Financing Contract for Land

How to fill out Owner Financing Contract For Land?

It is feasible to spend multiple hours online looking for the valid document template that meets the federal and state requirements you need.

US Legal Forms offers thousands of authentic forms that are verified by experts.

You can effortlessly access or create the Iowa Owner Financing Contract for Land from our service.

If available, use the Preview button to view the document template as well.

  1. If you have a US Legal Forms account, you can Log In and click the Download button.
  2. Subsequently, you can complete, modify, print, or sign the Iowa Owner Financing Contract for Land.
  3. Each official document template you purchase is yours forever.
  4. To acquire another copy of the purchased form, navigate to the My documents tab and click the relevant button.
  5. If you are using the US Legal Forms website for the first time, follow the simple instructions below.
  6. First, ensure you have chosen the correct document template for the state/region you select.
  7. Review the form description to confirm you have selected the right document.

Form popularity

FAQ

Yes, you can write your own land contract, including the Iowa Owner Financing Contract for Land. However, it is crucial to understand the legal requirements and language used in such contracts to avoid future disputes. Using a reliable resource like US Legal Forms can simplify this process, as they offer customizable templates that align with state laws and regulations.

Owner financing can be a smart choice, particularly for those who might struggle with conventional financing options. This approach can lead to lower closing costs and more favorable payment terms. Ultimately, an Iowa Owner Financing Contract for Land allows buyers to invest in property while enjoying flexible arrangements tailored to their financial needs.

A land contract in Iowa is a legal agreement between the buyer and seller where the buyer makes payments directly to the seller over time. Once the buyer fulfills the terms of the contract, ownership of the land transfers completely. Utilizing an Iowa Owner Financing Contract for Land can mold this process into a straightforward solution for both parties.

Both buyers and sellers can benefit from owner financing. Buyers enjoy easier access to land without going through lengthy bank processes, while sellers can attract more potential buyers and often receive higher selling prices. An Iowa Owner Financing Contract for Land can create a win-win situation, allowing both parties to achieve their financial goals.

An owner financing contract for land is an agreement where the seller provides financing to the buyer instead of a bank or other lender. This contract outlines the sale terms, including payment schedules and interest rates. Using an Iowa Owner Financing Contract for Land ensures both parties clearly understand their rights and responsibilities, promoting a smoother transaction.

The downside of owner financing includes the potential for higher interest rates compared to traditional loans. Additionally, if the buyer fails to make payments, the seller may face difficulties in reclaiming the property under an Iowa Owner Financing Contract for Land. Both parties should understand these risks before finalizing any agreements.

Typically, the seller prepares a land contract, but buyers can also play a significant role. Using a service like uslegalforms can help create an Iowa Owner Financing Contract for Land that meets legal standards. Ensuring both parties are involved in the drafting process can enhance clarity and reduce potential disputes.

To set up an owner financing contract, begin by drafting a clear document that details payment terms, interest rates, and responsibilities. Consider using services like uslegalforms, which can provide templates tailored to Iowa Owner Financing Contracts for Land. A well-prepared contract can help avoid future misunderstandings.

Owner financing typically involves the seller acting as the lender, allowing the buyer to make payments directly to them over time. In an Iowa Owner Financing Contract for Land, the terms will define the interest rate and schedule of payments. This method can facilitate transactions without traditional lending hassles, benefiting both parties.

You begin owner financing on land by negotiating the terms with the seller. Draft an Iowa Owner Financing Contract for Land that includes monthly payment amounts, duration of the contract, and any penalties for late payments. This clear agreement helps protect both you and the seller throughout the transaction.

Trusted and secure by over 3 million people of the world’s leading companies

Iowa Owner Financing Contract for Land