• US Legal Forms

Arizona Affidavit of Person to be Appointed Guardian and/or Conservator

State:
Arizona
Control #:
AZ-PM-PB-G-35
Format:
PDF
Instant download
This website is not affiliated with any governmental entity
Public form

Description

Affidavit of Person to be Appointed Guardian and/or Conservator

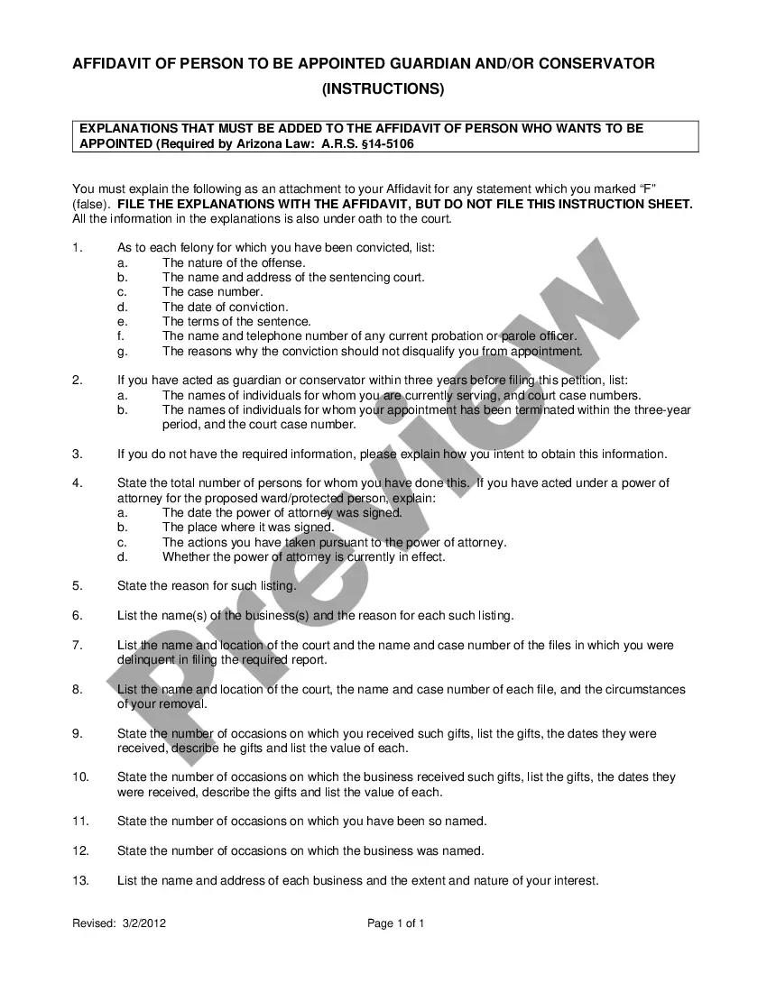
The Arizona Affidavit of Person to be Appointed Guardian and/or Conservator is a form used to nominate a guardian and/or conservator for an incapacitated person or minor child in the state of Arizona. The person nominated must be an adult resident of Arizona, and must be willing and able to serve in the role of guardian and/or conservator. The affidavit must be completed by the proposed guardian and/or conservator, and include information about the proposed guardian and/or conservator, the incapacitated person or minor child, and the proposed guardianship and/or conservatorship. The affidavit must be signed and notarized before it can be submitted to the court for consideration. There are two types of Arizona Affidavit of Person to be Appointed Guardian and/or Conservator: the General Affidavit of Person to be Appointed Guardian and/or Conservator form, and the Limited Affidavit of Person to be Appointed Guardian and/or Conservator form. The General Affidavit is used when the proposed guardian and/or conservator is seeking to be appointed as guardian and/or conservator of the person, estate, and/or property of the incapacitated person or minor child. The Limited Affidavit is used when the proposed guardian and/or conservator is seeking to be appointed as guardian and/or conservator of only the person, or only the estate and/or property, of the incapacitated person or minor child.

How to fill out Arizona Affidavit Of Person To Be Appointed Guardian And/or Conservator?

US Legal Forms presents the easiest and most affordable method to locate appropriate legal templates.

It boasts the largest online collection of professional and personal legal documents prepared and verified by attorneys.

Here, you can access printable and fillable templates that adhere to both national and local laws - including your Arizona Affidavit of Person to be Appointed Guardian and/or Conservator.

Review the form description or preview the document to ensure it meets your requirements, or search for another using the tab above.

Click Buy now once you are confident of its alignment with all specifications, and select your preferred subscription option.

  1. Acquiring your template requires just a few straightforward steps.
  2. Users with an existing account and a valid subscription simply need to Log In to the site and download the form to their device.
  3. Later, it will be available in their profile under the My documents section.
  4. If you're accessing US Legal Forms for the first time, here’s how to obtain a correctly drafted Arizona Affidavit of Person to be Appointed Guardian and/or Conservator.

Form popularity

FAQ

To apply for conservatorship in Arizona, you need to prepare and file a petition with the court that explains why conservatorship is necessary. Along with this petition, submit an Arizona Affidavit of Person to be Appointed Guardian and/or Conservator to demonstrate your qualifications. Once filed, a hearing will take place to assess your petition. The court will then decide whether to grant you the authority to oversee financial matters for the individual in question.

In Arizona, guardianship pertains to making decisions about an individual's personal care, while conservatorship relates to managing their financial matters. Understanding this distinction is vital for those considering these roles. An Arizona Affidavit of Person to be Appointed Guardian and/or Conservator can serve as a crucial part of your application for either position. By clarifying these roles, you can ensure that the appropriate measures are taken for the individual’s well-being.

To obtain a conservatorship in Arizona, you must file a petition with the court that includes an Arizona Affidavit of Person to be Appointed Guardian and/or Conservator. This affidavit allows you to state your qualifications and why you are best suited to manage the affairs of the individual in question. After filing, the court will schedule a hearing where you can present your case. It is advisable to consult with a legal expert or use US Legal Forms to ensure you complete all necessary documents accurately.

Guardianship laws in Arizona allow a person to make decisions for another adult who is unable to do so due to mental incapacity or other reasons. These laws require a court to appoint a guardian based on clear evidence presented at a hearing. The Arizona Affidavit of Person to be Appointed Guardian and/or Conservator plays a crucial role in documenting the qualifications of the proposed guardian. Understanding these laws helps ensure you are compliant and prepared through the guardianship process.

To obtain adult guardianship in Arizona, start by gathering required documents and filling out the court forms, including the Arizona Affidavit of Person to be Appointed Guardian and/or Conservator. File these documents with the court and schedule a hearing where you must prove the need for guardianship. The judge will review evidence and testimonies before making a decision. A successful outcome provides legal authority to make decisions for the adult.

To become a guardian of an adult in Arizona, you must file a petition in court. This petition requires you to show that the adult cannot make decisions for themselves. After filing, you will attend a hearing where the court will evaluate your request. Utilizing the Arizona Affidavit of Person to be Appointed Guardian and/or Conservator can simplify this process by providing necessary documentation.

Declaring someone incompetent in Arizona requires a legal process initiated by filing a petition with the court. This petition must include medical evidence or expert testimony demonstrating that the individual cannot make informed decisions about their affairs. Going through this process carefully is crucial to protect the rights of the person in question. Employing the Arizona Affidavit of Person to be Appointed Guardian and/or Conservator can simplify your journey through the court system.

To establish guardianship in Arizona, start by filing a petition in the appropriate court along with the required documentation. You will need to demonstrate that the individual is unable to care for themselves due to incapacity. Important to your case is the Arizona Affidavit of Person to be Appointed Guardian and/or Conservator, which supports your request by providing required affirmations to the court.

Getting power of attorney for someone incapacitated in Arizona typically requires a court order if the person cannot provide consent. The process involves filing a petition that outlines the person's condition and need for the power of attorney. You may need to demonstrate that the individual is unable to manage their affairs adequately. The Arizona Affidavit of Person to be Appointed Guardian and/or Conservator often serves as a beneficial tool in this situation.

To secure emergency conservatorship in Arizona, you will need to file a petition with the appropriate court. The petition must demonstrate that there is an urgent need for conservatorship due to the person’s incapacity. Evidence supporting your claims will strengthen your case. Utilizing the Arizona Affidavit of Person to be Appointed Guardian and/or Conservator provides the necessary documentation to support your petition.

Trusted and secure by over 3 million people of the world’s leading companies

Arizona Affidavit of Person to be Appointed Guardian and/or Conservator