Alabama Equal Pay - Administration and Enforcement Checklist

State:
Multi-State
Control #:
US-169EM
Format:
Word; 
Rich Text
Instant download

Description

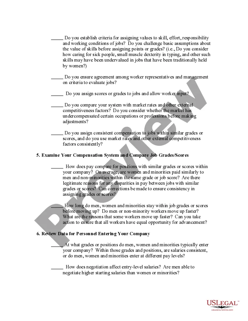
This checklist assists management in self-auditing equal pay policies within the company.
Free preview
  • Preview Equal Pay - Administration and Enforcement Checklist
  • Preview Equal Pay - Administration and Enforcement Checklist
  • Preview Equal Pay - Administration and Enforcement Checklist
  • Preview Equal Pay - Administration and Enforcement Checklist

How to fill out Equal Pay - Administration And Enforcement Checklist?

Finding the appropriate legal document template can be a challenge. Of course, there are numerous templates accessible online, but how can you locate the legal form you require? Utilize the US Legal Forms website.

The platform offers thousands of templates, including the Alabama Equal Pay - Administration and Enforcement Checklist, which can be used for business and personal purposes. All the forms are reviewed by experts and conform to federal and state standards.

If you are currently registered, Log In to your account and click the Obtain button to access the Alabama Equal Pay - Administration and Enforcement Checklist. Use your account to browse through the legal forms you have previously acquired. Visit the My documents tab in your account to download another copy of the document you need.

Choose the file format and download the legal document template to your device. Complete, modify, print, and sign the acquired Alabama Equal Pay - Administration and Enforcement Checklist. US Legal Forms is the largest collection of legal forms where you can find various document templates. Utilize the service to download professionally-crafted documents that meet state requirements.

  1. Firstly, ensure you have selected the correct form for your city/state.
  2. You can review the form using the Review button and read the form details to confirm it is indeed the right one for you.
  3. If the form does not meet your needs, use the Search field to find the appropriate form.
  4. Once you are confident that the form is suitable, click the Get now button to obtain the form.
  5. Select the pricing plan you want and enter the required information.
  6. Create your account and process the payment using your PayPal account or credit card.

Form popularity

FAQ

The new salary law in Alabama reinforces the commitment to equal pay for equal work and prohibits wage discrimination based on gender. Employers are required to provide transparent salary structures and are accountable for any inequities. Keeping up with the Alabama Equal Pay - Administration and Enforcement Checklist can help you understand how these legal changes affect your rights and obligations as an employee.

When starting a new job in Alabama, employees typically need to complete several forms, including the W-4 for tax withholding and the I-9 to verify employment eligibility. Additionally, employers may require other documents depending on company policy and local regulations. You can refer to the Alabama Equal Pay - Administration and Enforcement Checklist for guidance on ensuring all necessary paperwork is completed accurately.

To file a complaint with the EEOC in Alabama, you can visit your local EEOC office or submit a complaint online. Be prepared to provide important information regarding your situation, such as the details of the alleged discrimination and any supportive evidence you may have. Following the Alabama Equal Pay - Administration and Enforcement Checklist will help you ensure that you include all necessary details to strengthen your case.

Trusted and secure by over 3 million people of the world’s leading companies

Alabama Equal Pay - Administration and Enforcement Checklist