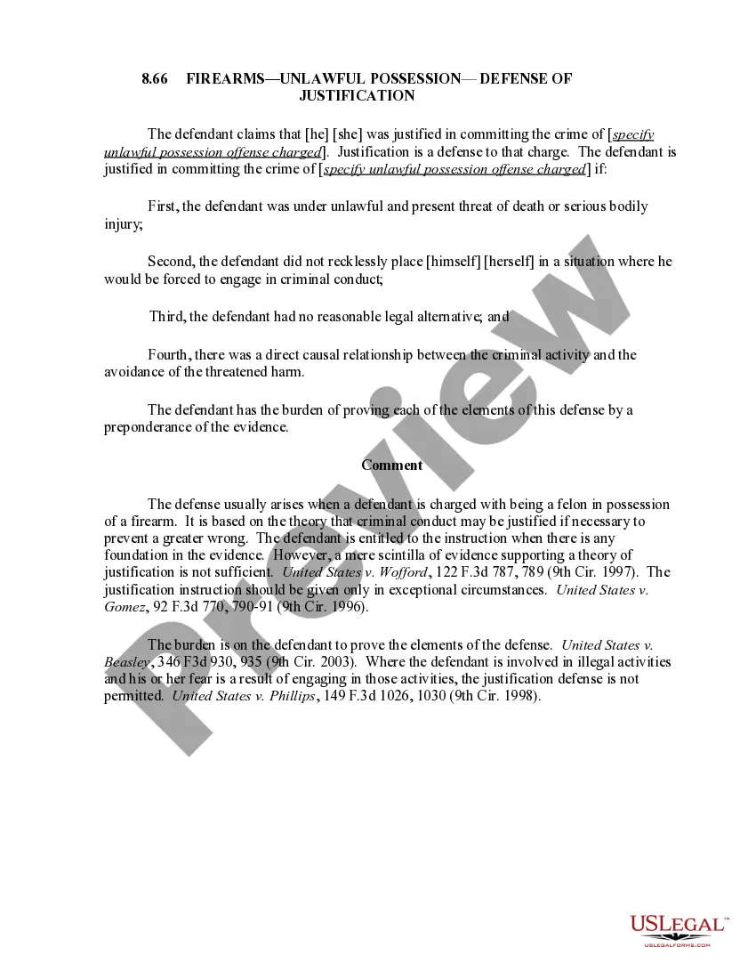
Connecticut Affidavit of Heirship and Solvency

Category:
State:
Multi-State
Control #:
US-A0101ST
Format:
Word; 
Rich Text
Instant download

Description

An Affidavit of Heirship is a written solemn oath that verifies the named individual is a legal heir of someone who died. Generally, the document is used if a person dies without a will and the probate court is trying to determine how the estate should be distributed.
Free preview
  • Preview Affidavit of Heirship and Solvency
  • Preview Affidavit of Heirship and Solvency
  • Preview Affidavit of Heirship and Solvency

Form popularity

Trusted and secure by over 3 million people of the world’s leading companies

Connecticut Affidavit of Heirship and Solvency