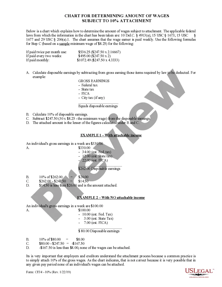
Application to Appoint/Rescind Magistrate or Warrant Clerk, is an official form from the Alabama Administrative Office of Courts, which complies with all applicable laws and statutes. USLF amends and updates the forms as is required by Alabama statutes and law.




